Учебно-методическое пособие "Квадратные уравнения и способы их решения"
МУНИЦИПАЛЬНОЕ ОБЩЕОБРАЗОВАТЕЛЬНОЕ УЧРЕЖДЕНИЕ
УСТЬ-ОРДЫНСКАЯ СРЕДНЯЯ ОБЩЕОБРАЗОВАТЕЛЬНАЯ
ШКОЛА № 2 ИМ. И.В.БАЛДЫНОВА
Учебно-методическое пособие
«Квадратные уравнения и способы их решения»
(для 8-9 классов)
Автор: Максимова Виктория Николаевна,
учитель математики
МОУ Усть-Ордынская СОШ №2
п.Усть-Ордынский, 2024
Оглавление
Введение 3
Основная часть
Глава 1. Квадратные уравнения 4-14
1.1. Основные понятия
1.2. Методы решения уравнений
1.2.1.Стандартные методы решения квадратных уравнений
1.2.2. Нестандартные методы решения квадратных уравнений
1.2.3. Примеры решения квадратных уравнений
Глава 2.Применение различных способов15-18
2.1.Разложение левой части уравнения на множители
2.2.По формуле корней квадратного уравнения
2.3.Выделение полного квадрата
2.4. По теореме Виета
2.5. По свойству коэффициентов
2.6. Способ «переброски»
2.7. Графический способ
2.8.Квадратное уравнение с целыми коэффициентами
2.9. Геометрический способ
2.10. С помощью циркуля и линейки
2.11. По формуле четного коэффициента
Заключение 18
Литература 19
Приложения 20-21
Введение
Аннотация
В данном пособии рассматриваются различные способы решения квадратных уравнений.
Пособие предназначено для обучающихся 8-9 классов для получения дополнительных знаний по теме «Квадратные уравнения».
Тема «Квадратные уравнения» является одной из самых актуальных в курсе алгебры основной школы. Это объясняется тем, что квадратные уравнения имеют широкое применение в разных разделах математики. Данная тема богата по содержанию теоретического материала, разнообразиюзадачи способов их решения, по способам ее применения при изучении других тем. Также задачи по теме «Квадратные уравнения» включены в основной государственный экзамен, а также используются в ЕГЭ. Отметим, что без уверенного владения навыком решения квадратных уравнений затруднительно успешно пройти любую форму государственной аттестации.
В школьном курсе изучаются формулы корней квадратного уравнения, с помощью которых можно решать любые квадратные уравнения. Однако, имеются и другие способы решения квадратных уравнений, которые позволяют очень быстро и рационально решать квадратные уравнения.
В этой работе представлены некоторые нестандартные подходы к решению таких уравнений, позволяющие глубже изучить и усвоить данную тему.
Цель работы: систематизация, расширение и углубление знаний обучающихся по теме «Квадратные уравнения и способы их решения».
Учебное пособие составлено в соответствии с программой по математике для основной школы.
Работа состоит из введения, основной части (главы 1- теоретической, главы 2 – практической), заключения, списка литературы, приложения (задания для самостоятельной работы, дидактические материалы для контроля знаний) .
Глава 1. Квадратные уравнения
1.1. Основные понятия
Квадратное уравнение — это уравнение вида ax2 + bx + c = 0, где коэффициенты a, b и c — произвольные числа, причем a ≠ 0, а x – неизвестное. Выражение {\displaystyle ax^{2}+bx+c}ax2 + bx + c называют квадратным трёхчленом.
а называют первым или старшим коэффициентом, {\displaystyle b}b – вторым, средним или коэффициентом,{\displaystyle c}c – свободным членом.
Полным называют такое квадратное уравнение, все коэффициенты которого отличны от нуля:
Прежде, чем изучать конкретные методы решения, заметим, что все квадратные уравнения можно условно разделить на три класса:
Не имеют корней;
Имеют ровно один корень;
Имеют два различных корня.
В этом состоит важное отличие квадратных уравнений от линейных, где корень всегда существует и единственен. Как определить, сколько корней имеет уравнение? Для этого нужен дискриминант.
Неполным называется такое квадратное уравнение, в котором хотя бы один из коэффициентов, кроме старшего (либо второй коэффициент, либо свободный член, либо сразу оба), равен нулю.
1.2. Методы решения квадратных уравнений
1.2.1.Стандартные методы решения квадратных уравнений
решение квадратных уравнений по формулам;
решение с использованием формул для четного коэффициента,
теорема Виета,
разложение левой части на множители,
выделение полного квадрата,
графический метод.
1.2.2.Нестандартные методы решения квадратных уравнений
свойства коэффициентов квадратного уравнения;
решение способом «переброски» коэффициентов;
--квадратное уравнение с целыми коэффициентами;
геометрический способ;
решение квадратных уравнений с помощью циркуля и линейки.
1.2.3. Примеры решения квадратных уравнений
Решение полных квадратных уравнений (1)
x2 − 8x + 12 = 0;
Выпишем коэффициенты для первого уравнения и найдем дискриминант:
a = 1, b = −8, c = 12;
D = (−8)2 − 4 · 1 · 12 = 64 − 48 = 16
Дискриминант положительный, поэтому уравнение имеет два различных корня.


Ответ: 6; 2.
5x2 + 3x + 7 = 0;
a = 5; b = 3; c = 7;
D = 32 − 4 · 5 · 7 = 9 − 140 = −131.
Дискриминант отрицательный, корней нет.
x2 − 6x + 9 = 0.
a
= 1; b = −6; c = 9;
D = (−6)2 − 4 · 1 · 9 = 36 − 36 = 0..
Дискриминант равен нулю — корень будет один
Ответ: 3.
Решение неполных квадратных уравнений (2)
1.
;
Пусть b = 0, тогда получим неполное квадратное уравнение вида ax2 + c = 0.

Пусть с =0, тогда получаем ax2 + bx = 0.
6.
7.
-7-отрицательное число.
x1=6 x2= -6 
Ответ: нет корней
Ответ: -6; 6. Ответ:
;.
Вынесем общий множитель за скобку:


Произведение равно нулю, когда хотя бы один из множителей равен нулю.
или
Ответ: 0; 2.
b = c = 0, уравнение принимает вид ax2 = 0. Очевидно, такое уравнение имеет единственный корень: x=0

Ответ:0.
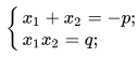
приведенное квадратное уравнение. теорема Виета (3)
Приведённым называют квадратное уравнение, в котором старший коэффициент равен единице:
{\displaystyle x^{2}+px+q=0,\quad p={\frac {b}{a}},\quad q={\frac {c}{a}}.} или 
П
рямая теорема Виета и обратная ей теорема позволяют решать приведённые квадратные уравнения устно, не прибегая к вычислениям по формуле.
Согласно обратной теореме, всякая пара чисел{\displaystyle x_{1},x_{2}}, будучи решением системы уравнений являются корнями уравнения
{\displaystyle x^{2}+px+q=0}:{\displaystyle {\begin{cases}x_{1}+x_{2}=-p;\\x_{1}x_{2}=q;\end{cases}}}
Пример: 
Ответ:x1= - 9, x2=2.
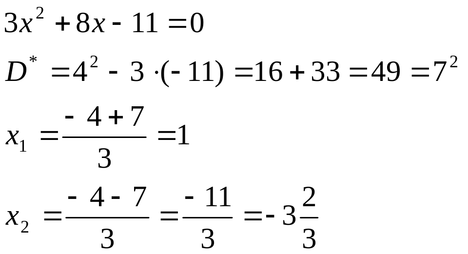
Корни квадратного уравнения при чётном коэффициенте b (4)
Ф
ормулы подходят для уравнений вида ax2 + 2kx + c = 0 , где
|
|
Пример:
Ответ: 1; -3 2/3.
(5)
https://mypresentation.ru/documents_6/40f9fe758fe3453184c0869458f82344/img1.jg
См ссылку: выделите полный квадрат (сам-но).
Свойства коэффициентов квадратного уравненияах2 + bх + с = 0 (6)
1. Еслиa + b + c = 0, то х1 = 1, х2 = 
2. Еслиа + с = b, тох1 = –1, х2 = – 
3. Если b = a2 + 1 и c = a, то x1 = – a, x2= – 
4. Если b = –( a2 + 1 ) и c = a, то x1 = a, x2= 
5. Еслиb = a2–1, c = –a,тоx1 = –a, x2 =
6. Еслиb = –( a2–1), c = –a, то x1 = a, x2 = –
7. Если а + в = с, то корней нет.
Пример: Решим уравнение с большими коэффициентами:
839 x2 – 448 x – 391 = 0
839 – 448 – 391 = 0, то x1 = 1, x2= –839/391
Ответ: – 839/391; 1.
Пример: Решим уравнение: 6 х2+ 37 х + 6 = 0.
Так как b = a2 + 1, c = a, то x1 = –a, x2 = –1/а
37 = 36 + 1, то x1 = – 6, x2 = –1/6
Ответ: – 6; – 1/6.
Решение уравнений способом «переброски» (7)
Решим уравнениеах2+bх + с = 0. Умножив обе части уравнения на а, получим
а2х2 +аbх + ас = 0. Пусть ах = у. Тогда получим уравнение с новой переменной
у2 +bу + с = 0. Его корни у1 и у2. Окончательно:
,
.
При этом способе коэффициент а умножается на свободный член, как бы «перебрасывается» к нему, поэтому его называют способом «переброски». Этот способ применяют, когда можно легко найти корни уравнения, используя теорему Виета, и, что самое важное, когда дискриминант есть точный квадрат.
Пример: 2х2– 11х + 15 = 0
Перебросим коэффициент а = 2 к свободному члену и получим уравнение:
у2 – 11у + 30 = 0, из которого по теореме Виета у1= 5, у2 = 6.
Тогда корнями исходного уравнения будут x1 = 5 : 2 = 2,5, х2 = 6 : 2 = 3.
Ответ: 2,5; 3.
Пример: 3х2+ 4х – 7=0.
«Перебросим» коэффициент 3 к свободному члену, в результате получим уравнение у2+ 4у – 21 = 0. Согласно теореме Виета у1= – 7, у2 = 3
х1 =
, x2 =
Ответ: х1 =
,x2 = 1 .
Квадратное уравнение с целыми коэффициентами (8)
Если квадратное уравнение имеет целый корень, то он является делителем свободного члена.
Решим уравнение: 5х2-14х-3=0.
Сначала нужно выписать все делители свободного члена: 1; -1; 3 и -3. Затем подстановкой проверим, какое из этих чисел является корнем уравнения. Итак, число х1=3 – корень уравнения. А второй корень можно найти, воспользовавшись соотношением х1х2=с/а, то есть 3х2=-3/5, х2=-1/5.
Этим способом удобно пользоваться, если свободный член не имеет много делителей.
Ответ: 3; -1/5.
Пример: Решить уравнение 2х2 + 21х – 11 = 0.
2х + 21 = 11/х
Делители числа 11: –1; 1; -11; 11.
Проверяем каждый из них. Подходит число –11.
Второй корень: –11 : (– 11) : 2 = 0,5
Ответ: 0,5; –11.
Геометрический способ решения квадратных уравнений (9)
Решение уравнения у2 + 6у – 16 = 0
представлено на рисунке, где y2+ 6у = 16 или у2 + 6у + 9 = 16 + 9:

Выражения у2 + 6у + 9 и 16 + 9 геометрически представляют собой площадь одного и того же квадрата, а исходное уравнение и у2 + 6у – 16 + 9 – 9 = 0 – одно и то же уравнение. Откуда и получаем, что у + 3 = ± 5, или у1 = 2, у2 = – 8.
Графическое решение квадратных уравнений (10)
Решить уравнение х2 ‒ 2х ‒ 3 = 0. На этом примере рассмотрим варианты решения квадратного уравнения графически.
1) Можно представить наше уравнение в виде х2= 2х + 3. Далее построим в одной системе координат графики функций у = х2 и у = 2х + 3. График у = х2 представлен на рисунке 1, а оба графика на рисунке 2.
Рисунок 1
Рисунок 2
Графики пересекаются в двух точках, наше уравнение имеет решение х = – 1 и х = 3. Ответ: - 1; 3.
2) А ведь можно представить уравнение и по - другому, например х2 ‒ 2х = 3 и построить в одной системе координат графики функций у = х2 ‒ 2х и у =3. Вы их можете увидеть на рисунках 3 и 4. На рисунке 3 изображен график у = х2‒ 2х, а на рисунке 4 оба графика у = х2‒ 2х и у =3.
Рисунок 3
Рисунок 4
Как мы видим, эти два графика так же пересекаются в двух точках, где х = -1 и х = 3. Ответ: - 1; 3.
3) Есть и другой вариант представления этого уравнения х2 ‒ 3 = 2х. И снова строим графики функций у = х2 ‒ 3 и у = 2х в одной системе координат. Первый у = х2‒ 3 на рисунке 5 и оба графика на рисунке 6.
Рисунок 5
Рисунок 6
Они также пересекаются в двух точках, в которых х = -1 , х = 3.
Ответ: - 1; 3.
4) Можно построить параболу у = х2 ‒ 2х ‒ 3.
Вершина параболы х0 = - b/2а = 2/2=1, у0 = 12 ‒ 2·1 ‒ 3 = 1 – 2 – 3 = ‒ 4. Это точка (1; ‒ 4). Тогда наша парабола симметрична относительно прямой х =1. Если взять две точки симметричные относительно прямой х = 1 например: х = - 2 и х = 4, то мы получим две точки через которые проходят ветви графика.
Если х = -2, то у =(- 2)2 ‒ 2( -2) ‒ 3 = 4 + 4 – 3 = 5.
Аналогично х =4, у = 42 ‒ 2 · 4 ‒ 3= 16 – 8 – 3 = 5. Полученные точки ( -2; 5); (1; 4) и (4; 5) отмечаем в на плоскости и проводим параболу рисунок 7.
Рисунок 7
Парабола пересекает ось абсцисс в точках – 1 и 3. Это и есть корни уравнения х2 ‒ 2х ‒ 3 = 0.
Ответ: – 1 и 3.
5) А можно выделить квадрат двучлена:
х2 ‒ 2х ‒ 3= 0
(х2 ‒ 2х + 1) ‒1 ‒ 3= 0
(х -1)2 - 4 = 0
(х - 1)2 = 4
Затем построить в одной системе координат графики функций у = (х - 1)2 и у = 4. Первый график у = (х - 1)2 на рисунке 8, а оба графика у = (х - 1)2 и у = 4 на рисунке 9.
Рисунок 8
Рисунок 9
Они также пересекаются в двух точках, в которых х = -1 , х = 3.
Ответ: - 1; 3.
6) Так как х = 0 не является корнем уравнения х2 ‒ 2х ‒ 3 = 0 (иначе выполнялось бы равенство 02 – 2· 0 –3 = 0), то можно все члены уравнения разделить на х. В результате мы получим уравнение х – 2 – 3/х = 0. Перенесем 3/х вправо и получаем уравнение х – 2 = 3/х Тогда можно построить в одной системе координат графики функций у = 3/х и у = х – 2.
На рисунке 10 изображен график функции у = 3/х, а на рисунке 11 оба графика функций у = 3/х и у = х – 2.
Рисунок 10
Рисунок 11
Они также пересекаются в двух точках, в которых х = -1 , х = 3.
Ответ: - 1; 3.
Если вы были внимательны, то обратили внимание, что каким бы образом мы не представили уравнение в виде двух функций, у нас всегда получается один и тот же ответ (надеюсь, что вы не допустите ошибок при переносе выражений из одной части уравнения в другую и при построении графиков). Решая уравнение графически, выбирайте способ представления функций так, чтобы вам легче было построить их графики.
Решение при помощи циркуля и линейки (11)
Способ нахождения корней квадратного уравнения
ах2 + bх + с = 0 с помощью циркуля и линейки.
Данный способ заключается в том, чтобы при нахождении корней уравнения ах2 +bх + с = 0 отметить в системе координат точки S ( |
|
Возможны три случая: | |
1) Радиус окружности больше ординаты центра SA>SB или R > |
|
2) Радиус окружности равен ординате центра SA=SB или R= |
|
3) Радиус окружности меньше ординаты центра SA<SB или R< уравнение не имеет корней. |
|
Пример:2х2+ 3х + 1 = 0 Определим координаты центра окружности по формулам:
Ответ: –1; –0,5. |
|
Глава 2. Применение различных способов
Решим квадратное уравнение 2х2 +7х –9 = 0различными способами:
1. Разложение левой части уравнения на множители:
2х2 + 7х – 9 = 0
2х2 +9х – 2х – 9 =0
(2х2 +9х) – (2х + 9) = 0
х(2х +9) – (2х +9) = 0
(х – 1)(2х + 9) = 0
х –1 = 0 или 2х + 9 = 0
х = 1 х = –4,5
Ответ: –4,5; 1.
2. По формуле корней квадратного уравнения:
2х2 + 7х – 9 = 0
a = 2, b = 7, c = –9
D = 49 + 72 = 121
D > 0 (2 корня)


Ответ: –4,5; 1.
3. Выделение полного квадрата:
2х2+ 7х – 9 = 0
Разделив левую и правую части
уравнения на 2, получим:
х2 + х – = 0
х2+ 2·
·х +(
)2 =(
)2+
(х +
)2= 
х+
= –
илих +
=
х = – 4,5 х = 1
Ответ: –4,5; 1
4. По теореме Виета:
2х2+ 7х – 9 = 0
Разделив левую и правую части уравнения на 2, получим:
х2 + х –
= 0
x1 + x2 = 
x1∙x2 = –
х1 = – 4,5 х2 = 1
Ответ: –4,5; 1.
5. По свойству коэффициентов:
2х2 + 7х – 9 = 0
a = 2, b = 7, c = –9
Так как a + b+ c = 2 + 7 – 9 = 0,
то х1=1,х2 = –4,5
Ответ: –4,5; 1.
6. Способ «переброски»:
2х2+ 7х – 9 = 0
Перебросим коэффициент а = 2 к свободному члену и получим уравнение
y2 +7у –18 = 0, из которого по теореме Виета у1= 2, у2 = – 9.
Тогда корнями исходного уравнения будут х1= 2/2=1, x2= –9/2= –4,5
Ответ: –4,5; 1.
7. Графический способ:
2х2 + 7х – 9 = 0
Запишем уравнение в виде
2х2 = 7х + 9
и в одной системе координат построим графики функций
у = 2х2 и у = 7х + 9

Ответ: –4,5; 1.
8.Квадратное уравнение с целыми коэффициентами
2х2 + 7х – 9 = 0
Свободный член перенесем в правую часть и разделим все уравнение на х
2х + 7 = 9/х
Найдем делители числа 9:
±1; ±3; ±9
Проверяем каждый из них. Быстро находим, что подходит число 1, это и есть первый корень.
Второй корень определяем так:
с: х1 : а
– 9: 1 : 2 = – 4,5
Ответ: – 4,5; 1.
9. Геометрический способ:
2х2 + 7х – 9 = 0
Представим уравнение в виде:
х2 + х =

Площадь полученного квадрата:
S = (х +
)2
Так как
,
то S = (х +
)2= 
Таким образом, получили
уравнение:
(x +
)2 = 
х+
= –
или х +
=
х = – 4,5 х = 1
Ответ: – 4,5; 1.
10.С помощью циркуля и линейки:
2х2 + 7х – 9 = 0
Определим координаты центра окружности по формулам:

.
S (
)
Проведем окружность радиуса SA, где А(0;1).

Ответ: –4,5; 1.
11.По формуле четного коэффициента
2х2 + 7х – 9 = 0
Умножим все уравнение на 2.
4х2 + 14х – 18 = 0
Применяем формулу
,k =

x1 = 1, х2 = –4,5
Ответ: – 4,5; 1
Заключение
В пособии даются краткие теоретические сведения, показаны решения уравнений стандартными и нестандартными способами.
Материалы пособия можно использовать при подготовке к экзаменам, на дополнительных занятиях и при самостоятельном изучении темы. Данное пособие может не только помочь пополнить, систематизировать, углубить знания по алгебре, но и способствовать формированию умений применять приемы сравнения, выделения главного, переноса знаний в новую ситуацию; развитию творческих способностей учащихся путем решения заданий более сложного уровня. Изучение разнообразных способов решения квадратных уравнений дает обучающимся реальную возможность выбора рациональных способов при решении. Автор надеется, что учебное пособие будет полезно учащимся как в процессе изучения темы, так и для успешной сдачи экзаменов.Данный материал при желании могут использовать в своей работе и учителя математики.
В перспективе автор планирует расширить и усовершенствовать данное пособие, добавив другие нестандартные способы решения квадратных уравнений.
Литература
Алгебра. 9класс: Дидактические материалы / Ю.Н.Макарычев, Н.Г.Миндюк, Л.Б.Крайнева,-М., Просвещение,2019.
Математика. ОГЭ-2020. Тренажер для подготовки к экзамену.Алгебра, геометрия: учебное пособие/ под редакцией Ф.Ф.Лысенко, С.О. Иванова.- Ростов н/Д: Легион, 2020.
Математика. 8-9 классы: сборник электронных курсов / В.Н. Студенецкая, Л.С. Сагателова. – М. : Учитель, 2006
Карпенко Н. В. Нестандартные методы решения квадратных уравнений // Всероссийская молодежная научная конференция «Все грани математики и механики» : сб. статей. Томск : Издательский дом ТГУ, 2017. С. 229–237.
Задачи по математике. Уравнения и неравенства: справочное пособие / В.В. Вавилов, И.И. Мельников, С.Н. Олехник, П.И. Пасиченко. – М. : Наука, 1987.
Алгебра.8класс Контрольно-измерительные материалы/ В.В.Черноруцкий-М.:ВАКО,2012.
Математический калейдоскоп / В.Г. Штейнгауз. – М. : Бюро «Квантум», 2005.
Пресман, А.А. Решение квадратного уравнения с помощью циркуля и линейки // Квант. – 1972. – № 4. – С. 34.
Алгебра.9класс Контрольно-измерительные материалы/ В.В.Черноруцкий-М.:ВАКО,2012.
Галицкий М.Л., Гольдман М., Звавич Л.И. Сборник задач по алгебре для 8-9 классов: учебное пособие для учащихся школ и классов с углубленным изучением математики:4-е изд.-М.: Просвещение, 1997.
ПРИЛОЖЕНИЯ
Задания для самостоятельной работы
1. Найдите корни уравнения
.
Если корней несколько, запишите их в ответ без пробелов в порядке возрастания.
2. Решите уравнение
.
Если корней несколько, запишите в ответ больший
3. Решите уравнение
.
Если корней несколько, запишите в ответ меньший.
4. Решите уравнение
.
Если корней несколько, запишите в ответ их сумму.
5. Найдите корни уравнения
.
6. Найдите корни уравнения
.
Если корней несколько, запишите их в ответ без пробелов в порядке возрастания.
7. Найдите корни уравнения 
8. Найдите корни уравнения 
9. На рисунке изображены графики функций
и
Вычислите координаты точки B., в ответ запишите их сумму.
10. Уравнение
имеет корни −6; 4. Найдите 
11. Квадратный трёхчлен разложен на множители:
Найдите 
12.Решите уравнение 
13. Решите уравнение 
14. Решите уравнение 
15. Решите уравнение 
16. Уравнение
имеет корни −5; 7. Найдите p
17. Решите уравнения: а)x2-13x+36=0; b) 4x2-4x-1=0; в) x2+8x-20=0; г) 3x2-18x+15=0
18.Найти корни уравнения:
А) x2+9x+8=0 Б) x2+5x-14=0 В)x2-7x-30=0 г) x2-15x+56=0
19. Решите уравнения: а)2x2-50=0; б)4x2+5x=0; в)-5x2=0; г)4x2+7=0
д) 6x2-30=0 е)6x2-5x+10=3x2+x+10
20. Решите уравнения: а) 9x2+24x+16=0; б) 3x2-8x+7=0;
в) 3x2+16x-12=0; г) (2x-1)(x+3)=3x2-5
Дидактический материал по применению нестандартных приемов решения квадратных уравнений
1.Решите наиболее рациональным способом корни уравнения:
1) 4х2 – 13х + 9 =0
(1; 2,25)
2) 1978х2 – 1984х + 6=0
(1; 6/1978)
3) 4х2 + 11х + 7 = 0
(-1; -7/4)
4) 319х2 + 1988х +1669=0
(-1; -1669/319)
5) 1999х2 + 2000х+1=0
(-1; -1/1999)
2. Решите уравнения с большими коэффициентами:
1) 313х2 +326х+13=0
(-1; -13/313)
2) 839х2– 448х -391=0
(1; -391/839)
3) 345х2 – 137х – 208=0
(1;.-208/345)
4) 939х2+978х+39=0
(-1; -39/939)
21


) и А (0;1) и провести окружность с центром в точке S и радиусом SA. Абсциссы точек пересечения с осью Ох есть корни исходного уравнения.
, окружность пересекает ось Ох в двух точках (x1; 0) и (х2; 0) , где x1 и x2 корни исходного уравнения. 
, окружность пересекает ось Ох в одной точке (x1; 0), где x1 – корень исходного уравнения.
, окружность не имеет общих точек с осьюОх. В этом случае исходное
;
, то есть
. Проведем окружность радиуса SA, гдеА (0;1). Найдем по рисунку абсциссы точек пересечения с осью Ох и проверим их. –1; –0,5 являются корнями уравнения 2х2+ 3х + 1 = 0.
Чтобы оставлять комментарии, вам необходимо авторизоваться на сайте. Если у вас еще нет учетной записи на нашем сайте, предлагаем зарегистрироваться. Это займет не более 5 минут.