Сложение и вычитание рациональных чисел
Разработка урока в 6 классе по математике
Тема: «Сложениеи вычитание рациональных чисел».
Цели: Технологическая карта урока
Тип урока: урок методологической направленности
Предмет: математика
Авторы учебника: Мерзляк А.Г.; Полонский В.Б.; Якир М.С.
Класс: 6
Учитель: Сенина Сания Умерзаховна
Тема урока:Сложение и вычитание рациональных чисел рациональных чисел
Цель урока: формирование навыка сложения и вычитания рациональных чисел
Задачи урока: сформировать навыки сложения чисел с разными знаками.
Образовательные задачи урока (формирование познавательных УУД):
Закрепить
тренировать способность к использованию выведенного алгоритма;
организовать деятельность обучающихся по приобретению необходимых умений и навыков;
повторить и закрепить ;
Воспитательные задачи урока (формирование коммуникативных и личностных УУД):
содействовать развитию познавательного интереса учащихся к предмету;
прививать учащимся навыки организации самостоятельной работы;
умение слушать и вступать в диалог, участвовать в коллективном обсуждении проблем, интегрироваться в группу сверстников и строить продуктивное взаимодействие, воспитывать ответственность и аккуратность.
Развивающие задачи урока: (формирование регулятивных УУД)
развивать умения учащихся анализировать, делать выводы, определять взаимосвязь и логическую последовательность мыслей;
развивать умения слушать и исправлять речь своих товарищей;
тренировать способность к рефлексии собственной деятельности и деятельности своих товарищей.
Формы работы учащихся: Фронтальная,индивидуальная
Оборудование: компьютер, раздаточный материал для самостоятельной работы.
1
Тип: урок обобщения и систематизации.
Структура урока:
1. Организационный момент.
2. Устная работа
3. Тренировочные упражнения по отработку умений и навыков сложения и вычитания отрицательных чисел, и чисел с разными знаками.
4. Разрядка.
5. Подведение итогов урока.
6. Домашнее задание.
Методы урока:
1.Организационный момент Эмоциональный настрой на урок. | Здравствуйте ребята. Я рада снова видеть вас на уроке. Один мудрец однажды сказал: «Не для школы, а для жизни мы учимся!» А для чего Вы изучаете такую сложную науку как математика? «Вы – талантливые дети! Когда-нибудь вы сами приятно поразитесь, какие вы умные, как много и хорошо умеете, если будете постоянно работать над собой, ставить новые цели и стремиться к их достижению». - Я желаю вам сегодня на уроке убедиться в справедливости этих слов великого французского философа Ж.- Ж. Руссо. | 0,5 мин | |||||||||||||||||||||||||||||||||||||||||||||||||||||||||||||||||||||||||||||||||||||||||||
2. Мотивация урока. | 1.Прочитайте слова: Выигрыш, проигрыш, отдал, взял, зарплата, налог, долг 2.Разделите эти слова на 2 группы: в первый столбик – слова-синонимы слова «доход», во второй – слова – синонимы слова «расход».
И вот однажды купец решил посчитать, с прибылью для себя или с убытком он прожил этот месяц? Если:
Решение: 32 – 16 – 30 + 17 + 10 = 13
Сегодня мы с вами закрепим алгоритмы выполнения сложения и вычитания дробей с разными знаменателями, и алгоритмы вычисления чисел с разными знаками. А также, будем совершенствовать вычислительные навыки, навыки самоконтроля. (Учащиеся записывают в тетрадях число и тему урока). Итак, запишите, пожалуйста, в тетрадь, тема нашего урока: «Сложение и вычитание рациональных чисел». .Планирование действий по достижению цели. Фронтальная работа Ребята, как легче справиться с какой-то проблемой в одиночку или сообща? Какими качествами должен обладать ваш товарищ, с которым вам захотелось бы поработать над решением проблемы? Как достичь цели, что для этого будем делать? | Сделают вывод, что с помощью координатной прямой не все числа удобно складывать
| 0,5 мин | ||||||||||||||||||||||||||||||||||||||||||||||||||||||||||||||||||||||||||||||||||||||||||
Ребята, что нужно сделать прежде чем начать решать примеры и задачи? (Повторить правила) 1.Сформулируйте правило сложения двух отрицательных чисел. 2.Сумма двух отрицательных чисел отрицательное или положительное число? 3.Что больше, сумма двух отрицательных чисел или одно из них? 4. Сформулируйте правило сложения чисел с разными знаками. 5.Если из двух слагаемых больший модуль имеет отрицательное число, то какой знак будет иметь сумма данных чисел? 6.Чему равна сумма противоположных чисел? 7.По какому правилу выполняется вычитание рациональных чисел? 8.Как вычитаются числа с разными знаками? 9. Как вычитаются числа с одинаковыми знаками? | презентация | мин | |||||||||||||||||||||||||||||||||||||||||||||||||||||||||||||||||||||||||||||||||||||||||||
Работа над нестандартными заданиями. Связь математики с живой природой. Сейчас мы решим несколько задач, в которых увидим, где применяются положительные и отрицательные числа. (все задачи выведены на слайды, в тетрадях записываем только решение) В биологии. Задача 1. Птица клест-еловик несет яйца и высиживает птенцов зимой. На улице температуре воздуха – 35°С, а в гнезде температура на 49°С выше. Какова температура в гнезде ? Решение. Чтобы определить температуру в гнезде , нужно 1) - 35+49= 14°С. – температура в гнезде. Ответ: 14°С. Задача 2. Шмели выдерживают температуру до – 7,8°С, пчелы – выше этой на 1,4°С. Какую температуру выдерживают пчелы? Решение.Чтобы найти на какую температуру выдерживают пчелы, нужно к числу – 7,8 прибавить число 1,4. 1) – 7,8 + 1,4 = - 6,4 °С выдерживают пчелы. Ответ: - 6,4°С. В географии. отрицательными числами обозначают глубину морей, а положительными –высоту гор. Задача 3. Черное море имеет глубину -2500м, а Средиземное море на 3000м глубже. Какая глубина Средиземного моря? Решение: 1) -2500+(-3000)= -5500м глубина Средиземного моря. Ответ:-5500м Задача 4. Марианский желоб имеет глубину -11000м, который глубже Каспийского моря на 10000м. Какова глубина Каспийского моря? Решение: 1)-11000+10000= -1000м глубина Каспийского моря. Ответ: -1000м. В жизни. Задача 5. Если на балансе вашего телефона было 48 рублей, а ты с другом проговорил 84 рубля. Каким будет твой баланс? Мама тебе положила 100 рублей. Сколько теперь будет у тебя на счету? Решение.1)48 +(-84) = -36(р) баланс после разговора 2) – 36+100 = 64 (р) на счету Ответ: 64 рубля Итак, где применяются отрицательные и положительные числа?
К доске приглашаются 2учащихся и записывают решение
- Итак, какие правила действия с дробями мы использовали? Использование знаний учащихся в измененных условиях. Самостоятельная работа «Математическое лото». В результате выполнения этой работы, учащиеся получают два ключевых слова в изучаемой теме. На столе учеников лежат карточки с примерами и варианты ответов к ним. Учащиеся накрывают пример соответствующим ответом и получают букву угадываемого слова. Если все примеры решены правильно, то с помощью “ключа” можно отгадать слово.
І вариант
ІІ вариант
Вариант 1 – ДРОБЬ, вариант 2 – МИНУС. Так как любое рациональное число можно представить в виде дроби, то все действия с рациональными числами сводятся к действиям с дробями. И очень важно при этом соблюдать правила сложения и вычитания отрицательных чисел и чисел с разными знаками. А значит особенное внимание уделяется знаку минус.
Два ученика выступают с сообщениями о возникновении дробей и о происхождении отрицательных чисел. «Не зная прошлого развития науки, трудно понять ее настоящее». Историческая «дробная» пауза. Дроби появились в глубокой древности. При разделе добычи, при измерениях величин, да и в других похожих случаях люди встретились с необходимостью ввести дроби. Интересная система дробей была в Древнем Риме. Она основывалась на делении на 12 долей единицы веса, которая называлась “асс”. 12-ую долю “асса” называли унцией, а сами дроби - двенадцатеричными. В древнем Вавилоне предпочитали наоборот - постоянный знаменатель, равный 60-ти. Шестидесятеричными дробями, унаследованными от Вавилона, пользовались греческие и арабские математики и астрономы. На Руси дроби называли долями, позднее “ломаными числами”. Современное обозначение дробей берет начало в Древней Индии. Вначале в записи дробей не использовалась дробная черта. Горизонтальную черту, одним из первых применял таджикский ученый ал – Насави, который умер около 1030 г. Автором первого европейского учебника, в котором использовалась современная запись дробей итальянский купец и путешественник Кибоначчи Леонардо Пизанский, который путешествуя по Востоку, познакомился с достижениями арабской математики; способствовал передаче их на Запад, применял эту черту регулярно, после него дробная черта вошла в обиход. Название числитель и знаменатель ввел в XIII в. Максим Пеануд-греческий – монах, учитель-математик. Историческая пауза. Когда и где появились отрицательные числа? Отрицательные числа появились значительно позже натуральных чисел и обыкновенных дробей. Первые сведения об отрицательных числах встречаются у китайских математиков во II в. до н. э. Ни египтяне, ни вавилоны, ни даже древние греки чисел этих не знали. Впервые с отрицательными числами столкнулись китайские ученые в связи с решением уравнений. Они уже умели их складывать и вычитать. Однако знаки “ + “ или “ – “ тогда не употребляли, а изображали положительные числа красным цветом, а отрицательные – черным, называя их “фу”. Индийские математики Брамагупта (VII век) и Бхаскара (XII век) представляли себе положительные числа как «имущества», а отрицательные числа как «долги». Они составили правила действий для этих чисел. Вот как индийский математик Брамагупта (VIIв.) излагал правила сложения и вычитания: «Сумма двух имуществ есть имущество», «Сумма двух долгов есть долг», «Сумма имущества и долга равна их разности» и т.д. Однако долгое время отрицательные числа считали не настоящими, фиктивными, абсурдными. В Европе отрицательными числами начали пользоваться с XII –XIII вв., но до XVI.в., как и в древности, они понимались как долги, большинство учёных считали их «ложными» в отличие от положительных чисел – «истинных». Признанию отрицательных чисел способствовали работы французского математика, физика и философа Рене Декарта (1596 – 1658). Он предложил геометрическое истолкование положительных и отрицательных чисел – ввел координатную прямую в 1637 году. Спасибо , конечно, Не зная прошлого развития науки, трудно понять ее настоящее». Занимательная задача «Найти сумму всех целых чисел от – 499 до 501». Учитель предложил Незнайке решить дома следующее задание: «Найти сумму всех целых чисел от - 499 до 501». Незнайка как обычно сел за работу, однако дело шло медленно. Тогда на помощь ему пришли мама, папа, бабушка. Вычисляли, пока от усталости не стали смыкаться глаза. А вы, ребята, как бы решили такое задание? Нашли значение следующего выражения – 499 + (– 498) + (– 497) + …+ 497 + 498+ 499 + 500 + 501? Вспомогательные вопросы к задаче
Решение.Так как сумма противоположных чисел равна 0, то – 499 + (– 498) + (– 497) + …+ 497 + 498+ 499 + 500 + 501 = = 501 + 500 + (– 499 + 499) + (– 498 + 498) + (– 497 + 497) + …+ (– 1 + 1) + 0 = = 501 + 500 + 0 = 1001. Ответ: сумма всех целых чисел от – 499 до 501 равна 1001. Блицтурнир учитель против 6-Б класса. Верно ли утверждение: 1) сумма двух чисел с разными знаками всегда положительна; 2) сумма двух чисел с разными знаками не всегда положительна; 3) сумма двух чисел с разными знаками всегда отрицательна; 4) сумма двух чисел с разными знаками не всегда отрицательна; 5) сумма двух чисел с разными знаками всегда равна нулю; 6) сумма двух чисел с разными знаками может быть равна нулю; 7) знак суммы двух чисел с разными знаками всегда такой же, как у слагаемого с большим модулем; 8) если модули слагаемых с разными знаками равны, то сумма слагаемых равна нулю; 9) модуль суммы двух чисел с разными знаками равен сумме модулей слагаемых; 10) модуль суммы отрицательных чисел равен сумме модулей слагаемых; 11) сумма отрицательных чисел всегда отрицательное число. Рефлексия. А теперь давайте вернемся к задаче, которую я вам зачитала в начале урока. В чем же ее смысл? - А что же нового вы узнали сегодня на уроке? - Довольны ли вы результатами? - Что понравилось в работе? - Какие трудности испытывали? - Как их преодолевали? - Покажите, какое настроение сейчас у вас. 9. Подведение итогов урока. Выставление оценок. Задание на карточке: В клетки квадрата записать такие числа, чтобы сумма чисел по любой вертикали, горизонтали была равна 0
Ответ:
2 препятствие . Тот, кто не знает математики , не может узнать никакой другой науки. (Роджер Бэкон) Устный счет. 1) 15 – (- 58) = 4) 28 – 100 = 7) 75 – 90 = 2) – 36 – 24 = 5) – 20 + 6 = 6) – 75 + 75 = 9) -35 – 28 = 3 препятствие . Математика – точильный камень способностей. Работа в тетрадях. 1. Упростите сумму: -8+х+(-22). 2. Упростите сумму: -10+а+34. 3. Разность у и 6 равна 12. Найдите у. 4. Решите уравнение: 5-с=12. ). Самое маленькое государство – Ватикан – 189 + 233 =? (44 гектара) в). Материк с наибольшим числом границ – Африка – 75 +? = 33 (108) МИР построен на силе ЧИСЕЛ. (Пифагор) а) Математические знаки. 1). *6 *18 =-14 2). *29 * 50=+21 б) Какая рыба без чешуи? 1) Щука-5 2) Сом-7, 3) Карась-9. –15+у=-8 в) Какое озеро самое красивое? 1)Чудское-2 2) Ильмень-4, 3)Байкал-6. m+(-14)=-8 | |||||||||||||||||||||||||||||||||||||||||||||||||||||||||||||||||||||||||||||||||||||||||||||
6. Физкультминутка | Мы сейчас все дружно встанем, | 1 мин | |||||||||||||||||||||||||||||||||||||||||||||||||||||||||||||||||||||||||||||||||||||||||||
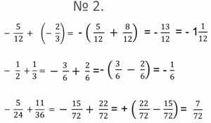
№ 1013 А сейчас я вам предлагаю подняться по ступенькам успеха к самой вершине
| Индивидуально | 18 мин | |||||||||||||||||||||||||||||||||||||||||||||||||||||||||||||||||||||||||||||||||||||||||||
Блицтурнир учитель против 6-Б класса. Верно ли утверждение: 1) сумма двух чисел с разными знаками всегда положительна; 2) сумма двух чисел с разными знаками не всегда положительна; 3) сумма двух чисел с разными знаками всегда отрицательна; 4) сумма двух чисел с разными знаками не всегда отрицательна; 5) сумма двух чисел с разными знаками всегда равна нулю; 6) сумма двух чисел с разными знаками может быть равна нулю; 7) знак суммы двух чисел с разными знаками всегда такой же, как у слагаемого с большим модулем; 8) если модули слагаемых с разными знаками равны, то сумма слагаемых равна нулю; 9) модуль суммы двух чисел с разными знаками равен сумме модулей слагаемых; 10) модуль суммы отрицательных чисел равен сумме модулей слагаемых; 11) сумма отрицательных чисел всегда отрицательное число. Учащиеся формулируют правило сложения дробей с разными знаменателями: Чтобы сложить дроби с разными знаменателями:
| 5 мин | ||||||||||||||||||||||||||||||||||||||||||||||||||||||||||||||||||||||||||||||||||||||||||||
2 мин |

+
=-
+
= -(
=-








-
=
+
+
=
+ (-
-
) =
-
=
+
=
+ (-
) =
Чтобы оставлять комментарии, вам необходимо авторизоваться на сайте. Если у вас еще нет учетной записи на нашем сайте, предлагаем зарегистрироваться. Это займет не более 5 минут.