Контрольно-измерительный материал по математике для 8 класса
Входная контрольная работа по математике
Пояснительная записка
Предмет:математика
Класс: 8
Тема:Входная контрольная работа: Проверке подлежит материал основных математических блоков, на которые распределено содержание школьного курса математики: «Числовые выражения», «Линейное уравнение с одной переменной», «Линейная функция и её график», «Степень с натуральным показателем и её свойства», «Многочлены», «Формулы сокращенного умножения», "Геометрия".
Дата проведения: сентябрь
Цель контроля: проверка усвоения объёма знаний на начало учебного года; выяснить уровень сформированности компонентов учебной деятельности. Данные, полученные в ходе входного контроля необходимы для индивидуальных траекторий развития каждого ребенка. Сравнение результатов позволяет оценить прочность усвоения предметных и универсальных действий, определить динамику успешности каждого обучающегося, проанализировать причины положительных и отрицательных результатов.
Форма контроля: контрольная работа.
Спецификация к контрольно-измерительной работе. Характеристика заданий.
Уровень | Планируемые результаты Проверяемые умения | Номер задания |
Репродуктивный уровень (на базовом уровне) |
| 1,2,4,5,6 |
Конструктивный уровень. (на повышенном уровне.) | - уметь решать линейные уравнения - решать задачу с помощью уравнения. | 3,7 |
Творческий уровень (в незнакомой ситуации) | - уметь решать линейные уравнения -решать систему линейных уравнений способом подстановки. | 8,9 |
Инструкция для учащегося по выполнению контрольной процедуры: на выполнение всей работы отводится не более 40 минут; работа выполняется на индивидуальных листах по вариантам; дополнительные материалы не используются. Задания 1-9 требуют развернутое решение и ответ, с 1-6 задание по 1 баллу, со 7-9 - 2балла.
Интерпретациииндивидуальныхобразовательныхдостиженийобучающихся.
За работу выставляется 1 отметка согласно уровню достижения учащимися планируемых результатов.
Уровень достижения учащимися планируемых результатов обучения.
Уровень /Отметка | Балл |
Высокий уровень , «5» | 10-12 |
Повышенный уровень ,«4» | 7-9 |
Базовый уровень достижений , «3» | 5-6 |
Пониженный уровень , «2» | Менее 5 баллов |
Входная контрольная работа по математике 8 класс
Демонстрационный вариант.
Часть I
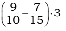
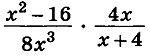
Вычислите:

Найдите значение выражения

Решите уравнение: 1-7(4+2х)=-9-4х
Упростите: а) (x + 5)(x – 2) + x; б) (3x – 5y)(3x + 5y);
в)(b – 3)2–b(b – 6)
В равнобедренном треугольнике с основаниемАС угол В равен 540. Найдите два других угла треугольникаАВС.
Разложите на множители: а) 3x2–6xy; б) 49с2 – 25
Часть II
Туристы 3 ч ехали на автомобиле и 10 ч на поезде. За это время они проделали путь в 759 км. Какова скорость поезда, если она на 7 км/ч больше скорости автомобиля?
Найдите корень уравнения
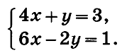
.Решите систему уравнений:

Входная контрольная работа по математике 8 класс
I вариант
I вариант
Часть I
Вычислите:
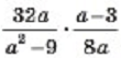
.Найдите значение выражения
при
;
;
.Решите уравнение:
.Упростите: а) (x + 2)(x – 3) + x; б) (2x – 3y)(2x + 3y);
в)(b – 5)2–b(b – 3)
В равнобедренном треугольнике с основаниемАС уголВ равен 420. Найдите два других угла треугольникаАВС.
Разложите на множители: а) 2x2–xy; б) 36с2 – 25
Часть II
Туристы 5 ч ехали на автомобиле и 8 ч на поезде. За это время они проделали путь в 755 км. Какова скорость поезда, если она на 5 км/ч больше скорости автомобиля?
Найдите корень уравнения
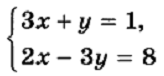
.Решите систему уравнений

Входная контрольная работа по математике 8 класс
II вариант
Часть I
Вычислите:
.Найдите значение выражения
при
;
;
.Решите уравнение:
.Упростите: а) (x + 4)(x – 5) + 20; б) (3x – 4y)(3x + 4y);
в)4b(b – 2)– (b – 5)2.
В равнобедренном треугольнике с основаниемАС сумма угловА и С равна 1560. Найдите углы треугольника АВС.
Разложите на множители: а) 3с2– сy; б) 16с2 – 49;
Часть II
Два туриста вышли одновременно из двух городов, расстояние между которыми 38 км, и встретились через 4 ч. С какой скоростью шел каждый турист, если известно, что первый прошел до встречи на 2 км больше второго?
Найдите корень уравнения
.
9.Решите систему уравнений : 

Промежуточная контрольная работа по математике
Пояснительная записка
Предмет:математика
Класс: 8
Тема:Промежуточная контрольная работа: Проверке подлежит материал основных математических блоков, на которые распределено содержание школьного курса математики: «Корни и свойства корней», «Все действия с дробно-рациональными выражениями», «Квадратные уравнения», «Свойства четырехугольников», «Площадь четырехугольника».
Дата проведения: декабрь
Цель контроля:диагностирование степени усвоения обучающимися содержания учебной дисциплины по предметам базисного учебного плана в соответствии с государственным общеобразовательным стандартом на отдельных этапах за длительный период времени.
Форма контроля: контрольная работа.
Спецификация к контрольно-измерительной работе. Характеристика заданий.
Уровень | Планируемые результаты Проверяемые умения | Номер задания |
Репродуктивный уровень (на базовом уровне) | - Умение применять свойства арифметических квадратных корней для преобразования числовых выражений, содержащих квадратные корни. -умения упрощать дробно-рациональные выражения. -Умение решать планиметрические задачи на нахождение геометрических величин ( угла параллелограмма). -Умение решать планиметрические задачи на нахождение геометрических величин ( площади трапеции). | 1,2,4,5,7 |
Конструктивный уровень. (на повышенном уровне.) | -Умение решать квадратные уравнения, выполнив при этом различные тождественные преобразования, формулу корней квадратного уравнения. -Умение решать планиметрические задачи на нахождение геометрических величин (периметра параллелограмма ). | 3,6 |
Творческий уровень (в незнакомой ситуации) | -Умение решать планиметрические задачи на нахождение геометрических величин (Теорема Пифагора). | 8 |
Инструкция для учащегося по выполнению контрольной процедуры: на выполнение всей работы отводится не более 40 минут; работа выполняется на индивидуальных листах по вариантам; дополнительные материалы не используются. Задания 1-8 требуют развернутое решение и ответ, за 1,2,4,5,7 задание по 1 баллу,3задание -3б , 6,8задание - 2балла.
Интерпретациииндивидуальныхобразовательныхдостиженийобучающихся.
За работу выставляется 1 отметка согласно уровню достижения учащимися планируемых результатов.
Уровень достижения учащимися планируемых результатов обучения.
Уровень /Отметка | Балл |
Высокий уровень , «5» | 10-12 |
Повышенный уровень ,«4» | 7-9 |
Базовый уровень достижений , «3» | 5-6 |
Пониженный уровень , «2» | Менее 5 баллов |

Промежуточная контрольная работа 8 класс
Демонстрационный вариант.
Найдите значение выражения а)
б)
в)
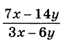
Сократить дробь: а)
б) 
Решите уравнение:
а) 3х² – 5х = 0.
б) х² – 144 = 0.
в) 3х² – 2х–16 = 0.
Упростить выражение:

Какое из следующих утверждений верно
1) у любой трапеции основания параллельны
2)диагонали ромба перпендикулярны
3)каждая из биссектрис равнобедренного треугольника является высотой
4) в тупоугольном треугольнике все углы равны
Периметр параллелограмма равен 148. Одна сторона параллелограмма на 6 см меньше другой стороны. Найдите большую сторону параллелограмма.
7. На клетчатой бумаге с клетками размером 1 см 1 см изображена трапеция (см. рисунок). Найдите ее площадь в квадратных сантиметрах.

8. Гипотенуза прямоугольного треугольника равна 13 м, а один из катетов – 5 м. Найдите площадь треугольника.
Промежуточная контрольная работа 8 класс
1 вариант
1. Найдите значение выражения
а)
б)
в)
2. Сократить дробь: а)
б)
3. Решите уравнение:
а) 4х² – 22х = 0.
б) х² – 49 = 0.
в)х² – 7х+12 = 0.
4. Упростить выражение: 
5. Какое из следующих утверждений верно
1) у любой трапеции основания параллельны
2)диагонали ромба перпендикулярны
3)каждая из биссектрис равнобедренного треугольника является высотой
4) в тупоугольном треугольнике все углы равны
6. Периметр параллелограмма равен 154. Одна сторона параллелограмма на 12 см больше другой стороны. Найдите меньшую сторону параллелограмма.
7. На клетчатой бумаге с клетками размером 1 см 1 см изображена трапеция (см. рисунок). Найдите ее площадь в квадратных сантиметрах.

8. Гипотенуза прямоугольного треугольника равна 10 м, а один из катетов – 8 м. Найдите площадь треугольника.
Промежуточная контрольная работа 8 класс.
2 вариант
1. Найдите значение выражения
а)
б)
в)
2. Сократить дробь: а)
б) 
3. Решите уравнение:
а) 2х² – 7х = 0.
б)х² – 36 = 0.
в)х² – 3х ─10 = 0.
4. Упростить выражение: 
5. Какое из следующих утверждений верно
1) у любой трапеции основания параллельны
2)диагонали квадрата перпендикулярны
3)каждая из биссектрис равнобедренного треугольника является высотой
4) в прямоугольном треугольнике все углы 90
6. Периметр параллелограмма равен 160. Одна сторона параллелограмма на 3 см больше другой стороны. Найдите меньшую сторону параллелограмма.
7. На клетчатой бумаге с клетками размером 1 см 1 см изображена трапеция (см. рисунок). Найдите ее площадь в квадратных сантиметрах. Ответ: _____________

8. Гипотенуза прямоугольного треугольника равна 10 м, а один из катетов – 6м. Найдите площадь треугольника.
Итоговая контрольная работа по математике
Пояснительная записка
Предмет:математика
Класс: 8
Тема:Итоговая контрольная работа: Проверке подлежит материал основных математических блоков, на которые распределено содержание школьного курса математики: «Числа и выражения», «Алгебраические выражения», «Уравнения и неравенства», «"Геометрия".
Дата проведения: май
Цель контроля:проверка и оценка способности обучающихся применять полученные в процессе изучения математики знания для решения разнообразных задач учебного и практического характера.
Форма контроля: контрольная работа.
Спецификация к контрольно-измерительной работе. Характеристика заданий.
Уровень | Планируемые результаты Проверяемые умения | Номер задания |
Репродуктивный уровень (на базовом уровне) | - Умение применять свойства арифметических квадратных корней для преобразования числовых выражений, содержащих квадратные корни. -умения упрощать дробно-рациональные выражения. -Умение решать планиметрические задачи на нахождение геометрических величин ( площадь треугольника). -Умение решать планиметрические задачи на нахождение геометрических величин ( выбрать верное утверждение). -уметь устанавливать графики и формулы которые они задают. | 1,2,3,4,7,8 |
Конструктивный уровень. (на повышенном уровне.) | -Умение решать квадратные уравнения, выполнив при этом различные тождественные преобразования, формулу корней квадратного уравнения. -Умение решать планиметрические задачи на нахождение геометрических величин (окружность ). -Умение решать линейное неравенство с одной переменной. | 5,6 |
Творческий уровень (в незнакомой ситуации) | Умение решать дробное рациональное уравнение. | 9 |
Инструкция для учащегося по выполнению контрольной процедуры: на выполнение всей работы отводится не более 40 минут; работа выполняется на индивидуальных листах по вариантам; дополнительные материалы не используются. Задания 1-9 требуют развернутое решение и ответ, с 1-6 задание по 1 баллу, со 7-9 - 2балла.
Интерпретациииндивидуальныхобразовательныхдостиженийобучающихся.
За работу выставляется отметка согласно уровню достижения учащимися планируемых результатов.
Уровень достижения учащимися планируемых результатов обучения.
Уровень /Отметка | Балл |
Высокий уровень , «5» | 10-12 |
Повышенный уровень ,«4» | 7-9 |
Базовый уровень достижений , «3» | 5-6 |
Пониженный уровень , «2» | Менее 5 баллов |
Итоговая контрольная работа по алгебре за 8 класс
Демонстрационный вариант
Часть 1
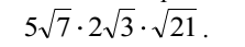
1.Найти значение выражения
-2,3
2. Установите соответствие между графиками функций и формулами, которые их задают.

3. Упростите выражение : 
4.Решите уравнение х2-8х+12=0.
5. Решить неравенство -7-2х≤ -6х+10
6.AC и BD — диаметры окружности с центром O. Угол ACB равен 56°. Найдите угол AOD. Ответ дайте в градусах.
7.На клетчатой бумаге с размером клетки 1×1 изображён треугольник. Найдите его площадь.

8.Какое из следующих утверждений верно?
1) Внешний угол треугольника равен сумме его внутренних углов.
2) Основания равнобедренной трапеции равны.
3) Любые два диаметра окружности пересекаются.
3) Любая высота равнобедренного треугольника является его биссектрисой.
Если утверждений несколько, запишите их номера в порядке возрастания.
9.Два автомобиля одновременно отправились в 420-километровый пробег. Первый ехал со скоростью, на 24 км/ч большей, чем скорость второго, и прибыл к финишу на 2часа раньше второго. Найти скорость автомобиля пришедшего к финишу первым.
Вариант 1
Часть 1
1.Найти значение выражения
+0,09
2. Установите соответствие между графиками функций и формулами, которые их задают.

3. Упростите выражение 
4.Решите уравнение х2+3х-4=0.
5. Решить неравенство
6.AC и BD — диаметры окружности с центром O. Угол ACB равен 79°. Найдите угол AOD. Ответ дайте в градусах.
7
.На клетчатой бумаге с размером клетки 1×1 изображён треугольник. Найдите его площадь.
Ответ:____________________
8.Какие из следующих утверждений верны?
1)Если в параллелограмме диагонали равны и перпендикулярны, то этот параллелограмм — квадрат.
2) Сумма смежных углов равна 180°.
3) Любая высота равнобедренного треугольника является его биссектрисой.
Если утверждений несколько, запишите их номера в порядке возрастания.
9.Два велосипедиста одновременно отправились в 96-километровый пробег. Первый ехал со скоростью, на 4 км/ч большей, чем скорость второго, и прибыл к финишу на 4 часа раньше второго. Найти скорость велосипедиста, пришедшего к финишу первым.
Итоговая контрольная работа по алгебре за 8 класс.
Вариант 2.
Часть 1.
1. Найти значение выражения 0,08+
2. Установите соответствие между графиками функций и формулами, которые их задают

3. Упростите выражение 
4.Решите уравнение х2-7х+10=0.
5.Решить неравенство 9(х – 2) – 3(2х + 1) > 5х.
6. В окружности с центром O AC и BD — диаметры. Угол ACB равен 26°. Найдите угол AOD. Ответ дайте в градусах.

7. Найдите площадь треугольника, изображённого на рисунке.
8. Какие из данных утверждений верны? Запишите их номера.
1) Каждая из биссектрис равнобедренного треугольника является его медианой.
2) Диагонали прямоугольника равны.
3) Все высоты равностороннего треугольника равны.
9. Два велосипедиста одновременно отправились в 130-километровый пробег. Первый ехал со скоростью, на 3 км/ч большей, чем скорость второго, и прибыл к финишу на 3 часа раньше второго. Найти скорость велосипедиста, пришедшего к финишу вторым.
Чтобы оставлять комментарии, вам необходимо авторизоваться на сайте. Если у вас еще нет учетной записи на нашем сайте, предлагаем зарегистрироваться. Это займет не более 5 минут.