Методическая разработка по теме :"Проектирование системы задач по теме «Элементы статики (гидростатика)»
Проектирование системы задач по теме «Элементы статики (гидростатика)»
Выполнила:
Манирова Лилия Рефкатовна ГБОУ СОШ № 5 г.Сызрань

Содержание
Основные физические свойства жидкости | |
1. Основные понятия | |
1.2. Примеры решения задач | |
1.3. Задачи |
Основные физические свойства жидкости
Вряд ли кто из вас не знает, что представляют собой гидротехника, водное хозяйство, мелиорация. Водопроводная и канализационная система, услугами, которых пользуется каждый из нас — это водное хозяйство. Бесконечные плодородные степи находятся в относительно жаркой погодной зоне, требуют орошения, то есть дополнительного увлажнения.
Гидравлика(с греческого hydor— вода; aulos— труба, желоб) — наука, изучающая законы равновесия и механического движения жидкостей, гидравлика разрабатывает также методы применения
этих законов в вышеназванных отраслях.
Аналитический.
Цель применения этого метода — устанавливать зависимость между кинематическими и динамическими характеристиками жидкости. С этой целью пользуются уравнениями механики; в итоге получают уравнения движения и равновесия жидкости. Для упрощенного применения уравнений механики пользуются модельными жидкостями: например, сплошная жидкость.
По определению, ни один параметр этого континуума (сплошной жидкости) не может быть прерывным, в том числе его производное, причем в каждой точке, если нет особых условий. Такая гипотеза позволяет установить картину механического движения и равновесия жидкости в каждой точке континуума пространства.
Еще одним приемом, применяемым для облегчения решения теоретических задач, является решение задачи для одномерного случая со следующим обобщением для трехмерного. Дело в том, что для таких случаев не так трудно установить среднее значение исследуемого параметра. После этого можно получить другие уравнения гидравлики, наиболее часто применяемые. Однако этот метод, как и теоретическая гидромеханика, суть которой составляет строго математический подход, не всегда приводит к необходимому теоретическому механизму решения проблемы, хотя и неплохо раскрывает ее общую природу проблемы.
Экспериментальный.
Основным приемом, по этому методу, является использование моделей, согласно теории подобий: при этом полученные данные применяются в практических условиях и становится возможным уточнение аналитических результатов. Наилучшим вариантом является сочетание двух вышеназванных методов. Современную гидравлику трудно себе представить без применения современных средств проектирования: это высокоскоростные локальные сети, автоматизированное рабочее место конструктора и прочее. Поэтому современную гидравлику нередко называют вычислительной гидравликой.
Свойства жидкости
Поскольку газ — следующее агрегатное состояние вещества, то у этих форм вещества существует свойство, общее для обоих
агрегатных состояний. Это свойство текучести.
Исходя из свойств текучести, рассмотрев жидкое и газообразное агрегатное состояние вещества, увидим, что жидкость — то состояние вещества, в котором его уже невозможно сжимать (или
можно сжать бесконечно мало).
Газ — такое состояние того же вещества, в котором его можно сжать, то есть газ можно назвать сжимаемой жидкостью, точно так же, как и жидкость — несжимаемым газом.
Другими словами, особых принципиальных различий, кроме сжимаемости, между газом и жидкостью не наблюдается. Несжимаемую жидкость, равновесие и движение которой изучает гидравлика, называют такжекапельной жидкостью.
Основные понятия
На жидкость, находящуюся в состоянии покоя, действуют силы, которые можно разделить на поверхностные и массовые.
Поверхностные силы приложены к частицам жидкости, находящимся на поверхности раздела данной жидкости и другой среды (реакция стенки сосуда, сила давления поршня, сила давления газа на свободную поверхность).
Массовые силы воздействуют на все частицы данного объема жидкости и пропорциональны массе каждой частицы (силы тяжести, силы инерции, центробежные силы).
Основным понятием гидростатики является понятие гидростатического давления.
Гидростатическое давление направлено всегда по внутренней нормали к площадке, на которой это давление действует и является сжимающим напряжением, потому что в покоящейся жидкости не могут существовать касательные и растягивающие усилия. Величина гидростатического давления в любой точке жидкости по всем направлениям одинакова.
Гидростатическое давление зависит от положения рассматриваемой точки внутри жидкости и от внешнего давления, действующего на свободной поверхности жидкости.
Хотя по своим свойствам жидкости и газы во многом отличаются друг от друга, существует общее свойство, что объединяет их, - текучесть, то есть их малое сопротивление к деформации сдвига. Следовательно, исследуя движение жидкостей и газов, используем единый подход.
Раздел механики, изучающий равновесие и движение жидкостей и газов, их взаимодействие между собой и обтекаемыми твердыми телами, называют гидромеханикой.
В гидромеханике пренебрегают молекулярным строением жидкостей и газов, воспринимая их как сплошная среда, непрерывно распределенный в пространстве. Плотность жидкостей и газов в общем случае зависит от давления. Однако во многих задачах этой зависимостью можно пренебречь и пользоваться единым понятием несжимаемой жидкости - жидкости, плотность которой всегда постоянная и не зависит от времени.
Если в неподвижной жидкости поместить тонкую пластину, то частицы жидкости, которые размещаются с разных сторон от нее, будут действовать на каждый ее элемент Δs с силами Δ
, независимо от ориентации пластины будут равны по модулю и направлены перпендикулярно к плоскости Δs, поскольку наличие касательных сил привело бы частицы жидкости в движение и равновесие нарушилась бы (рис. 1.1).

Физическую величину, равную отношению нормальной силы, действующей со стороны жидкости на любую плоскость, к ее площади, называют давлением жидкости р:

Е
диница давления - паскаль (Па): один паскаль равен давлению, которое создает сила в один ньютон, равномерно распределенная по нормальной к ней поверхности площадью 1 м2 
На каждую молекулу жидкости, находящейся в поле тяготения Земли, действует сила тяжести. Под действием этих сил каждый слой жидкости давит на расположенные под ним слои. По закону Паскаля это давление передается жидкостью по всем направлениям одинаково. Следовательно, в жидкостях существует давление, обусловленное силой тяжести.
Наблюдения показывают, что жидкость, находящаяся в сосуде в состоянии покоя, давит на дно и стенки сосуда. Давление, оказываемое покоящейся жидкостью на любую соприкасающуюся с ней поверхность, называют гидростатическим.
Получим формулу для расчета гидростатического давления. Выделим мысленно вертикальный столб жидкости высотой h, основанием которого служит площадью S (рис.2).
Объём выделенного столба жидкости равен Sh. Сила, с которой столб жидкости действует на площадку (основание столба), представляет собой вес столба жидкости: F=P. Так как жидкость неподвижна, то вес столба жидкости равен действующей на него силе тяжести, следовательно:
,
где ρ – плотность жидкости.
Давление, производимое столбом жидкости на его основание, равно:
.
Итак,

Из полученной формулы видно, что гидростатическое давление на любой глубине жидкости не зависит от формы сосуда, в котором находится жидкость, а зависит лишь от высоты столба жидкости, её плотности и площади дна.
Давление внутри жидкости на любой глубине h слагается из атмосферного давления p0 (или внешнего давления) на жидкость и гидростатического давления
:

Гидростатическое давление - давление, обусловленное весом столба жидкости.
Г.с.д. характеризует внутреннее напряжение сжатия и обладает следующими
свойствами:
1)г.с.д. всегда направлено по внутренней нормали к площадке действия;
2)г.с.д. в любой точке жидкостной системы по всем направлениям одинаково, т. е. не зависит от ориентации в пространстве площадки, на которую оно действует.
Абсолютное (или полное) гидростатическое давлениеpAв данной точке по основному уравнению гидростатики равно
pAp0 ghA,
где p0 – поверхностное давление (давление на свободной поверхности жидкости); ghA–весовое давление (вес столба жидкости высотой hAс площадью поперечного сечения, равной единице); ρ–плотность жидкости;g–ускорение свободного падения; hA– глубина погружения данной точки под свободную поверхность (рис.1).

Избыточное давление (манометрическое) представляет собой разность между абсолютным давлением и атмосферным:
ppApа.
В обычных технических расчётах атмосферное давление pапринимают равным одной технической атмосфере (1 ат = 1 кгс/см2). В случае, когда поверхностное давление равняется атмосферному ( p0 pa), избыточное давление определяется по формуле: p gh.
Сила гидростатического давления на плоскую стенку произвольной формы равна произведению давления в центре тяжести этой стенки на её площадь. В общем случае формула для определения силы имеет вид: P p0 ghc , где – площадь данной плоской стенки, смоченная жидкостью; hc– глубина погружения центра тяжести смоченной плоской стенки под свободную поверхность.
Пьезометр– простейший прибор, измеряющий избыточное давление, представляет собой тонкую стеклянную трубку, верхний конец которой открыт в атмосферу, а нижний присоединён к резервуару (см. рис. 1) или трубопроводу. Диаметр пьезометра должен быть не менее 8 ÷ 10 мм во избежание значительного капиллярного поднятия.Пьезометрическая высота (высота поднятия жидкости в пьезометре) определяется из формулы: hp / g.


Анализ основного уравнения гидростатики
Как уже отмечалось, основное уравнение гидростатики служит для определения величины гидростатического давления в любой точке покоящейся жидкости
.
Анализируя основное уравнение гидростатики можно сделать следующие выводы:
Гидростатическое давление есть сумма внешнего
давления, действующего на свободной поверхности и весового
давления, создаваемого весом столба жидкости высотой
;Внешнее давление
не зависит от координат рассматриваемых точек, то есть оно передается во все точки покоящейся жидкости без изменения, поэтому жидкость используется как среда для передачи давления. На этом свойстве жидкости основано действие гидравлических машин (гидропрессы, силовые цилиндры, гидродомкраты); Весовое давление
является функцией координат точки. С увеличением заглубления точки под свободную поверхность, давление возрастает; Внешнее давление
может быть больше атмосферного, меньше атмосферного и равно атмосферному. Если численное значение
определено с учетом атмосферного, то давление
по формуле будет абсолютным; если
определено без учета атмосферного, то 
УКАЗАНИЯ К РЕШЕНИЮ ЗАДАЧ
При решении задач по гидростатике прежде всего нужно хорошо усвоить и не смешивать такие понятия, как давление р и сила F.
При решении задач на определение давления в той или иной точке неподвижной жидкости следует пользоваться основным уравнением гидростатики. Применяя это уравнение, нужно иметь в виду, что второй член в правой части этого уравнения может быть как положительным, так и отрицательным. Очевидно, что при увеличении глубины давление возрастает, а при подъеме — уменьшается.
Необходимо твердо различать давления абсолютное, избыточное и вакуум и обязательно знать связь между давлением, удельным весом и высотой, соответствующей этому давлению (пьезометрической высотой).
При решении задач, в которых даны поршни или системы поршней, следует писать уравнение равновесия, т. е. равенство нулю суммы всех сил, действующих на поршень (систему поршней).
Решение задач следует проводить в международной системе единиц измерения СИ.
Решение задачи должно сопровождаться необходимыми пояснениями, рисунками (при необходимости), перечислением исходных величин (графа «дано»), переводом единиц в систему СИ.
Примеры решения задач
Почему при выливании воды из медицинской грелки не слышно такого «бульканья», как при выливании воды из стеклянной бутылки?
Решение: по мере вытекания воды из стеклянной бутылки объем находящегося над водой воздуха возрастает, вследствие чего давление внутри бутылки уменьшается. Когда разность давлений снаружи и внутри становится достаточно большой, некоторая «порция» воздуха, т.е. воздушный пузырек, прорывается внутрь бутылки (при этом и возникает характерное «бульканье»). Давление внутри бутылки при этом несколько возрастает. Через некоторое время процесс повторяется. Если же стенки сосуда, из которого вытекает вода, не являются жёсткими, то по мере вытекания воды атмосферное давление сплющивает сосуд. Давление внутри сосуда остается практически равным атмосферному, так что «бульканье» не возникает.
Определить все виды гидростатического давления в баке с нефтью на глубине
(рис. 2.11), если давление на свободной поверхности нефти
. Плотность нефти
.
Р
ешение:
1. Абсолютное гидростатическое давление у дна


2. Избыточное (манометрическое) давление у дна


3. Избыточное давление, создаваемое столбом жидкости

4. Избыточное давление на свободной поверхности

З
адача №3. Свинцовый шар массой 4 кг подвешен на нити и полностью погружён в воду (см. рисунок). Нить образует с вертикалью угол a =30°. Определите силу, с которой нить действует на шар. Плотность свинца p=11300 кг/м3. Трением шара о стенку пренебречь. Сделайте схематический рисунок с указанием сил, действующих на шар.
Р
ешение.
Систему отсчёта, связанную с Землёй, считаем инерциальной. Запишем второй закон Ньютона:
. Поскольку трение шара о стенку отсутствует, линия действия силы натяжения нити будет проходить через центр шара. В проекциях на оси Ох и Оу второй закон Ньютона запишем в виде:

Объем шара
. Величина выталкивающей силы FA определяется по закону Архимеда:
, (3)
где
— плотность воды.
Выполняя математические преобразования с формулами (2) и (3), получим:

Ответ: 42 Н.
Самостоятельное решение задач.
Задача №1. Вы опускаете палец в стакан с водой, не касаясь дна стакана. Изменяется ли при этом сила давления воды на дно? Если изменяется, то как? (Румия)
Решение: Сила давления жидкости на дно зависит от уровня жидкости в сосуде. Если первоначально стакан был заполнен не доверху, то после опускания пальца уровень воды поднимется, вследствие чего сила давления на дно увеличится. Если же стакан был заполнен доверху, то сила давления на дно не изменится (часть воды просто выльется из стакана).
З
адача №2. В сосуде (см. рисунок) находится система тел, состоящая из блока с перекинутой через него легкой нитью, к концам которой привязаны тело объёмом V и пружина жёсткостью k. Нижний конец пружины прикреплён ко дну сосуда. Как изменится сила натяжения нити, действующая на пружину, если эту систему целиком погрузить в жидкость плотностью ρ? (Считать, что трение в оси блока отсутствует.) (Юлия)
З
адача №3. На границе раздела двух несмешивающихся жидкостей, имеющих плотности ρ1 = 900 кг/м3 и ρ2 = 3ρ1, плавает шарик (см. рисунок). Какова должна быть плотность шарика ρ, чтобы выше границы раздела жидкостей была одна треть его объёма? (Нина)
Решение.
Шарик и жидкости неподвижны в ИСО, связанной с Землёй. В этом случае, как следует из второго закона Ньютона, сила Архимеда, действующая на шарик, уравновешивает действующую на него силу тяжести:
(здесь
и
— соответственно объёмы шарика, находящиеся выше и ниже границы раздела). Отсюда:

Доли объёма шарика, находящиеся выше и ниже границы раздела жидкостей, связаны соотношением:

По условию задачи
соответственно
так что

Подставив
получаем

Ответ: 
Задача №4. Определить наименьшую толщину льдины площадью 1,4 м2, способной удержать на воде человека массой 70 кг. Плотность воды 10 3кг/м3, плотность льда 0,9*103 кг/м3. (Лилия)


Задача №5. Тело с плотностью материала ρ плавает на границе раздела двух жидкостей, плотности который ρ1, ρ2. Определить глубину погружения во вторую жидкость, если высота тела равна h. (Света)
Решение: Так как тело плавает на границе раздела двух сред, значит ρ1 < ρ < ρ2. Расставим силы, действующее на тело: 1. Сила Архимеда; 2. Сила тяжести.
Силу Архимеда можно разделить на две части: выталкивающая сила, действующая со стороны первой жидкости, где (h-x) погружение в первую жидкость, и со стороны второй жидкости, где x – погружение во вторую жидкость.
F=mg
F=F1+F2= ρ1V1g + ρ2V2g = gS(ρ1(h-x) + ρ2x)
Примеры решения задач
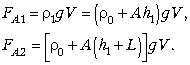
Задача 1 (МГТУ им. Н.Э.Баумана). в пять задач
Плотность раствора соли с глубиной меняется по закону
=
0 + Ah, где
0 = 1 г/см3, А = 0,01 г/см4. В раствор опущены два шарика, связанные нитью такой длины, что расстояние между центрами шариков не может превышать L = 5 см. Объём каждого шарика V = 1 см3, массы m1 = 1,2 г и m2 = 1,4 г. На какой глубине находится каждый шарик?
Решение.
В
силу симметрии шариков относительно горизонтальной плоскости, проходящей через их центры, сила Архимеда для каждого шарика равна
gV, где
– плотность жидкости на уровне центра шарика. Запишем условие равновесия для каждого из шариков и сложим уравнения:
где
Объединяя все уравнения, находим:
h2 = h1 + L. Подставляя числовые данные, получаем:h1 = 27,5 см; h2 = 32,5 см.
Задача 2. В три задачи
Определить все виды гидростатического давления в баке с нефтью на глубине
(рис. 2.11), если давление на свободной поверхности нефти
. Плотность нефти
.
Решение:
1. Абсолютное гидростатическое давление у дна


2. Избыточное (манометрическое) давление у дна


3. Избыточное давление, создаваемое столбом жидкости

4. Избыточное давление на свободной поверхности

Чтобы оставлять комментарии, вам необходимо авторизоваться на сайте. Если у вас еще нет учетной записи на нашем сайте, предлагаем зарегистрироваться. Это займет не более 5 минут.