Охрана труда:
нормативно-правовые основы и особенности организации
Обучение по оказанию первой помощи пострадавшим
Аккредитация Минтруда (№ 10348)
Подготовьтесь к внеочередной проверке знаний по охране труда и оказанию первой помощи.
Допуск сотрудника к работе без обучения или нарушение порядка его проведения
грозит организации штрафом до 130 000 ₽ (ч. 3 статьи 5.27.1 КоАП РФ).
Участие подтверждается официальными документами
  • Приказ Приказ о проведении
  • Положение Положение
  • Протокол Выписка из Протокола
  • Диплом Диплом победителя
  • Инновации Диплом за инновационную деятельность
  • Благодарность Благодарность
08.02.2024

Методические указания по выполнению практических работ учебного предмета ОУП. 04 Математика (углубленный уровень) для специальности 35.02.12 Садово-парковое и ландшафтное строительство

Саттарова Виктория Сергеевна
ОБПОУ "КГПК"
Конкурсная работа

Комитет образования и науки Курской области

областное бюджетное профессиональное образовательное учреждение

«Курский государственный политехнический колледж»

Методические указания по выполнению практических работ

учебного предмета

ОУП. 04 Математика

(углубленный уровень)

для специальности 35.02.12 Садово-парковое и ландшафтное строительство

Курск

2022

Одобрены на заседании

П(Ц)К «Математики, физики, астрономии и информатики»

Составлены в соответствии

с программой, утвержденной

директором ОБПОУ «Курский государственный политехнический колледж»

О.И. Морозовой «___»____________

Председатель П(Ц)К

__________ О.А.Михайлова

Зам. директора по УР ____________ Н.Ю. Тарасова

Методические указания для студентов по выполнению практических работ разработаны на основе рабочей программы учебного предмета ОУП.04 Математика

Составители: Долгих Н.И., Саттарова В.С.

преподаватели ОБПОУ «КГПК»

Методические указания для студентов по выполнению практических работ рассмотрены и одобрены на заседании «Математики, физики, астрономии и информатики»

Протокол № _____ от «_______» _____________ 20__ г.

Председатель П(Ц)К ____________ О.А.Михайлова

Методические указания для студентов по выполнению практических работ рассмотрены и одобрены на заседании методического совета

Протокол № _____ от «_______» _____________ 20___ г.

Председатель методического совета __ ___ (И. Н. Толмачева)

Согласована

ЗShape1 аместитель директора по учебной работе ____ ___( Н.Ю. Тарасова )

Пояснительная записка

Методические указания по выполнению практических работ учебного предмета «Математика» для специальности 35.02.12 Садово-парковое и ландшафтное строительство

Освоение содержания учебного предмета Математика, обеспечивает достижение студентами следующих результатов:

личностных:

  1. сформированность мировоззрения, соответствующего современному уровню развития науки и общественной практики, основанного на диалоге культур, а также различных форм общественного сознания, осознание своего места в поликультурном мире:

− сформированность представлений о математике как универсальном языке науки, средстве моделирования явлений и процессов, идеях и методах математики;

− понимание значимости математики для научно-технического прогресса, сформированность отношения к математике как к части общечеловеческой культуры через знакомство с историей развития математики, эволюцией математических идей;

− развитие логического мышления, пространственного воображения, алгоритмической культуры, критичности мышления на уровне, необходимом для будущей профессиональной деятельности, для продолжения образования и самообразования;

− овладение математическими знаниями и умениями, необходимыми в повседневной жизни, для освоения смежных естественно-научных дисциплин и дисциплин профессионального цикла, для получения образования в областях, не требующих углубленной математической подготовки.

  1. готовность и способность к образованию, в том числе самообразованию, на протяжении всей жизни; сознательное отношение к непрерывному образованию как условию успешной профессиональной и общественной деятельности:

− готовность и способность к образованию, в том числе самообразованию, на протяжении всей жизни; сознательное отношение к непрерывному образованию как условию успешной профессиональной и общественной деятельности;

− готовность и способность к самостоятельной творческой и ответственной деятельности.

  1. навыки сотрудничества со сверстниками, детьми младшего возраста, взрослыми в образовательной, общественно полезной, учебно-исследовательской, проектной и других видах деятельности:

− готовность к коллективной работе, сотрудничеству со сверстниками в образовательной, общественно полезной, учебно-исследовательской, проектной и других видах деятельности.

  1. нравственное сознание и поведение на основе усвоения общечеловеческих ценностей:

− отношение к профессиональной деятельности как возможности участия в решении личных, общественных, государственных, общенациональных проблем.

метапредметных:

− умение самостоятельно определять цели деятельности и составлять планы деятельности; самостоятельно осуществлять, контролировать и корректировать деятельность; использовать все возможные ресурсы для достижения поставленных целей и реализации планов деятельности; выбирать успешные стратегии в различных ситуациях;

− умение продуктивно общаться и взаимодействовать в процессе совместной деятельности, учитывать позиции других участников деятельности, эффективно разрешать конфликты;

− владение навыками познавательной, учебно-исследовательской и проектной деятельности, навыками разрешения проблем; способность и готовность к самостоятельному поиску методов решения практических задач, применению различных методов познания;

− готовность и способность к самостоятельной информационно-познавательной деятельности, включая умение ориентироваться в различных источниках информации, критически оценивать и интерпретировать информацию, получаемую из различных источников;

− владение языковыми средствами: умение ясно, логично и точно излагать свою точку зрения, использовать адекватные языковые средства;

− владение навыками познавательной рефлексии как осознания совершаемых действий и мыслительных процессов, их результатов и оснований, границ своего знания и незнания, новых познавательных задач и средств для их достижения;

− целеустремленность в поисках и принятии решений, сообразительность и интуиция, развитость пространственных представлений; способность воспринимать красоту и гармонию мира;

предметных:

− сформированность представлений о математике как части мировой культуры и месте математики в современной цивилизации, способах описания явлений реального мира на математическом языке;

− сформированность представлений о математических понятиях как важнейших математических моделях, позволяющих описывать и изучать разные процессы и явления; понимание возможности аксиоматического построения математических теорий;

− владение методами доказательств и алгоритмов решения, умение их применять, проводить доказательные рассуждения в ходе решения задач;

− владение стандартными приемами решения рациональных и иррациональных, показательных, степенных, тригонометрических уравнений и неравенств, их систем; использование готовых компьютерных программ, в том числе для поиска пути решения и иллюстрации решения уравнений и неравенств;

− сформированность представлений об основных понятиях математического анализа и их свойствах, владение умением характеризовать поведение функций, использование полученных знаний для описания и анализа реальных зависимостей;

− владение основными понятиями о плоских и пространственных геометрических фигурах, их основных свойствах; сформированность умения распознавать геометрические фигуры на чертежах, моделях и в реальном мире; применение изученных свойств геометрических фигур и формул для решения геометрических задач и задач с практическим содержанием;

− сформированность представлений о процессах и явлениях, имеющих вероятностный характер, статистических закономерностях в реальном мире,

основных понятиях элементарной теории вероятностей; умений находить и

оценивать вероятности наступления событий в простейших практических

ситуациях и основные характеристики случайных величин;

− владение навыками использования готовых компьютерных программ при решении задач.

Практическое занятие №1

Выполнение действий с комплексными числами.

Будут уметь:

  • выполнять различные действия с комплексными числами в алгебраической форме

  • выполнять вычисления при решении задач практического характера.

Дидактический материал для выполнения практической работы:

Методические рекомендации для выполнения практических работ, тетрадь для практических работ, конспект лекций.

Задание:

Вариант 1.

  1. Найдите,,,, если =5+2i,=4-5i

  2. Найдите,, если ,

  3. Найдите,, если z=-1+i

Вариант2.

  1. Найдите,,,, если =6+7i,=2-5i

  2. Найдите,, если ,

  3. Найдите,, если z=1-i

Требования к отчету:

Отчет должен содержать решение заданий с указаниями на теоретические факты, использованные при решении.

Теоретические положения.

Комплексное число – это двумерное число. Оно имеет вид , где  и  – действительные числа,  – так называемая мнимая единица. Число  называется действительной частью  комплексного числа , число  называется мнимой частью  комплексного числа .

Сложение комплексных чисел

Для того чтобы сложить два комплексных числа нужно сложить их действительные и мнимые части:

Вычитание комплексных чисел

Действие аналогично сложению, единственная особенность состоит в том, что вычитаемое нужно взять в скобки, а затем – стандартно раскрыть эти скобки со сменой знака:

Умножение комплексных чисел

Найти произведение комплексных чисел  

Деление комплексных чисел

Деление чисел осуществляется методом умножения знаменателя и числителя на сопряженное знаменателю выражение.

Любое комплексное число (кроме нуля)  можно записать в тригонометрической форме:
, где  – это модуль комплексного числа, а  – аргумент комплексного числа.

Аргументом комплексного числа  называется угол  между положительной полуосью действительной оси  и радиус-вектором, проведенным из начала координат к соответствующей точке. Аргумент не определён для единственного числа: .

Если комплексное число представлено в тригонометрической форме , то при его возведении в натуральную степень  справедлива формула:

Уравнение вида  имеет ровно  корней , которые можно найти по формуле:
, где  – это модуль комплексного числа  – его аргумент, а параметр  принимает значения: 

Критерии оценки

Если практическая работа выполнена в полном объеме и правильно оформлена, то ставится оценка «5».Если практическая работа выполнена более чем на 80-89%, ставится оценка «4». Если практическая работа выполнена более чем на 70-79 %, ставится оценка «3». В противном случае работа не засчитывается.

Практическое занятие №2

Практико – ориентированные задачи по математике.

Будут уметь:

- решать практико-ориентированные задачи

Дидактический материал для выполнения практической работы:

Методические рекомендации для выполнения практических работ, тетрадь для практических работ, конспект лекций.

Задание:

 1.Какие измерения надо провести, чтобы определить, какую площадь  занимает ваш колледж: А) без дворового участка; Б) вместе с дворовым участком? 2.  Определить какая площадь отведена под газон, если известно, что   газоном занята десятая часть всего участка. 3.  Вычислить сколько грядок размером 1,2х15 м можно разбить на овощном  участке, если под грядки отведено 30%  от овощного участка? 4.  Сколько пачек семян цветов необходимо закупить для посева на  сделанных грядках, если известно, что под цветы отведено 25% всех грядок  (при норме 1г на 1м² ). 5.  Определить процент всхожести семян неоргин, если известно, что из 60  семян взошло 48. 6.  Определить какая площадь будет отведена под бархатцы, если они будут  посеяны по периметру всего цветника на ширину 0,5 м. 7.  Начертить план участка в масштабе 1:250. 8.  Размеры одного прямоугольного участка 22м и 30м, а другого ­32м и 20м.  Какой из них больше?

9.  Какую сторону имеет квадрат площадью:  а) 1 см2; б) 1 дм2; в) 1 м2; г) 1 а; д) 1 га?  10.   Расположите в порядке возрастания площади: 1 см2, 1 м2, 1 мм2, 1 км2, 1 дм2,

11. У прямоугольного участка земли ширина 25 м, а длина 60 м. Какова площадь  участка? Ответ выразите в сотках. 12. Поле имеет форму прямоугольника со сторонами 500 м и 380 м. Какова  площадь поля? Ответ выразите в гектарах. 16 13. Длина прямоугольного участка земли равна 420 м, а ширина на 100 м меньше. Чему равна площадь этого участка? Ответ выразите в сотках. 14. Площадь садового участка прямоугольной формы равна 6 а. Могут ли длины сторон этого участка принимать значения: а) 300 м и 300 м; б) 10 м и 60 м; в) 60 м и 60 м; г) 20 м и 30 м? 11.   15. На квадратном участке площадью 4 а высаживают яблони. Под каждую яблоню отводится круглый участок радиусом 2 м. Сколько яблонь можно высадить на этом участке?

Требования к отчету:

Отчет должен содержать решение заданий с указаниями на теоретические факты, использованные при решении.

Критерии оценки

Если практическая работа выполнена в полном объеме и правильно оформлена, то ставится оценка «5».Если практическая работа выполнена более чем на 80-89%, ставится оценка «4». Если практическая работа выполнена более чем на 70-79 %, ставится оценка «3». В противном случае работа не засчитывается.

Практическое занятие №3

Вычисление и преобразование выражений, содержащих корни

Будут уметь:

  • с помощью формул и свойств преобразовывать выражение содержащие корни и степени;

  • анализировать и сравнивать информацию.

  • Дидактический материал для выполнения практической работы:

  • Методические рекомендации для выполнения практических работ, тетрадь для практических работ, конспект лекций.

  • Задание:

Вариант 1.

1 вариант

Задание 1. Вычислить

а).

б) ;

в) ;

г)) ;

д)

Задание 2. Избавиться от иррациональности в знаменателе

а); б) ; в) ; г) д)

2 вариант

Задание 1. Вычислить

а).

б) ;

в) ;

г)) ;

д) .

Задание 2. Избавиться от иррациональности в знаменателе

а); б) ; в) ;г) ; д)

Требования к отчету:

Отчет должен содержать решение заданий с указаниями на теоретические факты, использованные при решении.

Теоретические положения.

Свойства корней.

Критерии оценки

Если практическая работа выполнена в полном объеме и правильно оформлена, то ставится оценка «5». Если практическая работа выполнена более чем на 80-89%, ставится оценка «4». Если практическая работа выполнена более чем на 70-79 %, ставится оценка «3». В противном случае работа не засчитывается

Практическое занятие №4

Преобразование рациональных, иррациональных, степенных выражений

Будут уметь:

  • находить значение выражений в степени с рациональным показателем;

  • выполнять несложные преобразования числовых выражений, содержащих степени чисел, либо корни из чисел;

  • осуществлять самоконтроль;

  • составлять план решения.

Дидактический материал для выполнения практической работы:

Методические рекомендации для выполнения практических работ, тетрадь для практических работ, конспект лекций.

Задание:

Вариант 1

1. Найти значение выражения:

а); б) в) г) д)

2. Представить в виде степени:

а) б) , в) г)

3. Сократить дробь:

4) Решите уравнение:

А)

Б)

Вариант 2

1. Найти значение выражения:

а), б) в) г) д)

2. Представить в виде степени:

а) б) в) г)

3. Сократить дробь:

а)

4) Решите уравнение:

А)

Б)

Требования к отчету:

Отчет должен содержать решение заданий с указаниями на теоретические факты, использованные при решении.

Теоретические положения.

Определение. Степенью числа a>0 с рациональным показателем ,  где m - целое число, аn - натуральное ( n>1), называется число , т.е.

Свойства степени с рациональным показателем.

Критерии оценки

Если практическая работа выполнена в полном объеме и правильно оформлена, то ставится оценка «5». Если практическая работа выполнена более чем на 80-89%, ставится оценка «4». Если практическая работа выполнена более чем на 70-79 %, ставится оценка «3». В противном случае работа не засчитывается.

Практическое занятие №5

Нахождение значений логарифма по произвольному основанию.

Будут уметь:

  • выполнять элементарные операции с логарифмами, используя свойства;

  • выдвигать версии решения проблемы.

Дидактический материал для выполнения практической работы:

Методические рекомендации для выполнения практических работ, тетрадь для практических работ, конспект лекций.

Задание:

Вариант 1

Вариант 2

Вычислите

Вычислите

Решите уравнения

Решите уравнения

Требования к отчету:

Отчет должен содержать решение заданий с указаниями на теоретические факты, использованные при решении.

Теоретические положения.

Опр.

Логарифмом числа b по основанию а, где а > 0 , а ≠ 1, называется показатель степени, в которую надо возвести число а, чтобы получить число b.

Примеры

1.

2.

Определение логарифма можно записать так . Его называют основным логарифмическим тождеством.

Определение. Десятичным логарифмом числа x называется логарифм этого числа по основанию 10 (пишут ). По-другому: = 

Определение. Натуральным логарифмом  числа x, называется логарифм этого числа по основанию e  (пишут )

Критерии оценки

Если практическая работа выполнена в полном объеме и правильно оформлена, то ставится оценка «5». Если практическая работа выполнена более чем на 80-89%, ставится оценка «4». Если практическая работа выполнена более чем на 70-79 %, ставится оценка «3». В противном случае работа не засчитывается.

Практическое занятие №6

Применение свойств при вычислении логарифмов

Будут уметь:

  • развитие способностей к самообразованию;

  • выполнять элементарные преобразования.

Дидактический материал для выполнения практической работы:

Методические рекомендации для выполнения практических работ, тетрадь для практических работ, конспект лекций.

Задание:

Вариант 1

Вариант 2

  1. (*)

(*)

Требования к отчету:

Отчет должен содержать решение заданий с указаниями на теоретические факты, использованные при решении.

Теоретические положения.

Свойства логарифмов:

1°     - основное логарифмическое тождество.

2°    

3°    

Логарифм единицы по любому положительному, отличному от 1, основанию равен нулю. Это возможно потому, что из любого действительного числа можно получить 1 только возведя его в нулевую степень.

4°     - логарифм произведения.

Логарифм произведения равен сумме логарифмов сомножителей.

5°     - логарифм частного.

Логарифм частного (дроби) равен разности логарифмов сомножителей.

6°     - логарифм степени.

Логарифм степени равен произведению показателя степени на логарифм ее основания.

7°    

8°    

9°     - переход к новому основанию.

Критерии оценки

Если практическая работа выполнена в полном объеме и правильно оформлена, то ставится оценка «5». Если практическая работа выполнена более чем на 80-89%, ставится оценка «4». Если практическая работа выполнена более чем на 70-79 %, ставится оценка «3». В противном случае работа не засчитывается.

Практическое занятие № 7.

Практико – ориентированные задачи по математике для специальности «Садово-парковое и ландшафтное строительство»

Будут уметь:

  • развитие способностей к самообразованию;

  • выполнять элементарные преобразования.

Дидактический материал для выполнения практической работы:

Методические рекомендации для выполнения практических работ, тетрадь для практических работ, конспект лекций.

Задание:

 1.Рассчитайте количество удобрения необходимого для клумбы, которая имеет форму квадрата со стороной 6 м, если на 1м 2 требуется 100г удобрения?

2. Рассчитайте количество цветочной рассады, если на 1 м2 рекомендуют высаживать 50 шт. бархатцев (формы клумб предложены на рис.)

3. Рассчитайте, какая должна быть длина и ширина дна прямоугольного ящика для рассады, если площадь дна 480 см2, 600 см2, 540 см2.

4.  Колония птиц может занимать площадь, равную 10 га. На 1 м2 там приходится по 3 гнезда. Сколько всего гнезд в такой колонии?

5  Расположите в порядке возрастания площади: 1 см2, 1 м2, 1 мм2, 1 км2, 1 дм2,  1 а, 1 га. Во сколько раз каждая последующая единица больше предыдущей?

Требования к отчету:

Отчет должен содержать решение заданий с указаниями на теоретические факты, использованные при решении.

Критерии оценки

Если практическая работа выполнена в полном объеме и правильно оформлена, то ставится оценка «5». Если практическая работа выполнена более чем на 80-89%, ставится оценка «4». Если практическая работа выполнена более чем на 70-79 %, ставится оценка «3». В противном случае работа не засчитывается.

Практическое занятие №8

Решение задач на параллельность прямых, прямой и плоскости в пространстве

Будут уметь:

  • определять взаимное расположение прямых в пространстве;

- составлять план решения

Дидактический материал для выполнения практической работы:

Методические рекомендации для выполнения практических работ, тетрадь для практических работ, конспект лекций.

Требования к отчету:

Отчет должен содержать решение заданий с указаниями на теоретические факты, использованные при решении.

Теоретические положения.

Определение.

2 прямые в пространстве называются параллельными, если они лежат в одной плоскости и не пересекаются.

Определение.

Две плоскости называются параллельными, если они не пересекаются

Определение.

Прямая и плоскость называются параллельными, если они не имеют общих точек.

Теорема

Если прямая, не принадлежащая плоскости, параллельна какой-нибудь прямой в этой плоскости, то она параллельна и самой плоскости.

Теорема

Если две пересекающиеся прямые одной плоскости соответственно параллельны двум пересекающимся прямым другой плоскости, то эти плоскости параллельны

Вариант 1

Вариант2

  1. 1. Точка В не лежит в плоскости АDC, точки M,N,P- середины отрезков BA,BC ,BD-

соответственно

а) докажите, что плоскость MNP параллельна плоскости ADC;

б) Найдите площадь ADC, если MN=6 см,MP=8 см,NP=10 см

№2.

3.Точка Р не лежит в плоскости треугольникаDKM точкиA,B,C – середины DP, PK, PM – соответственно. Выясните взаимное расположение прямых в пространстве

DK и AB, PB и KM, DM и BK, AC и DM, KM и AD

  1. Точка В не лежит в плоскости АDC, точки M,N,P- середины отрезков BA,BC ,BD-

соответственно

а) докажите, что плоскость MNP параллельна плоскости ADC;

б) Найдите площадь ADC, если MN=4 см,MP=2 см, NP=20 см

№2.

3.Точка Р не лежит в плоскости треугольникаDKM точкиA,B,C – середины DP, PK, PM – соответственно. Выясните взаимное расположение прямых в пространстве

PCиKM, DK и PM, DM и PB, BC и KM, CM и DP

Критерии оценки

Если практическая работа выполнена в полном объеме и правильно оформлена, то ставится оценка «5».Если практическая работа выполнена более чем на 80-89%, ставится оценка «4». Если практическая работа выполнена более чем на 70-79 %, ставится оценка «3». В противном случае работа не засчитывается.

Практическое занятие №9

Решение задач на применение основных теорем о параллельности прямых, прямой и плоскости, взаимное расположение прямых в пространстве.

Будут уметь:

  • определять взаимное расположение двух плоскостей, прямых в пространстве;

  • применять основные понятия стереометрии при решении задач;

составлять план решения

Дидактический материал для выполнения практической работы:

Методические рекомендации для выполнения практических работ, тетрадь для практических работ, конспект лекций.

Задание:

Вариант 1.

1) Треугольники АВС и АДС лежат в разных плоскостях и имеют общую сторону АС. Точка

Р – середина стороны АД, точка К – середина ДС.

а) Каково взаимное расположение прямых РК и АВ?

б) Чему равен угол между прямыми РК и АВ, если угол АВС равен 40º, а угол ВСА = 80º. Ответ обобщите.

2) Прямые а и в лежат в параллельных плоскостях. Могут ли эти прямые быть

а) параллельными б) скрещивающимися? Сделать рисунок для каждого возможного случая.

3) Точка В не лежит в плоскости ∆ АДС. Точки М, N и Р – середины отрезков ВА, ВС, ВД соответственно. а) Доказать, что плоскости (MNP) и (АДС) параллельны; б) Найдите площадь треугольника MNP, если S∆АДС = 48 см2 .

Вариант 2.

1) Основание трапеции АВСД лежит в плоскости α. Через точки В и С проведены параллельные прямые, пересекающие плоскость α в точках E и F соответственно.

1) Каково взаимное расположение EF и АВ?

2) Чему равен угол между прямыми EF и АВ, если угол АВС = 150º. Ответ обоснуйте.

2) Прямые а и в лежат в пересекающихся плоскостях α и β. Могут ли эти прямые быть

а) параллельными б) скрещивающимися? Сделать рисунок для каждого случая.

3) В тетраэдре ДАВС точки M, N и P – середины рёбер ДА, ДВ, ДС соответственно.

а) Доказать, что плоскости (MNP) и (АВС) параллельны.

б) Найти площадь ∆ АВС, если S∆MNP = 14 см2

Требования к отчету:

Отчет должен содержать решение заданий с указаниями на теоретические факты, использованные при решении.

Теоретические положения.

Теорема

Две прямые называются скрещивающимися,если одна из них лежит в плоскости, а другая пересекает эту плоскостьв точкене принадлежащей 1 прямой.

Определение.

2 прямые в пространстве называются параллельными, если они лежат в одной плоскости и не пересекаются.

Определение.

Две плоскости называются параллельными, если они не пересекаются

Определение.

Прямая и плоскость называются параллельными, если они не имеют общих точек.

Теорема

Если прямая, не принадлежащая плоскости, параллельна какой-нибудь прямой в этой плоскости, то она параллельна и самой плоскости.

Теорема

Если две пересекающиеся прямые одной плоскости соответственно параллельны двум пересекающимся прямым другой плоскости, то эти плоскости параллельны

Критерии оценки

Если практическая работа выполнена в полном объеме и правильно оформлена, то ставится оценка «5». Если практическая работа выполнена более чем на 80-89%, ставится оценка «4». Если практическая работа выполнена более чем на 70-79 %, ставится оценка «3». В противном случае работа не засчитывается.

Практическое занятие №10

Определение угла между прямой и плоскостью. Перпендикуляр и наклонная

Будут уметь:

- решать задачи с помощью теоремы о трех перпендикулярах;

- строить логические рассуждения.

Дидактический материал для выполнения практической работы:

Методические рекомендации для выполнения практических работ, тетрадь для практических работ, конспект лекций.

Задание:

Вариант 1

1. Дан тетраэдр МАВС, в котором МВ ВА. Доказать, что ∆МВД – прямоугольный, если Д – произвольная точка отрезка АС. Найти МД и площадь ∆МВД, если

МВ = ВД = а

2.Из точки М проведён перпендикуляр МД = 6 см к плоскости квадрата. Наклонная МО образует с плоскостью квадрата угол 60º. О – точка пересечения диагоналей. Доказать, что ∆МОД – прямоугольный. Найти площадь квадрата.

Вариант 2.

1. Четырёхугольник АВСД – квадрат, О – его центр. Прямая ОМ перпендикулярна плоскости квадрата. Доказать, что МА = МВ = МС = МД. Найдите МА, если АВ = 4 см, ОМ = 1 см.

2. Из точки М проведён перпендикуляр к плоскости ∆АВС. ВМ = 9 см, АС = 10 см,

ВС = ВА = 13 см. Найдите расстояние от точки М до прямой АС.

Требования к отчету:

Отчет должен содержать решение заданий с указаниями на теоретические факты, использованные при решении.

Теоретические положения.

Опр.

Две прямые в пространстве называются перпендикулярными, если угол между ними равен 90º.

Признак перпендикулярности прямой и плоскости

Если прямая перпендикулярна к двум пересекающимся прямым, лежащим в плоскости, то она перпендикулярна к этой плоскости.

В задачах часто используется теорема о 3-х перпендикулярах:

Прямая, проведённая в плоскости через основание наклонной перпендикулярно к её проекции на эту плоскость, перпендикулярна и к самой наклонной.

Обратная теорема

Прямая, проведённая в плоскости через основание наклонной перпендикулярно к ней, перпендикулярна и к её проекции.

Критерии оценки

Если практическая работа выполнена в полном объеме и правильно оформлена, то ставится оценка «5».Если практическая работа выполнена более чем на 80-89%, ставится оценка «4». Если практическая работа выполнена более чем на 70-79 %, ставится оценка «3». В противном случае работа не засчитывается.

Практическое занятие №11

Решение задач на перпендикулярность прямой и плоскости в пространстве

Будутуметь:

  • решать геометрические задачи, опираясь на изученные теоремы о перпендикулярности прямых, прямой и плоскости.

Дидактический материал для выполнения практической работы:

Методические рекомендации для выполнения практических работ, тетрадь для практических работ, конспект лекций.

Задание:

Вариант 1

№1. Через вершину В квадрата ABCD проведена прямая BF перпендикулярно его плоскости. Найдите расстояние от точки F до вершины C, если BF=8 см, сторона квадрата равна 4 см.

№2. Дан прямоугольник ABCD. Через вершину B проведена прямая BM перпендикулярно к его плоскости. НайдитеAD, если AM=5 см, MD=8см.

№3. Через точку О пересечения диагоналей квадрата со стороной 5 см проведена прямая ОК=6 см перпендикулярно к плоскости квадрата. Найдите расстояние от точки А до вершины квадрата

№4.ОтрезокAD перпендикулярен к плоскости равнобедренногоABC,AB=AC=5,BC=6,AD=12,AE-высотаABC. Найдите AE,DE,BD,DC

Вариант 2

№1. Через вершину В квадрата ABCD проведена прямая BF перпендикулярно его плоскости. Найдите расстояние от точки F до вершины A, если BF=8 см, сторона квадрата равна 4 см.

№2. Дан прямоугольник ABCD. Через вершину B проведена прямая BM перпендикулярно к его плоскости. НайдитеAD, если AM=3 см, MD=7см.

№3. Через точку О пересечения диагоналей квадрата со стороной 10 см проведена прямая ОК=5 см перпендикулярно к плоскости квадрата. Найдите расстояние от точки А до вершины квадрата.

№4.ОтрезокAD перпендикулярен к плоскости равнобедренногоABC,AB=AC=5,BC=6,AD=12,AE-высотаABC. Найдите AE,DE,BD,DC

Требования к отчету:

Отчет должен содержать решение заданий с указаниями на теоретические факты, использованные при решении.

Теоретические положения.

Опр.

Две прямые в пространстве называются перпендикулярными, если угол между ними равен 90º.

Признак перпендикулярности прямой и плоскости

Если прямая перпендикулярна к двум пересекающимся прямым, лежащим в плоскости, то она перпендикулярна к этой плоскости.

В задачах часто используется теорема о 3-х перпендикулярах:

Прямая, проведённая в плоскости через основание наклонной перпендикулярно к её проекции на эту плоскость, перпендикулярна и к самой наклонной.

Обратная теорема

Прямая, проведённая в плоскости через основание наклонной перпендикулярно к ней, перпендикулярна и к её проекции.

Критерии оценки

Если практическая работа выполнена в полном объеме и правильно оформлена, то ставится оценка «5».Если практическая работа выполнена более чем на 80-89%, ставится оценка «4». Если практическая работа выполнена более чем на 70-79 %, ставится оценка «3». В противном случае работа не засчитывается.

Практическое занятие №12

Решение задач на перпендикулярность двух плоскостей

Будутуметь:

  • решать геометрические задачи, опираясь на изученные теоремы о перпендикулярности двух плоскостей.

Дидактический материал для выполнения практической работы:

Методические рекомендации для выполнения практических работ, тетрадь для практических работ, конспект лекций.

Задание:

Вариант 1

Ф. И._________________________________________________________________группа________

1.ЗАКОНЧИТЕ УТВЕРЖДЕНИЕ

Две прямые в пространстве называются перпендикулярными, ________________________________________________________________________________.

Лемма. Если одна из двух параллельных прямых перпендикулярна к третьей прямой, то _________________________________________________________

Определение. Прямая называется перпендикулярной к плоскости, если __________________________________________________________________________________________________________________

Признак перпендикулярности прямой и плоскости.

Теорема. Если прямая перпендикулярна к двум пересекающимся прямым, лежащим в одной плоскости, то

_____________________________________________________________________

Определение. Двугранным углом называется фигура

_________________________________________________________________________________________________________________________________________________________________________________

Угол АОВ называется________________________________________

__________________________________________________________

Определение. Две пересекающиеся плоскости называются перпендикулярными, _____________________________________________________________________

Признак перпендикулярности двух плоскостей.

Если одна из двух плоскостей () проходит через прямую (а), перпендикулярную другой плоскости (), то _________________________________________________

2.Выполните тест

1. Дан куб. Определи, которая из данных в ответе прямых перпендикулярна названной плоскости?

 

а )плоскости (ABB) перпендикулярна

  • AB

  • AC

  • BD

  • AC1

  • BD1

  • B1C1

  • AA1

 

б) плоскости (BDD1) перпендикулярна

  • AB

  • BD

  • AC1

  • BD1

  • AC

  • AA1

  • B1C1

2. Какое из следующих утверждений неверно:

а) если прямая перпендикулярна к двум прямым, лежащим в плоскости, то она перпендикулярна и к этой плоскости, б) если прямая перпендикулярна к плоскости, то она ее пересекает, в) если две плоскости перпендикулярны к прямой, то они параллельны, г) если две прямые перпендикулярны к плоскости, то они параллельны, д) если одна из двух параллельных прямых перпендикулярна к плоскости, то и другая прямая перпендикулярна к этой плоскости.

3. Прямая а перпендикулярна к прямым с и в, лежащим в плоскости , прямая а перпендикулярна к плоскости . Каково взаимное расположение прямых с и в?

а) параллельны, б) пересекаются, в) параллельны или пересекаются, г) совпадают, д) определить нельзя.

4. Какое из следующих утверждений верно?

а) градусная мера двугранного угла не превосходит 90°, б) двугранным углом называется плоский угол, образованный прямой а и двумя полуплоскостями с общей границей а, в) если одна из двух плоскостей проходит через прямую, перпендикулярную к другой плоскости, то такие плоскости перпендикулярны, г) угол между плоскостями всегда тупой, д) все линейные углы двугранного угла различны.

3.Решите задачи:

Отрезок AD перпендикулярен к плоскости равнобедренного треугольника ABC. Известно, что АВ =АС = 5 см, ВС= 6 см, AD = 12 см. Найдите расстояния от концов отрезка AD до прямой ВС.

Ответ

Вариант 2

Ф. И._________________________________________________________________группа________

1.ЗАКОНЧИТЕ УТВЕРЖДЕНИЕ

Две прямые в пространстве называются перпендикулярными, ________________________________________________________________________________.

Лемма. Если одна из двух параллельных прямых перпендикулярна к третьей прямой, то _________________________________________________________

Определение. Прямая называется перпендикулярной к плоскости, если __________________________________________________________________________________________________________________

Признак перпендикулярности прямой и плоскости.

Теорема. Если прямая перпендикулярна к двум пересекающимся прямым, лежащим в одной плоскости, то

_____________________________________________________________________

Определение. Двугранным углом называется фигура

_________________________________________________________________________________________________________________________________________________________________________________

Угол АОВ называется________________________________________

__________________________________________________________

Определение. Две пересекающиеся плоскости называются перпендикулярными, _____________________________________________________________________

Признак перпендикулярности двух плоскостей.

Если одна из двух плоскостей () проходит через прямую (а), перпендикулярную другой плоскости (), то _________________________________________________

2.Выполните тест

1. Дан куб. Определи, которая из данных в ответе прямых перпендикулярна названной плоскости?

 

а )плоскости (ABB) перпендикулярна

  • AB

  • AC

  • BD

  • AC1

  • BD1

  • B1C1

  • AA1

 

б) плоскости (BDD1) перпендикулярна

  • AB

  • BD

  • AC1

  • BD1

  • AC

  • AA1

  • B1C1

2. Какое из следующих утверждений неверно:

а) если прямая перпендикулярна к двум прямым, лежащим в плоскости, то она перпендикулярна и к этой плоскости, б) если прямая перпендикулярна к плоскости, то она ее пересекает, в) если две плоскости перпендикулярны к прямой, то они параллельны, г) если две прямые перпендикулярны к плоскости, то они параллельны, д) если одна из двух параллельных прямых перпендикулярна к плоскости, то и другая прямая перпендикулярна к этой плоскости.

3. Прямая а перпендикулярна к прямым с и в, лежащим в плоскости , прямая а перпендикулярна к плоскости . Каково взаимное расположение прямых с и в?

а) параллельны, б) пересекаются, в) параллельны или пересекаются, г) совпадают, д) определить нельзя.

4. Какое из следующих утверждений верно?

а) градусная мера двугранного угла не превосходит 90°, б) двугранным углом называется плоский угол, образованный прямой а и двумя полуплоскостями с общей границей а, в) если одна из двух плоскостей проходит через прямую, перпендикулярную к другой плоскости, то такие плоскости перпендикулярны, г) угол между плоскостями всегда тупой, д) все линейные углы двугранного угла различны.

3.Решите задачи:

Требования к отчету:

Отчет должен содержать решение заданий с указаниями на теоретические факты, использованные при решении.

Критерии оценки

Если практическая работа выполнена в полном объеме и правильно оформлена, то ставится оценка «5».Если практическая работа выполнена более чем на 80-89%, ставится оценка «4». Если практическая работа выполнена более чем на 70-79 %, ставится оценка «3». В противном случае работа не засчитывается.

Практическое занятие №13

Параллельность и перпендикулярность прямых в ландшафтном дизайне.

Будутуметь:

  • решать геометрические задачи, опираясь на изученные по нахождению углов и расстояний в пространстве.

Дидактический материал для выполнения практической работы:

Методические рекомендации для выполнения практических работ, тетрадь для практических работ, конспект лекций.

Задание:

Задание:

1.Прямая РQ параллельна плоскости α (рис. 1). Через точки Р и Q проведены прямые, перпендикулярные к плоскости α, которые пересекают эту плоскость соответственно в точках Р1 и Q1. Докажите, что PQ = P1Q1.

Рис. 1

2.Через точки P и Q прямой PQ проведены прямые, перпендикулярные плоскости α и пересекающие ее соответственно в точках P1 и Q1.

Найдите P1Q1, если PQ = 15см, РР1= 21,5 см, QQ1= 33,5 см

Рис. 2

№3. Через точку О пересечения диагоналей квадрата со стороной 10 см проведена прямая ОК=5 см перпендикулярно к плоскости квадрата. Найдите расстояние от точки А до вершины квадрата.

№4.ОтрезокAD перпендикулярен к плоскости равнобедренногоABC,AB=AC=5,BC=6,AD=12,AE-высотаABC. Найдите AE,DE,BD,DC

№5. укажите на фото параллельные и перпендикулярные прямые

Требования к отчету:

Отчет должен содержать решение заданий с указаниями на теоретические факты, использованные при решении.

Критерии оценки

Если практическая работа выполнена в полном объеме и правильно оформлена, то ставится оценка «5».Если практическая работа выполнена более чем на 80-89%, ставится оценка «4». Если практическая работа выполнена более чем на 70-79 %, ставится оценка «3». В противном случае работа не засчитывается.

Практическое занятие №14

Действие с векторами в координатной форме

Будут уметь:

  • выполнять действия над векторами;

  • находить длину вектора;

  • самостоятельно ставить цели и задачи.

Дидактический материал для выполнения практической работы:

Методические рекомендации для выполнения практических работ, тетрадь для практических работ, конспект лекций.

Задание:

Вариант 1.

№1.

Точка М–середина ребра АВ, тетраэдра АВCD, у которого все рёбра равны по 4 см.

  1. Началом каких ненулевых векторов служит точка С?

  2. Концом каких ненулевых векторов служит точка С?

  3. Как называется и обозначается вектор с концом и началом в точке D? Как он обозначается? Чему равна его длина?

  4. Постройте векторы MA,MB,DM.

  5. Найдите длину вектора

№2. Даны точки А(4;0;-3),B(1;-2;-4),C(5;-8;3),D(4;2;-1).

Найти

А)

Б) ||

№3. Найдите периметр , если A(2;1;5),B(0;-4;2),C(3;2;7)

Вариант 2

№1

Точка М–середина ребра АВ, тетраэдра АВCD, у которого все рёбра равны по 6 см.

  1. Началом каких ненулевых векторов служит точка С?

  2. Концом каких ненулевых векторов служит точка С?

  3. Как называется и обозначается вектор с концом и началом в точке D? Как он обозначается? Чему равна его длина?

  4. Постройте векторы MA,MB,DM.

  5. Найдите длину вектора

№2.Даны точки А(2;0;-4), B(3;-1;-2),C(7;-3;1), D(6;8;-3).

Найти

А)

Б) ||

№3. Найдите периметр , если A(5;1;2),B(0;-3;2),C(7;2;3)

Требования к отчету:

Отчет должен содержать решение заданий с указаниями на теоретические факты, использованные при решении.

Теоретические положения:

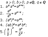
При решении задач в координатах применяют правила:

  1. Если вектор имеет координаты , то его можно разложить по координатным векторам

где - координатные векторы.

Пусть даны векторы и

  1. Если, то

3.

4.

5.

Вычисление координат середины отрезка

и - середина отрезка

Вычисление длины вектора по его координатам

Расстояние между двумя точками

Критерии оценки

Если практическая работа выполнена в полном объеме и правильно оформлена, то ставится оценка «5».Если практическая работа выполнена более чем на 80-89%, ставится оценка «4». Если практическая работа выполнена более чем на 70-79 %, ставится оценка «3». В противном случае работа не засчитывается.

Практическое занятие №15

Векторы в профессиональной деятельности.

Будутуметь:

-решать задачипрофессиональной направленности

Дидактический материал для выполнения практической работы:

Методические рекомендации для выполнения практических работ, тетрадь для практических работ, конспект лекций.

Задание:

№1. Клумба имеет форму прямоугольника вершины которого имеют координаты: А(1;6;8), В(-4;7;-9),С(9;3;8), D(-6;5;9). Найдите площадь клумбы.

№2. Клумба имеет форму треугольника, если A(9;1;5),B(0;-5;1),C(8;2;3). Найдите периметр клумбы.

Требования к отчету:

Отчет должен содержать решение заданий с указаниями на теоретические факты, использованные при решении.

Критерии оценки

Если практическая работа выполнена в полном объеме и правильно оформлена, то ставится оценка «5». Если практическая работа выполнена более чем на 80-89%, ставится оценка «4». Если практическая работа выполнена более чем на 70-79 %, ставится оценка «3». В противном случае работа не засчитывается.

Практическое занятие №16

Тригонометрические функции числового и углового аргумента. Формулы приведения.

Будутуметь:

  • определять значение синуса, косинуса, тангенса и котангенса конкретных углов с помощью формул приведения;

  • самостоятельно создавать алгоритмы деятельности при решении проблем поискового характера.

Дидактический материал для выполнения практической работы:

Методические рекомендации для выполнения практических работ, тетрадь для практических работ, конспект лекций.

Задание:

Вариант 1.

1.Найдите значения выражения:

2. Докажите тождества:

а);


3. Вычислить без помощи таблиц и калькулятора:

4. Упростите

Вариант 2

1.Найдите значения выражения:

;

2. Докажите тождества:

а);

3. Вычислить без помощи таблиц и калькулятора:

4.Упростите

Требования к отчету:

Отчет должен содержать решение заданий с указаниями на теоретические факты, использованные при решении.

Теоретические положения:

Формул приведения очень много. Запомнить их трудно – но самое главное, в этом нет необходимости. Достаточно запомнить одно-единственное правило – и  легко можно самостоятельно выводить формулы и упрощать выражения.

1. если под знаком преобразуемой тригонометрической функции содержится сумма аргументов вида π+t,π−t,2π+t,2π−t, то наименование тригонометрической функции следует сохранить;

2. если под знаком преобразуемой тригонометрической функции содержится сумма аргументов вида π2+t,π2−t,3π2+t,3π2−t, то наименование тригонометрической функции следует изменить (на родственное);

3. перед полученной функцией от аргумента t надо поставить тот знак, который имела бы преобразуемая функция при условии, что 0<t<π2.

Критерии оценки

Если практическая работа выполнена в полном объеме и правильно оформлена, то ставится оценка «5». Если практическая работа выполнена более чем на 80-89%, ставится оценка «4». Если практическая работа выполнена более чем на 70-79 %, ставится оценка «3». В противном случае работа не засчитывается.

Практическое занятие №17

Преобразование тригонометрических выражений, вычисление значений тригонометрических выражений.

Будутуметь:

– применять формулы для преобразования выражений;

  • строить логические рассуждения.

Дидактический материал для выполнения практической работы:

Методические рекомендации для выполнения практических работ, тетрадь для практических работ, конспект лекций.

Задание:

Вариант 1.

1.Найдитеsint,tgt,ctgt, если cost = и .

2.Упростите выражение:

А)

B)

3. Вычислите:

Вариант 2.

1.Найдитеsint,tgt,ctgt, если cost = и .

2.Упростите выражение:

А)

B)

3. Вычислите:

Требования к отчету:

Отчет должен содержать решение заданий с указаниями на теоретические факты, использованные при решении.

Теоретические положения

Основные тригонометрические тождества

  • sin² α + cos² α = 1

  • tg α · ctg α = 1

  • tgα = sin α ÷ cos α

  • ctgα = cos α ÷ sin α

  • 1 + tg² α = 1 ÷ cos² α

  • 1 + ctg² α = 1 ÷ sin² α

Критерии оценки

Если практическая работа выполнена в полном объеме и правильно оформлена, то ставится оценка «5». Если практическая работа выполнена более чем на 80-89%, ставится оценка «4». Если практическая работа выполнена более чем на 70-79 %, ставится оценка «3». В противном случае работа не засчитывается.

Практическое занятие №18

Преобразование тригонометрических выражений с помощью формул синуса, косинуса, тангенса суммы (разности) аргументов, формул двойного аргумента

Будут уметь:

– применять формулы для преобразования выражений;

  • строить логические рассуждения.

Дидактический материал для выполнения практической работы:

Методические рекомендации для выполнения практических работ, тетрадь для практических работ, конспект лекций.

Задание:

Вариант 1

Вариант 2

№1. Вычислите

А)

Б)

В)

№2.Зная, что ) найдите

№3. Вычислите

№4. Известно, что найдите

№5. Найти , если 

№6. Вычислить

А)cos б)

№1№1. Вычислите

А)

Б)

В)

№2.Зная, что ) найдите

№3. Вычислите

№4. Известно, что найдите

№5. Найти , если 

№6. Вычислить

А)cos б)

Требования к отчету:

Отчет должен содержать решение заданий с указаниями на теоретические факты, использованные при решении.

Теоретические положения:

Основная цель преобразования тригонометрических выражений - привести заданное выражение к такому виду, чтобы найти его решение было проще.

А средством для достижения этой цели - её "инструментом" - и являются формулы преобразования тригонометрических выражений,

sin(x+y)=sinxcosy+cosxsiny        

 

cos(x+y)=cosxcosy−sinxsiny    

sin(xy)=sinxcosycosxsiny

cos(xy)=cosxcosy+sinxsiny 

tg(α+β)=tgα+tgβ1−tgαtgβ  

 

   tg(αβ)=tgα−tgβ1+tgαtgβ 

Формулы двойного угла

  • cos 2α = cos² α - sin² α

  • cos 2α = 2cos² α - 1

  • cos 2α = 1 - 2sin² α

  • sin 2α = 2sin α · cos α

  • tg 2α = (2tg α) ÷ (1 - tg² α)

  • ctg 2α = (ctg² α - 1) ÷ (2ctg α)

Критерии оценки

Если практическая работа выполнена в полном объеме и правильно оформлена, то ставится оценка «5». Если практическая работа выполнена более чем на 80-89%, ставится оценка «4». Если практическая работа выполнена более чем на 70-79 %, ставится оценка «3». В противном случае работа не засчитывается.

Практическое занятие №19

Решение тригонометрических уравнений сost = a,sint=a

Будут уметь:

  • применять формулы для решения простейших уравнений вида cost = a; sint=a

  • анализировать собственную деятельность;

  • работать по заданному плану.

Дидактический материал для выполнения практической работы:

Методические рекомендации для выполнения практических работ, тетрадь для практических работ, конспект лекций.

Задание:

Вариант 1

№1. Вычислите

А)arcsin

Б)

В)arcsin

№2. Решите уравнения

А)
Б)

В)

Г)

Вариант 2

№1. Вычислите

А)arcsin

Б)

В)arcsin

№2. Решите уравнения

А)
Б)

В)

Г)

Требования к отчету:

Отчет должен содержать решение заданий с указаниями на теоретические факты, использованные при решении.

Теоретические положения:

Уравнения вида sinx = a , cosx = a , называются простейшими. Для них выведены формулы корней:

s in x = a

cos x=a

Критерии оценки

Если практическая работа выполнена в полном объеме и правильно оформлена, то ставится оценка «5». Если практическая работа выполнена более чем на 80-89%, ставится оценка «4». Если практическая работа выполнена более чем на 70-79 %, ставится оценка «3». В противном случае работа не засчитывается

Практическое занятие №20

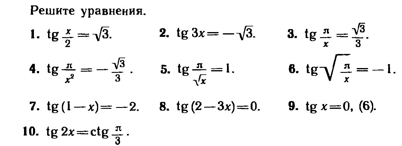
Решение тригонометрических уравнений tgx=a,ctgx=a.

Будут уметь:

  • применять формулы для решения вида tgt = a,ctgt=a.

  • анализировать собственную деятельность;

осуществлять самоконтроль

Дидактический материал для выполнения практической работы:

Методические рекомендации для выполнения практических работ, тетрадь для практических работ, конспект лекций.

Задание:

Требования к отчету:

Отчет должен содержать решение заданий с указаниями на теоретические факты, использованные при решении.

Теоретические положения

arctga (арктангенс a) — это такое число из отрезка (−π/2;π/2), тангенс которого равен a.

 

Говоря иначе:

arctga=xtgx=a,x(−π/2;π/2)

arctg(−a)=−arctga

Уравнение ctgx=a имеетрешения x=arcctga+πk,kZ

arcctga (арккотангенс a) — это такое число из отрезка (0;π), котангенс которого равен a.

 

Говоря иначе:

arcctga=x⇒ctgx=a,x∈(0;π)

arcctg(−a)=πarcctga

Критерии оценки

Если практическая работа выполнена в полном объеме и правильно оформлена, то ставится оценка «5». Если практическая работа выполнена более чем на 80-89%, ставится оценка «4». Если практическая работа выполнена более чем на 70-79 %, ставится оценка «3». В противном случае работа не засчитывается

Практическое занятие №21

Тригонометрия в специальности Садово-парковое и ландшафтное строительство

Будут уметь:

-Решать профессиональные задачи применяя тригонометрию

Дидактический материал для выполнения практической работы:

Методические рекомендации для выполнения практических работ, тетрадь для практических работ, конспект лекций.

Задание:

  1. Найдите площадь лужайки, имеющей форму треугольника, со сторонами 4м ,5 м и углом между ними

  2. Длина приставной лестницы не должна превышать 5м, угол наклона к земле 60 градусов. Запрещается работать стоя на ступеньке, находящейся на расстоянии меньше 1 м от верхнего края лестницы. Какой участок стены по высоте можно покрасить, не нарушая правил безопасности, применяя 5 метровую лестницу.

3.Решите ту же задачу, учитывая, что человек может наклонятся и спутиться ниже, для угла 45 градусов.

Критерии оценки

Если практическая работа выполнена в полном объеме и правильно оформлена, то ставится оценка «5». Если практическая работа выполнена более чем на 80-89%, ставится оценка «4». Если практическая работа выполнена более чем на 70-79 %, ставится оценка «3». В противном

Практическое занятие № 22.

Определение функций. Построение и чтение графиков функций. Исследование функции.

Будут уметь:

- исследовать функции;

- строить графики функций.

Дидактический материал для выполнения практической работы:

Методические рекомендации для выполнения практических работ, тетрадь для практических работ, конспект лекций.

Задание

Вариант 1.

1. Найти область определения функции: а) б)

2. Выяснить, является ли данная функция чётной или нечётной: у = х· sinx

3. Построить график функции, заданной : а) формулой

б) описанием: Д (f) = [1; 7] , f(7) = 1, f(x) = x2 при 1≤ x ≤ 2 , y = f(x) убывает на промежутке 2 < х ≤ 7

4. На рисунке жирными точками показана цена олова на момент закрытия биржевых торгов во все рабочие дни с 14 по 28 июля 2008 года. По горизонтали указываются числа месяца, по вертикали — цена тонны олова в долларах США. Для наглядности жирные точки на рисунке соединены линией. Определите по рисунку, какого числа цена олова на момент закрытия торгов была наименьшей за данный период.

Вариант 2

1.Найти область определения функции: а) б)

2. Выяснить, является ли данная функция чётной или нечётной: у = х + sinx

3. Построить график функции, заданной : а) формулой

б) описанием: Д (f) = [-3; 3] , Е(f) : f(x) < 0 , функция чётная, возрастает при х < 0, убывает при х ≥ 0

4. На рисунке жирными точками показана цена олова на момент закрытия биржевых торгов во все рабочие дни с 3 по 18 сентября 2007 года. По горизонтали указываются числа месяца, по вертикали — цена тонны олова в долларах США. Для наглядности жирные точки на рисунке соединены линией. Определите по рисунку наибольшую цену олова на момент закрытия торгов в указанный период (в долларах США за тонну).

Требования к отчету:

Отчет должен содержать решение заданий с указаниями на теоретические факты, использованные при решении.

Теоретические положения:

Опр.

Областью определения функции называют множество всех значений, которые может принимать её аргумент ( переменная х)

Опр.

Если функция задана формулой, то принято считать, что она определена при всех тех значениях аргумента, при которых эта формула имеет смысл, т.е выполнимы все действия, указанные в выражении, стоящем в правой части формулы.

Опр.

Множеством значений функции называется множество всех значений, которые принимает функция ( переменная у)

Опр.

Функция называется чётной, если для всех выполняется равенство

Опр.

Функция называется нечётной, если для всех выполняется равенство

Опр.

Функция у = f(x) называется периодической, если существует такое число Т ≠ 0, что для любого х из области определения этой функции выполняется равенство f(x-Т ) = f (x ) = f ( x + Т ). Число Т называется периодом функции f(x).

Числовой функцией называется такое соответствие между числовым множеством Х и множеством Rдействительных чисел, при котором каждому числу из множества Х сопоставляется единственное число из множества R. Множество Х называют областью определения функции. Функции обозначают буквами f, g, h и др. Если – функция, заданная на множестве Х, то действительное число у, соответствующее числу х их множества Х, часто обозначают f(x) и пишут 
у = f(x).Переменную х при этом называют аргументом. Множество чисел вида f(x) называют областью значений функции.

1. Функция называется монотонной на некотором промежутке А, если она на этом промежутке возрастает или убывает

2. Функция называется возрастающейна некотором промежутке А, если для любых чисел  их множества А выполняется условие:  .

График возрастающей функции обладает особенностью: при движении вдоль оси абсцисс слева направо по промежутку Аординаты точек графика увеличиваются (рис. 4).

3. Функция называется убывающейна некотором промежутке А, если для любых чисел их множества А выполняется условие:  .

График убывающей функции обладает особенностью: при движении вдоль оси абсцисс слева направо по промежутку А ординаты точек графика уменьшаются (рис. 4). 

4. Функция называется четнойна некотором множестве Х, если выполняется условие:  .

График четной функции симметричен относительно оси ординат (рис. 2).

5. Функция называется нечетнойна некотором множестве Х, если выполняется условие:  .

График нечетной функции симметричен относительно начала координат. 

 7. Если функция у = f(x) определена на множестве Х и существует такое  , что для любого  справедливо неравенствоf(x)  f(x  ),то говорят, что функция у = f(x)принимает наибольшее значение у  = f(x  ) при х = x  (рис. 4, функция не имеет наибольшего и наименьшего значений).

Если для данной функции у = f(x) изучены все перечисленные свойства, то говорят, что проведено исследование функции.

Критерии оценки

Если практическая работа выполнена в полном объеме и правильно оформлена, то ставится оценка «5». Если практическая работа выполнена более чем на 80-89%, ставится оценка «4». Если практическая работа выполнена более чем на 70-79 %, ставится оценка «3». В противном случае работа не засчитывается

Практическое занятие №23

Преобразование и построение графиков функции.

Будут уметь:

  • строить графики функций и применять свойства для решения упражнений;

  • развивать навыки представления о математике как универсальном языке.

Дидактический материал для выполнения практической работы:

Методические рекомендации для выполнения практических работ, тетрадь для практических работ, конспект лекций.

Задание:

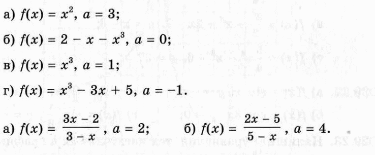
Задание 1. Постройте график линейной функции, определите, проходит ли график функции через указанную точку:

  1. , А(42 ;26)

  2. , В(42;19)

  3. . С(-33;6)

Задание 2. Постройте график квадратичной функции, укажите множество значений данной функции.

Задание 3. Постройте график функции, определите, возрастает или убывает указанная функция.

Задание 4. Постройте график функции, ответьте на вопрос задачи.

  1. , укажите наименьшее значение функции.

  2. , укажите наименьшее значение функции.

  3. , укажите наименьшее значение функции.

Задание 5. Постройте график функции, содержащей знак модуля.

Задачи на дополнительную оценку.

Задание 6. Постройте график функции, заданной кусочно, определите, есть ли точка разрыва у данной функции:

Требования к отчету:

Отчет должен содержать решение заданий с указаниями на теоретические факты, использованные при решении.

Теоретические положения:

Преобразования

y = f(x - b)

Параллельный перенос графика вдоль оси абсцисс на | b | единиц

  • вправо, если b > 0;

  • влево, если b < 0.

y = f(x + b)

  • влево, если b > 0;

  • вправо, если b < 0.

y = f(x) + m

Параллельный перенос графика вдоль оси ординат на | m | единиц

  • вверх, если m > 0,

  • вниз, если m < 0.

Отражение графика

y = f( - x)

Симметричное отражение графика относительно осиординат.

y = - f(x)

Симметричное отражение графика относительно осиабсцисс.

Сжатие и растяжение графика

y = f(kx)

  • При k > 1 — сжатие графика к оси ординат в k раз,

  • при 0 < k < 1 — растяжение графика от оси ординат в k раз.

y = kf(x)

  • При k > 1 — растяжение графика от оси абсцисс в k раз,

  • при 0 < k < 1 — cжатие графика к оси абсцисс в k раз.

Преобразования графика с модулем

y = | f(x) |

  • При f(x) > 0 — график остаётся без изменений,

  • при f(x) < 0 — график симметрично отражается относительно оси абсцисс.

y = f( | x | )

  • Приx≥0x≥0 — график остаётся без изменений,

  • при x < 0 — график симметрично отражается относительно оси ординат.

Критерии оценки

Если практическая работа выполнена в полном объеме и правильно оформлена, то ставится оценка «5». Если практическая работа выполнена более чем на 80-89%, ставится оценка «4». Если практическая работа выполнена более чем на 70-79 %, ставится оценка «3». В противном случае работа не засчитывается

Практическое занятие №24

Построение графиков степенной функции. Решение уравнений графическим методом

Будут уметь:

  • выполнять построения степенной функций, анализировать ее;

  • решать графически уравнения;

  • самостоятельно создавать алгоритмы деятельности при решении заданий.

Дидактический материал для выполнения практической работы:

Методические рекомендации для выполнения практических работ, тетрадь для практических работ, конспект лекций.

Задание:

№1. Построите графики функций

№2. Решите графически уравнения

Требования к отчету:

Отчет должен содержать решение заданий с указаниями на теоретические факты, использованные при решении.

Теоретические положения:

Критерии оценки

Если практическая работа выполнена в полном объеме и правильно оформлена, то ставится оценка «5». Если практическая работа выполнена более чем на 80-89%, ставится оценка «4». Если практическая работа выполнена более чем на 70-79 %, ставится оценка «3». В противном случае работа не засчитывается

Практическое занятие №25

Построение графиков показательной функции. Решение уравнений графическим методом

Будут уметь:

  • выполнять построения показательной функций, анализировать ее;

  • решать графически уравнения;

  • самостоятельно создавать алгоритмы деятельности при решении заданий.

Дидактический материал для выполнения практической работы:

Методические рекомендации для выполнения практических работ, тетрадь для практических работ, конспект лекций.

Задание:

Вариант 1

Вариант 2

№1. Постройте графики функций

№2.Решите графически уравнения

№3. Постройте график функций

2. Постройте графики функций

№2.Решите графически уравнения

№3. Постройте график функций

Требования к отчету:

Отчет должен содержать решение заданий с указаниями на теоретические факты, использованные при решении.

Теоретические положения:

Функцию вида y=ax, где а>0, a≠1, х – любое число, называют показательной функцией.

график функции y=2x

график функции y=(1/2)x

Критерии оценки

Если практическая работа выполнена в полном объеме и правильно оформлена, то ставится оценка «5». Если практическая работа выполнена более чем на 80-89%, ставится оценка «4». Если практическая работа выполнена более чем на 70-79 %, ставится оценка «3». В противном случае работа не засчитывается

Практическое занятие №26

Построение графиков логарифмической функции. Решение уравнений графическим методом.

Будут уметь:

  • выполнять построения логарифмической функций, анализировать ее;

  • решать графически уравнения;

  • самостоятельно создавать алгоритмы деятельности при решении заданий.

Дидактический материал для выполнения практической работы:

Методические рекомендации для выполнения практических работ, тетрадь для практических работ, конспект лекций.

Задание:

Вариант1

Вариант2

  1. Постройте графики функций

А)x-4

Б)

В)

Г)

Д)

Постройте графики функций

А)x-1

Б)

В)

Г)

Д)

Требования к отчету:

Отчет должен содержать решение заданий с указаниями на теоретические факты, использованные при решении.

Теоретические положения:

График функции у = loga x может быть получен из графика функции у = ах с помощью преобразования симметрии относительно прямой у = х. На рисунке а построен график логарифмической функции для а > 1, а на рисунке б - для 0 < a < 1.

Критерии оценки

Если практическая работа выполнена в полном объеме и правильно оформлена, то ставится оценка «5». Если практическая работа выполнена более чем на 80-89%, ставится оценка «4». Если практическая работа выполнена более чем на 70-79 %, ставится оценка «3». В противном случае работа не засчитывается

Практическое занятие №27

Преобразование графиков тригонометрических функций с помощью преобразований

Будут уметь:

  • преобразовывать графики функций;

  • работать по заданному плану.

Дидактический материал для выполнения практической работы:

Методические рекомендации для выполнения практических работ, тетрадь для практических работ, конспект лекций.

Задание:

ВАРИАНТ 1

ВАРИАНТ 2

Постройте графики функций

1))

2)

3)

4)

5)

6)

Постройте графики функций

1))

2)

3)

4)

5)

6)

Требования к отчету:

Отчет должен содержать решение заданий с указаниями на теоретические факты, использованные при решении.

Теоретические положения:

Правило: чтобы построить график функции , где , нужно график функции сжать к осивраз.

Пример

Построить график функции .

Сначала изобразим график синуса, его период равен :

Мысленно возьмём синусоиду в руки и сожмём её к осив 2 раза:

То есть, график функции получается путём сжатия графика к оси ординат в два раза. Логично, что период итоговой функции тоже уполовинился:

Растяжение графика функции от оси ординат

Правило: чтобы построить график функции , где , нужно график функции растянуть от осивраз.

Пример

Построить график функции


И растягиваем её от осив 2 раза:

То есть, график функции получается путём растяжения графика от оси ординат в два раза. Период итоговой функции увеличивается в 2 раза:

Правило: чтобы построить график функции , где , нужно график функции  растянуть вдоль оси в раз.

2) Если ФУНКЦИЯ умножается на число , то происходит сжатие её графика вдоль оси ординат.

Правило: чтобы построить график функции , где , нужно график функции  сжать вдоль оси в  раз.

Пример

Построить графики функций .

Берём синусоиду за макушку/пятки:

Ивытягиваем её вдоль оси  в 2 раза:

Период функции  не изменился и составляет , а вот значения (все, кроме нулевых) увеличились по модулю в два раза

Критерии оценки

Если практическая работа выполнена в полном объеме и правильно оформлена, то ставится оценка «5». Если практическая работа выполнена более чем на 80-89%, ставится оценка «4». Если практическая работа выполнена более чем на 70-79 %, ставится оценка «3». В противном случае работа не засчитывается

Практическое занятие №28

Описание производственных процессов с помощью графиков функций.

Будутуметь:

- описывать производственные процессы с помощью функций

Дидактический материал для выполнения практической работы:

Методические рекомендации для выполнения практических работ, тетрадь для практических работ, конспект лекций.

Задание:

  1. На складе было 30 т удобрений. Ежедневно на склад привозили ещё по 4т. Выразить формулой зависимость количества удобрений (в тоннах), находящегося на складе, от времени (в днях)

  2. Поезд двигался равномерно 8 часов со скоростью 50 километров в час. Какой путь прошел поезд за это время. Постройте график зависимости пройденного пути от времени.

3. Зависимость расстояния до места удара молнии от времени между вспышкой молнии и ударом грома - линейная.

Расстояние S до места удара молнии можно приближённо вычислить по формуле S=300t, где t - количество секунд, прошедших между вспышкой молнии и ударом грома.

Определите, на каком расстоянии находится наблюдатель, если время, прошедшее между вспышкой молнии и ударом грома 18 секунд. Ответ можно увидеть на графике:

4. Зависимость объёма тела от температуры v = vо(1+bt) – объёмное расширение твёрдых тел.

Какова была первоначальная температура воздуха, если при нагревании на 3 градуса его обьём увеличился на 1% от первоначального.

Критерии оценки

Если практическая работа выполнена в полном объеме и правильно оформлена, то ставится оценка «5». Если практическая работа выполнена более чем на 80-89%, ставится оценка «4». Если практическая работа выполнена более чем на 70-79 %, ставится оценка «3». В противном случае работа не засчитывается

Практическое занятие №29

Описание производственных процессов с помощью графиков функций.

Будутуметь:

- описывать производственные процессы с помощью функций

Дидактический материал для выполнения практической работы:

Методические рекомендации для выполнения практических работ, тетрадь для практических работ, конспект лекций.

Задание:

1.Одна сторона прямоугольной площадки равна X, другая – на 3 м больше. Выразите через X периметр P и площадь S этого прямоугольника. Найдите значение каждой функции P(X) и S(X) при X=6. При каком значении X периметр будет равен 46 м.

2. Составьте ежемесячный расчет оплаты за свет по квитанции. Х – количество потребляемой энергии за месяц 2,57 руб. – стоимость 1кВт. У – стоимость потребляемой энергии за месяц, которая находится по формуле  у = 2,57х

3. Скорость распространения звука в воздухе в зависимости от температуры может быть найдена по формуле: v=331+0,6t, v – скорость в м/с, t – температура в градусах Цельсия.

4

Критерии оценки

Если практическая работа выполнена в полном объеме и правильно оформлена, то ставится оценка «5». Если практическая работа выполнена более чем на 80-89%, ставится оценка «4». Если практическая работа выполнена более чем на 70-79 %, ставится оценка «3». В противном случае работа не засчитывается

Практическое занятие №30

Решение рациональных, иррациональных уравнений

Будут уметь:

-решать рациональные, иррациональные уравнения.

Дидактический материал для выполнения практической работы:

Методические рекомендации для выполнения практических работ, тетрадь для практических работ, конспект лекций.

Задание

1 вариант

№1. Решите уравнения

  1. 2+3х-5=0,

  2. ,

  3. х2+2х=0,

  4. 21х2-5х+1=0,

№2. Решите уравнения

1)

2 вариант

  1. 2+5х-2=0,

  2. 3х-х2=0,

4) х2+25=0

5)

№2. Решите уравнения

Требования к отчету:

Отчет должен содержать решение заданий с указаниями на теоретические факты, использованные при решении.

Теоретические положения:

Для решения рационального уравнения используем последовательно знания следующих свойств:

  • Стандартные приемы: раскрытие скобок.

  • Методы решения уравнений: введение новой переменной.

  • Правила преобразования уравнений.

  • Решение квадратного уравнения.

Уравнение, которые можно свести к дроби  f(x)/g(x)=0, называется дробно рациональным уравнением. Если уравнение имеет несколько слагаемых, то переносим их по одну сторону знака равенства и сводим к общему знаменателю. В результате получим дробную функцию f(x)/g(x), которая равна нулю

Следующим шагом находим корни числителя. Отвергаем среди них те, которые не принадлежат области допустимых значений (нули знаменателя) и записываем правильный ответ.

      Иррациональным называется уравнение, в котором неизвестное (переменная) содержится под знаком корня или под знаком операции возведения в рациональную (дробную) степень.

        Для решения иррациональных уравнений обычно используются следующие приемы:

1) «уединение» корня в одной из частей уравнения и возведение в соответствующую степень;

2) введение новой переменной;

3) сведение к системе уравнений;

4) применение свойств функций, входящих в уравнение.

       Следует помнить, что при решении иррациональных уравнений необходима проверка всех найденных корней путем их подстановки в исходное уравнение или нахождение ОДЗ и следующий анализ корней (при решении методом приведения к равносильной смешанной системе уравнений и неравенств необходимость в этом отпадает).

Критерии оценки

Если практическая работа выполнена в полном объеме и правильно оформлена, то ставится оценка «5». Если практическая работа выполнена более чем на 80-89%, ставится оценка «4». Если практическая работа выполнена более чем на 70-79 %, ставится оценка «3». В противном случае работа не засчитывается

Практическое занятие №31

Решение показательных уравнений

Будут уметь:

  • решать показательные уравнения;

  • выводить следствия из условия;

  • строить логические рассуждения.

Дидактический материал для выполнения практической работы:

Методические рекомендации для выполнения практических работ, тетрадь для практических работ, конспект лекций.

Задание:

1 вариант

2 вариант

№1 Решите уравнения

Требования к отчету:

Отчет должен содержать решение заданий с указаниями на теоретические факты, использованные при решении.

Теоретические положения:

Опред.  Показательное уравнение – это уравнение, в котором неизвестное содержится в показателе степени.

Простейшее показательное уравнение имеет вид: aх=b, где а>0 a≠1.

Наличие корней показательного уравнения зависит от числа b. А именно:

  1. если b<0 или b=0, уравнение не имеет корней; 2) если b>0, уравнение имеет единственный корень.

Основные способы решения показательных уравнений:

  • Уравнивание оснований

  • Вынесение общего множителя за скобку

  • Введение вспомогательной переменной

  • Критерии оценки

  • Если практическая работа выполнена в полном объеме и правильно оформлена, то ставится оценка «5». Если практическая работа выполнена более чем на 80-89%, ставится оценка «4». Если практическая работа выполнена более чем на 70-79 %, ставится оценка «3».

Практическое занятие №32

Решение логарифмических уравнений

Будут уметь:

  • решать логарифмические уравнения;

  • выводить следствия из условия;

строить логические рассуждения

Дидактический материал для выполнения практической работы:

Методические рекомендации для выполнения практических работ, тетрадь для практических работ, конспект лекций.

Задание:

1 вариант

2 вариант

№1 Решите уравнения

Требования к отчету:

Отчет должен содержать решение заданий с указаниями на теоретические факты, использованные при решении.

Теоретические положения:

Определение.Логарифмическими уравнениями называют уравнения вида

log f(x) = log g(x),

где а – положительное число, отличное от 1, и уравнения, сводящиеся к этому виду.

Если f(x) > 0 и g(x) > 0, то логарифмическое уравнение log а f(x) = log а g(x),

 где а > 0, а = 1 (1),  равносильно уравнению  f(x) = g(x) (2)

На практике эту теорему применяют так:

  • переходят от уравнения (1) к уравнению (2). Такой переход называют потенцированием.

  • решают уравнение f(x) = g(x).

  • проверяют его корни по условиям f(x) > 0 и g(x) > 0, определяющим область допустимых значений переменной (ОДЗ). Те корни уравнения f(x) = g(x), которые удовлетворяют этим условиям, являются корнями данного уравнения. Те корни уравнения f(x) = g(x), которые не удовлетворяют хотя бы одному из этих условий, объявляются посторонними корнями для данного уравнения.

попытаться решить уравнение сначала относительно введённой неизвестной, а затем уже

Критерии оценки

Если практическая работа выполнена в полном объеме и правильно оформлена, то ставится оценка «5». Если практическая работа выполнена более чем на 80-89%, ставится оценка «4». Если практическая работа выполнена более чем на 70-79 %, ставится оценка «3».

Практическое занятие №34

Решение рациональных и иррациональных неравенств

Будут уметь:

  • решать рациональные неравенства;

  • выбирать наиболее эффективные способы решения задачи.

Дидактический материал для выполнения практической работы:

Методические рекомендации для выполнения практических работ, тетрадь для практических работ, конспект лекций.

Задание:

Вариант 1.

Решите неравенства

2)2+5х-2

3)

4) 5)

№2.Решите неравенства

1)

2)

3)

Вариант 2

Решите неравенства

2)

3)

4) 5)

№2.Решите неравенства

1)

2)

Требования к отчету:

Отчет должен содержать решение заданий с указаниями на теоретические факты, использованные при решении.

Теоретические положения: Свойства числовых неравенств.
    1. Если а > b , то b < а; наоборот, если а < b, то b > а.
    2. Если а > b и b > c, то а > c. Точно так же, если а < b и b < c, то а < c.

3. Если а > b, то а + c > b+ c (и  а – c > b – c). Если же а < b, то а + c < b+ c (и а – c < b – c). Т. е. к обеим частям неравенства можно прибавлять (или из них вычесть) одну и ту же величину.

4. Если а > b и c > d, то а + c > b + d; точно так же, если а < b и c < d, то а + c < b + d, т. е. два неравенства одинакового смысла можно почленно складывать.
Замечание. Два неравенства одинакового смысла нельзя почленно вычитать друг из друга, так как результат может быть верным, но может быть и неверным

5. Если а > b и c < d, то а – c > b – d; если а < b и c > d, то а – c < b – d, т.е. из одного неравенства можно почленно вычесть другое неравенство противоположного смысла, оставляя знак того неравенства, из которого вычиталось другое.
    6. Если а > b и m – положительное число, то m а > m b и  ,

т.е. обе части неравенства можно умножить или разделить на одно и то же положительное число (знак неравенства остаётся тем же).
    Если же а > b и n – отрицательное число, то n а < n b и , т.е. обе части неравенства можно умножить или разделить на одно и то же отрицательное число, но при этом знак неравенства нужно переменить на противоположный.
    7. Если а > b и c > d , где а, b, c, d > 0, то а c > b d и если а < b и c < d, где а, b, c, d > 0, то аc < bd, т.е. неравенства одного смысла на множестве положительных чисел можно почленно перемножать. Следствие. Если а > b, где а, b > 0, то а2 > b2, и если а < b, то а2 < b2, т.е. на множестве положительных чисел обе части неравенства можно возводить в квадрат.

    8. Если а > b, где а, b > 0, то  и если а < b , то .

Иррациональными неравенствами называются, в которых переменные или рациональные функции переменных находятся под знаками корней.

При решении таких неравенств используют следующее утверждение: если обе части принимают только неотрицательные значения, то возведя обе части неравенства в квадрат, сохранив знак исходного неравенства, получим неравенство равносильное данному.

Критерии оценки

Если практическая работа выполнена в полном объеме и правильно оформлена, то ставится оценка «5». Если практическая работа выполнена более чем на 80-89%, ставится оценка «4». Если практическая работа выполнена более чем на 70-79 %, ставится оценка «3».

Практическое занятие №34

Решение показательных и логарифмических неравенств

Будут уметь:

  • решать показательные и логарифмические неравенства;

  • оценивать достигнутый результат.

Дидактический материал для выполнения практической работы:

Методические рекомендации для выполнения практических работ, тетрадь для практических работ, конспект лекций.

Задания

Вариант 1.

№1. Решите неравенства

1)

2)

3)

4)

5)

6)(

№2. Решите неравенства

  1. .

  2. .

Вариант 2.

1)

2)

3)

4)

5)

6)(

№2. Решите неравенства

Требования к отчету:

Отчет должен содержать решение заданий с указаниями на теоретические факты, использованные при решении.

Теоретические положения:

Показательные неравенства

Функцию вида y = ax, где a > 0 и a ≠ 1, называют показательной функцией.

При решении показательных неравенств используются следующие утверждения:

A.1. Если a > 1, неравенство

a f(x) > a g(x)

равносильно неравенству

f(x) > g(x).

Аналогично,   a f(x) < a g(x) f(x) < g(x).

A.2. Если 0 < a < 1, неравенство

a f(x) > a g(x)

равносильно неравенству

f(x) < g(x).

Аналогично,   a f(x) < a g(x)  f(x) > g(x).

A.3. Неравенство

[h(x)] f(x) > [h(x)] g(x)

(1)

равносильно совокупности систем неравенств

h(x) > 1,

f(x) > g(x),

0 < h(x) < 1,

f(x) < g(x).

Замечание. Если знак неравенства (1) нестрогий, дополнительно рассматривается и случай

h(x) = 1,

 D(f) D(g),

где D(f) (D(g)) означает область определения функции f (g).

A.4. Если b ≥ 0, неравенство

af(x) < b

не имеет решений (следует из свойств показательной функции).

A.5. Если b ≤ 0, множеством решений неравенства af(x) > b является x D(f).

A.6. Если a > 1, b > 0, неравенство

af(x) > b

равносильно неравенству

f(x) > logab.

Аналогично,   a f(x) < b  f(x) < logab.

A.7. Если 0 < a < 1, b > 0, неравенство

a f(x) > b

равносильно неравенству

f(x) < logab.

Аналогично, a f(x) < b  f(x) > logab.

Неравенство, содержащее неизвестное под знаком логарифма или (и) в его основании называется логарифмическим неравенством.

В процессе решения логарифмических неравенств часто используются следующие утверждения относительно равносильности неравенств и учитываются свойства монотонности логарифмической функции.

Утверждение 1. Если a > 1, то неравенство loga f(x) > loga g(x) равносильно системе неравенств

f(x) > g(x),

g(x) > 0.

Утверждение 2. Если 0 < a < 1, то неравенство loga f(x) > loga g(x) равносильно системе неравенств

f(x) < g(x),

f(x) > 0.

Утверждение 3. Неравенство logh(x) f(x) > logh(x) g(x) равносильно совокупности систем неравенств

h(x) > 1,

f(x) > g(x) > 0,

0 < h(x) < 1,

0 < f(x) < g(x).

Подчеркнем, что в неравенстве loga f(x) > loga g(x) вместо знака > может фигурировать любой из знаков ≥ , < , ≤ .

В этом случае утверждения 1-3 соответственно преобразуются.

Критерии оценки

Если практическая работа выполнена в полном объеме и правильно оформлена, то ставится оценка «5». Если практическая работа выполнена более чем на 80-89%, ставится оценка «4». Если практическая работа выполнена более чем на 70-79 %, ставится оценка «3».

Практическое занятие №35.

Решение систем уравнений и неравенств

Будутуметь:

  • решать различные системы уравнений и неравенств.

Дидактический материал для выполнения практической работы:

Методические рекомендации для выполнения практических работ, тетрадь для практических работ, конспект лекций.

Задания:

Вариант 1

Вариант 2

№1.(1;4) является решением системы?

№2. Решите систему неравенств?

№3. Сколько решений имеет система

№5. Сколько решений имеет система

№6. Решите систему любым способом:

А)

Б)

№1.(3;-2) является решением системы?

№2. Решите систему неравенств?

№3. Сколько решений имеет система

№5.Сколько решений имеет система

№6.Решите систему любым способом:

А)

Б)

Требования к отчету:

Отчет должен содержать решение заданий с указаниями на теоретические факты, использованные при решении.

Теоретические положения:

Основные методы решения систем уравнений:

  1. Метод подстановки: из какого-либо уравнения системы выражаем одно неизвестное через другое и подставляем во второе уравнение системы.

  2. Метод алгебраического сложения: путем сложения двух уравнений получить уравнение с одной переменной.

  3. Метод введения новых переменных: ищем в системе некоторые повторяющиеся выражения, которые обозначим новыми переменными, тем самым упрощая вид системы.

  4. Графический метод.

Критерии оценки

Если практическая работа выполнена в полном объеме и правильно оформлена, то ставится оценка «5». Если практическая работа выполнена более чем на 80-89%, ставится оценка «4». Если практическая работа выполнена более чем на 70-79 %, ставится оценка «3».

Практическое занятие №36.

Уравнения и неравенства в профессиональных задачах.

Будутуметь:

- решать задачи с помощью уравнений.

Дидактический материал для выполнения практической работы:

Методические рекомендации для выполнения практических работ, тетрадь для практических работ, конспект лекций.

Задания

1.Два дизайнера выполнили вместе некоторую работу за 12 ч. Если бы сначала первый дизайнер сделал половину этой работы, а затем другой остальную часть, то вся работа была бы выполнена за 25 ч. За какое время мог бы выполнить эту работу каждый рабочий в отдельности?

2.Два дизайнера выполняют некоторую работу. Если первый дизайнерпроработает 2 часа, а затем они вместе будут работать 3 часа, то выполнят 75 % всей работы. Какие значения может принимать время выполнения всей работы двумя дизайнерами вместе?

3.В понедельник акции компании подорожали на некоторое число процентов, а во вторник подешевели на то же самое число процентов. В результате они стали стоить на 4% дешевле, чем при открытии торгов в понедельник. На сколько процентов подорожали акции компании в понедельник?

4.Митя, Антон, Гоша и Борис учредили компанию с уставным капиталом 200000 рублей. Митя внес 14% уставного капитала, Антон - 42000 рублей, Гоша - 0,12 уставного капитала, а оставшуюся часть капитала внес Борис. Учредители договорились делить ежегодную прибыль пропорционально внесенному в уставной капитал вкладу. Какая сумма от прибыли 1000000 рублей причитается Борису? Ответ дайте в рублях.

5.Первый насос наполняет бак за 20 минут, второй - за 30 минут, а третий - за 1 час. За сколько минут наполнят бак три насоса, работая одновременно?

Критерии оценки

Если практическая работа выполнена в полном объеме и правильно оформлена, то ставится оценка «5». Если практическая работа выполнена более чем на 80-89%, ставится оценка «4». Если практическая работа выполнена более чем на 70-79 %, ставится оценка «3».

Практическое занятие №37.

Уравнения и неравенства в профессиональных задачах.

Будутуметь:

- решать задачи с помощью уравнений.

Дидактический материал для выполнения практической работы:

Методические рекомендации для выполнения практических работ, тетрадь для практических работ, конспект лекций.

Задания

1. За 12 дней совместной работы 1 фирма и 2 фирма сдают 7 объектов. Если 1 фирма повысит свою производительность на 100 %, то 6 дней совместной работы они сдадут 5 объектов. Сколько объектов сдадут они они за 12 дней совместной работы, если 2 фирма еще раз повысит свою производительность на 100 %?

2.Некоторая фирма взяла кредит в банке 40 000 у.е. под 15%

годовых. Сумма возврата кредита с процентами 60 835 у.е. на сколько лет

взят кредит в банке?

3.Гражданин взял кредит в банке в размере 10 000 рублей под 10% годовых. Сумма возврата кредита с процентами составила 13310 рублей. На сколько лет взят кредит в банке?

4. 31 декабря 2013 года Сергей взял в банке 9 930 000 рублей в кредит под 10% годовых. Схема выплаты кредита следующая: 31 декабря каждого следующего года банк начисляет проценты на оставшуюся сумму долга (то есть увеличивает долг на 10%), затем Сергей переводит в банк определённую сумму ежегодного платежа. Какой должна быть сумма ежегодного платежа, чтобы Сергей выплатил долг тремя равными ежегодными платежами?

Критерии оценки

Если практическая работа выполнена в полном объеме и правильно оформлена, то ставится оценка «5». Если практическая работа выполнена более чем на 80-89%, ставится оценка «4». Если практическая работа выполнена более чем на 70-79 %, ставится оценка «3».

Практическое занятие №38

Вычисление предела последовательности и предела функции.

Будут уметь:

  • находить пределы последовательности, предел функции;

  • выделять и осознавать то, что уже усвоено и что подлежит усвоению.

Дидактический материал для выполнения практической работы:

Методические рекомендации для выполнения практических работ, тетрадь для практических работ, конспект лекций.

Задания

№1. Найдите предел последовательности

1)-5)

2)

3)

4))

№2 Вычислите предел функции

1)

2)

4)

5)

7)

8)

10)

11)

13)

14)

16)

Требования к отчету:

Отчет должен содержать решение заданий с указаниями на теоретические факты, использованные при решении.

Теоретические положения:

Ч ислоb называется пределом последовательности {уп } если в любой заранее выбранной окрестности точки b содержатся все члены последовательности, начиная с некоторого номера.

Основные формулы

(с-число); (с (m,K

Основные теоремы, на которых основано вычисление пределов

Если существуют и , то

а)

б)

в)

, если

Критерии оценки

Если практическая работа выполнена в полном объеме и правильно оформлена, то ставится оценка «5». Если практическая работа выполнена более чем на 80-89%, ставится оценка «4». Если практическая работа выполнена более чем на 70-79 %, ставится оценка «3».

Практическое занятие №39

Нахождение производной функции

Будут уметь:

  • находить производные элементарных функций;

  • формирование навыков осознанного выбора наиболее эффективного способа решения задач.

Дидактический материал для выполнения практической работы:

Методические рекомендации для выполнения практических работ, тетрадь для практических работ, конспект лекций.

Задания

Вариант 1

№1.Найдите производную функции

  1. у = 12х² -

  2. у = 3sinх + 4х3

  3. у = - 4cos х

  4. у = 3

  5. у = х3+ 4х2 -

  6. у = х (х3 + 4х2 - 1)

  7. у =

  8. у = x sin x

  9. у = (х² + 4х - 1)6

  10. у = cos (2x + )

№2.

Решить уравнение f′(x) = 0, если

Вариант 2

  1. № 1. Найдите производную функции2х³ - 4

  2. у = 2sin х + 3х3

  3. у = - 7cos х

  4. у = 3

  5. у = х4 - 6х+

  6. у = х (х2 – 5х + 1)

  7. у =

  8. у = x cos x

  9. у = (х3 - 5х + 1)5

  10. у = sin (4x - )

№2.Решить уравнение f′(x) = 0, если

Требования к отчету:

Отчет должен содержать решение заданий с указаниями на теоретические факты, использованные при решении.

Теоретические положения:

Производной функцией в точке называется предел отношения приращения функции к приращению аргумента , когда приращение аргумента стремится к нулю: .

Основные правила и формулы дифференцирования элементарных функций:

,

Пусть функция , - дифференцируемые функции. Тогда сложная функция также дифференцируемая функция, причем: или . Это правило распространяется для любого конечного числа дифференцируемых функций: производная сложной функции равна произведению производных функций, ее составляющих.

Критерии оценки

Если практическая работа выполнена в полном объеме и правильно оформлена, то ставится оценка «5». Если практическая работа выполнена более чем на 80-89%, ставится оценка «4». Если практическая работа выполнена более чем на 70-79 %, ставится оценка «3».

Практическое занятие №40

Уравнение касательной к графику функции

Будут уметь:

  • находить уравнение касательной к графику функции через производную.

  • составлять план решения;

  • работать по заданному плану.

Дидактический материал для выполнения практической работы:

Методические рекомендации для выполнения практических работ, тетрадь для практических работ, конспект лекций.

Задания

Составить уравнение касательной к графику функцииy=f(x) в точке с абсциссой x=a, если

Требования к отчету:

Отчет должен содержать решение заданий с указаниями на теоретические факты, использованные при решении.

Теоретические положения:

Чтобы задать уравнение прямой на плоскости достаточно знать угловой коэффициент и координаты одной точки.

Пусть дан график функции . На нем выбрана точка , в этой точке к графику функции проведена касательная (мы предполагаем, что она существует). Найти угловой коэффициент касательной.

Дадим аргументу приращение  и рассмотрим на графике (Рис. 3) точку P с абсциссой . Угловой коэффициент секущей MP, т.е. тангенс угла между секущей и осью x, вычисляется по формуле  .

Если мы теперь устремим  к нулю, то точка Р начнет приближаться по кривой к точке М. Касательную мы охарактеризовали как предельное положение секущей при этом приближении. Значит, естественно считать, что угловой коэффициент касательной  будет вычисляться по формуле .

Следовательно, .

Если к графику функции y = f (x) в точке х = а можно провести касательную, непараллельную оси у, то выражает угловой коэффициент касательной.

Или по другому. Производная в точке х = а равна угловому коэффициенту касательной к графику функции y = f(x)в этой точке  .

Это и есть геометрический смысл производной.

Причем, если :

  1. .

Выясним общий вид уравнения касательной.

Пусть прямая задана уравнением . Мы знаем, что . Для вычисления m воспользуемся тем, что прямая проходит через точку . Подставим в уравнение. Получим , т.е. . Подставим найденные значения k и m в уравнение прямой:

– уравнение касательной к графику функции.

Критерии оценки

Если практическая работа выполнена в полном объеме и правильно оформлена, то ставится оценка «5». Если практическая работа выполнена более чем на 80-89%, ставится оценка «4». Если практическая работа выполнена более чем на 70-79 %, ставится оценка «3».

Практическое занятие №41

Применение производной для исследования функций на монотонность и экстремумы

Будут уметь:

- определять промежутки возрастания и убывания функции;

- находить экстремумы функции;

- работать по заданному плану;

- использовать алгоритм нахождения монотонности и экстремума функции при решении практических задач повседневной жизни.

Дидактический материал для выполнения практической работы:

Методические рекомендации для выполнения практических работ, тетрадь для практических работ, конспект лекций.

Задания

Исследуйте функцию на интервалы монотонности и экстремумы.

1)

2)

3)

4)

Требования к отчету:

Отчет должен содержать решение заданий с указаниями на теоретические факты, использованные при решении.

Теоретические положения:

СХЕМА ПРИМЕНЕНИЯ ПРОИЗВОДНОЙ ДЛЯ НАХОЖДЕНИЯ ИНТЕРВАЛОВ МОНОТОННОСТИ И ЭКСТРЕМУМОВ

Этапы

Пример для функции

у = 2х3 - Зх2 - 36х + 5

Найти область определения функции и интервалы, на которых функция непрерывна.

Обл. определения:R

Функция непрерывна во всей обл. определения

Найти производную f'(x).

f'(x)=6x2-6x-36

Найти критические точки, т.е. точки, в которых производная функции равна нулю или не существует.

f'(x)=0,6x2-6x-36=0,

x1=-2, x2=3

В каждом из интервалов, на которые область определения разбивается критическими точками, определить знак производной и характер изменения функции (с помощью достаточных условий монотонности).

Относительно каждой критической точки определить, является ли она точкой максимума, минимума или не является точкой экстремума.

x=-2 -точка максимума (xmax=-2)

x=3-точка минимума (xmin=3)

Записать результат исследования функции: промежутки монотонности и экстремумы.

f(x) возрастает при х(; -2) и

при х (3;);

f(x) убывает при x (-2; 3);

xmax=-2, ymax = f(-2) = 49;

xmin=3, ymin = f(3)= -76

Критерии оценки

Если практическая работа выполнена в полном объеме и правильно оформлена, то ставится оценка «5». Если практическая работа выполнена более чем на 80-89%, ставится оценка «4». Если практическая работа выполнена более чем на 70-79 %, ставится оценка «3».

Практическое занятие №42

Нахождение наибольшего и наименьшего значения функции

Будут уметь:

- определять наибольшее и наименьшее значение функции через производную;

- работать по заданному плану;

- использовать алгоритм нахождения наибольшего и наименьшего значения функции при решении практических задач повседневной жизни.

Дидактический материал для выполнения практической работы:

Методические рекомендации для выполнения практических работ, тетрадь для практических работ, конспект лекций.

Задания

Вариант 1

Найти наименьшее и наибольшее значение функции на указанном промежутке

на отрезке [–1; 4].

на [0; 5]

на [-4; 6]

Вариант 2

Найти наименьшее и наибольшее значение функции на указанном промежутке

на отрезке [–2; 1].

на [0; 6]

на [-1; 2]

Требования к отчету:

Отчет должен содержать решение заданий с указаниями на теоретические факты, использованные при решении.

Теоретические положения:

Наибольшее и наименьшее значения функции, непрерывной на отрезке

Функция, непрерывная на отрезке, достигает своего наибольшего и наименьшего значений на этом отрезке либо в критических точках, принадлежащих отрезку, либо на его концах.

Схема нахождения наибольшего и наименьшего значений функции,

непрерывной на отрезке

Этапы

Пример

для функции у = 2х3- Зх2 – 36x + 5

на отрезке [0; 4]

Найти производную f'(x).

f'(x)=6x2-6x-36

Найти на данном отрезке критические точки, т.е. точ­ки, в которыхf'(x) = 0 или не существует.

f'(x) = 0 приx = -2 и при х= 3.

Отрезку [0; 4] принадлежит только одна критическая точка: х = 3.

Вычислить значения функции в критических точках и на концах отрезка.

f(0)=5

f(3)=-76

f(4)=-59

Из вычисленных значений выбрать наименьшее и наибольшее.

max[0;4] f(x) = f(0) = 5

min[0;4] f(x) = f(3) = -76

Критерии оценки

Если практическая работа выполнена в полном объеме и правильно оформлена, то ставится оценка «5». Если практическая работа выполнена более чем на 80-89%, ставится оценка «4». Если практическая работа выполнена более чем на 70-79 %, ставится оценка «3».

Практическое занятие №43

Применение производной в профессиональных задачах.

Будут уметь:

–Решать профессиональные задачи;

- оперировать математическим аппаратом.

Дидактический материал для выполнения практической работы:

Методические рекомендации для выполнения практических работ, тетрадь для практических работ, конспект лекций.

Задание

1.Фирме «Садовод» выделяют участок земли площадью 100 м2. Предлагают четыре участка разных размеров: 25х4; 20х5; 12,5х8; 10х10. Какой участок одобрит директор фирмы «Садовод», учитывая, что необходимо будет поставить забор по периметру?

2.Участок в форме прямоугольника площадью 800 огорожен с трех сторон забором.  Найдите наименьшую длину забора.


3. В январе 2020 года процентная ставка по депозитам в банке составила x% годовых, а в январе 2021 года – y% годовых. Вкладчик положил на счет в этом банке в январе 2020 года некоторую сумму денег. В январе 2022 года, спустя год после открытия счета, он снял со счета пятую часть от той суммы, которую положил в 2020 году. Найдите значение x, при котором сумма на счете в январе 2022 года будет наибольшей, если известно, что x+y=30.

4.Дан бак без крышки в виде прямоугольного параллелепипеда, в основании которого лежит квадрат и объем равен 108 см3. При каких размерах бака на его изготовление пойдет наименьшее количество материала?

5.Вклумбу, имеющей вид окружности, радиуса 30 см вписана прямоугольная клумба наибольшей площади. Найти ее размеры.

Требования к отчету:

Отчет должен содержать решение заданий с указаниями на теоретические факты, использованные при решении.

Критерии оценки

Если практическая работа выполнена в полном объеме и правильно оформлена, то ставится оценка «5». Если практическая работа выполнена более чем на 80-89%, ставится оценка «4». Если практическая работа выполнена более чем на 70-79 %, ставится оценка «3».

Практическое занятие №44.

Нахождение оптимального результата в профессиональной деятельности.

Будут уметь:

- использовать алгоритм нахождения наибольшего и наименьшего значения функции при решении практических задач повседневной жизни.

Дидактический материал для выполнения практической работы:

Методические рекомендации для выполнения практических работ, тетрадь для практических работ, конспект лекций.

Задание

1.Участок, площадью 2400м2, надо разбить на два участка прямоугольной формы так, чтобы длина изгороди была наименьшей. Найти размеры участков.

2.Участок прямоугольной формы одной стороной прилегает к зданию. При заданных размерах периметра в 1 м, надо огородить участок так, чтобы площадь была наибольшая.

3.Из прямоугольного листа картона со сторонами 80см и 50см нужно сделать коробку прямоугольной формы, вырезав по краям квадраты и загнув образовавшиеся края. Какой высоты должна быть коробка, чтобы ее объем был наибольшим?

4.Участок прямоугольной формы одной стороной прилегает к зданию. При заданных размерах периметра 20 м, надо огородить участок так, чтобы площадь была наибольшая

Требования к отчету:

Отчет должен содержать решение заданий с указаниями на теоретические факты, использованные при решении.

Критерии оценки

Если практическая работа выполнена в полном объеме и правильно оформлена, то ставится оценка «5». Если практическая работа выполнена более чем на 80-89%, ставится оценка «4». Если практическая работа выполнена более чем на 70-79 %, ставится оценка «3».

Практическое занятие №45

Нахождение интегралов

Будут уметь:

  • вычислять интегралы;

  • оперировать математическим аппаратом

Дидактический материал для выполнения практической работы:

Методические рекомендации для выполнения практических работ, тетрадь для практических работ, конспект лекций.

Задания

Вариант 1

  1. Докажите, что F(x) – первообразная для функции f(x) на указанном промежутке, если:

а) F(x)=, f(x)=x, x;

б) F(x)=, f(x)=-2x-8, x;

в) F(x)=3, f(x)= , x;

  1. Для функции f(x)=x2 найдите первообразную,график которой проходит проходит через точку М (-1;2)

3. Вычислите интеграл:

А)

В)

С)

Вариант 2

  1. Докажите, что F(x) – первообразная для f(x) на указанном промежутке, если:

а) F(x)=, f(x)=x6, x;

б) F(x)=, f(x)=-2x-2, x;

в) F(x)=3, f(x)= , x;

2.Для функции f(x)=x3 найдите первообразную,график которой проходит проходит через точку М (1;-1) .

3.A)C)B)

Требования к отчету:

Отчет должен содержать решение заданий с указаниями на теоретические факты, использованные при решении.

Теоретические положения:

Неопределенным интегралом функции называется совокупность первообразных для данной функции: , где ,.

Рассмотрим таблицу интегрирования элементарных функций. Она поможет Вам проинтегрировать любую функцию.

1.

2.

3.

4.

5.

6.

7.

8.

9.

10.

Рассмотрим основные свойства неопределенных интегралов:

Постоянный множитель можно выносить за знак интеграла , где .

Неопределенный интеграл от алгебраической суммы функций равен алгебраической сумме интегралов от этих функций

Опр.Если F(x) - первообразная функции f(x) , то разность F(b) - F(а) называется определённым интегралом от функции f(x) на отрезке [a ; b] и обозначают

а – нижний предел интегрирования

b - верхний предел интегрирования

f(x)- подынтегральная функция

Правило вычисления определённого интеграла:

Формула Ньютона – Лейбница

Критерии оценки

Если практическая работа выполнена в полном объеме и правильно оформлена, то ставится оценка «5». Если практическая работа выполнена более чем на 80-89%, ставится оценка «4». Если практическая работа выполнена более чем на 70-79 %, ставится оценка «3».

Практическое занятие №46

Применение определенного интеграла для нахождения площадей фигур

Будут уметь:

  • находить площади фигур, с помощью интеграла;

  • сравнивать и обобщать факты;

  • обосновывать свою позицию.

Дидактический материал для выполнения практической работы:

Методические рекомендации для выполнения практических работ, тетрадь для практических работ, конспект лекций.

Задания

Вариант 1

№1.

1. Фигура, ограниченная графиком функции, прямыми х=а, х=b, осью ох называется криволинейной трапецией.

2.dx=

3. Площадь измеряется в квадратных единицах

4. Операция нахождения интеграла называется интегрированием

5. Интеграл, у которого указаны пределы интегрирования называется неопределенным

6. Нижний предел интегрирования всегда больше верхнего предела интегрирования

7. Площадь величина, которая может принимать и положительные и отрицательные значения.

8 . Площадь фигуры, определенной под строительство парка, определяется по формуле:

Варианты ответа:

1)

2)

3)

4)

№3. Найдите площадь фигур, ограниченных линиями

Вариант 2.

№1.

1. Фигура, ограниченная графиком функции, прямыми х=а, х=b называется криволинейной трапецией.

2.dx=

3. Площадь измеряется в кубических единицах

4. Операция нахождения интеграла называется дифференцированием.

5. При вычислении интеграла вначале подставляют нижний предел интегрирования, потом верхний

6. Постоянный множитель можно выносить за знак интеграла

7. Для одной функции существует множество первообразных, которые отличаются постоянной величиной

8 .Площадь фигуры, определенной под парк, определяется по формуле:

1)

2)

3)

4)

№2. Найдите площадь фигур, ограниченных линиями

Требования к отчету:

Отчет должен содержать решение заданий с указаниями на теоретические факты, использованные при решении.

Теоретические положения:

Фигура, изображённая на рисунке является криволинейной трапецией


Определение

Криволинейной трапецией называется фигура, ограниченная сверху графиком непрерывной функцииy=f(x), снизу отрезком [a;b] оси Ох, а с боков отрезками прямых х=а, х=b

Площадь криволинейной трапеции можно вычислить с помощью определённого интеграла

В озможно такое расположение:

S = S1 + S2

Возможен следующий случай, когда f(x) < 0 на [а,b]


Задачи на вычисление площадей плоских фигур можно решать по следующему плану:

  1. по условию задачи делают схематический чертёж;

  2. представляют искомую фигуру как сумму или разность площадей криволинейных трапеций. Из условия задачи и чертежа определяют пределы интегрирования для каждой составляющей криволинейной трапеции.

  3. записывают каждую функцию в виде вычисляют площадь каждой криволинейной трапеции и искомой

Критерии оценки

Если практическая работа выполнена в полном объеме и правильно оформлена, то ставится оценка «5». Если практическая работа выполнена более чем на 80-89%, ставится оценка «4». Если практическая работа выполнена более чем на 70-79 %, ставится оценка «3».

Практическое занятие №47

Применение определенного интеграла при решении профессиональных задач.

Будут уметь:

  • находить площади фигур, с помощью интеграла;

  • сравнивать и обобщать факты;

  • обосновывать свою позицию.

Дидактический материал для выполнения практической работы:

Методические рекомендации для выполнения практических работ, тетрадь для практических работ, конспект лекций.

Задание

  1. Вычислить площадь клумбы, периметр которой ограничивают линии у=x2-2x-2 и y=-x2+2.

2.Найдите площадь участка, определенную под цветник, если она ограничена линиями, заданными уравнениями

3.Определить объем продукции, произведенным рабочим за третий час рабочего дня, если производительность труда характеризуется функцией

4. Экспериментально доказано, что зависимость труда работника приближенно выражается формулой ,T- рабочее время в часах. Вычислить объем выпуска продукции за квартал, считая рабочий день 8- часовым. Количество рабочих дней в квартале – 62.

Требования к отчету:

Отчет должен содержать решение заданий с указаниями на теоретические факты, использованные при решении.

Критерии оценки

Если практическая работа выполнена в полном объеме и правильно оформлена, то ставится оценка «5». Если практическая работа выполнена более чем на 80-89%, ставится оценка «4». Если практическая работа выполнена более чем на 70-79 %, ставится оценка «3».

Практическое занятие №48

Нахождение основных элементов призм

Будут уметь:

-находить элементы призмы;

  • давать определение математическим понятиям;

  • решать практические задачи повседневной жизни.

Дидактический материал для выполнения практической работы:

Методические рекомендации для выполнения практических работ, тетрадь для практических работ, конспект лекций.

Задания

1 вариант.

1) Сторона основания правильной четырёхугольной призмы равна а, а диагональ призмы образует с плоскостью основания угол 45º. Найти:

а) диагональ призмы;

б) площадь сечения призмы плоскостью, проходящей через сторону нижнего основания и противоположную сторону верхнего основания.

2) Основанием прямой призмы является прямоугольный треугольник, гипотенуза которого равна т, а острый угол равен 60º. Через катет, противолежащий этому углу, и противоположную этому катету вершину другого основания проведено сечение, составляющее 45º с плоскостью основания. Доказать, что ∆А1СД прямоугольный. Вычислить площадь основания призмы, высоту призмы.

2 вариант.

1) Диагональ правильной четырёхугольной призмы равна а и образует с плоскостью основания угол

в 30º. Найти: а) сторону основания призмы, б) площадь сечения призмы плоскостью, проходящей через диагонали основания призмы.

2) Сторона основания правильной треугольной призмы равна а, высота призмы равна 1,5 а. Через сторону основания и противоположную вершину другого основания проведено сечение. Найти:

а) высоту основания призмы;

б) угол между плоскостями основания и сечения призмы.

Требования к отчету:

Отчет должен содержать решение заданий с указаниями на теоретические факты, использованные при решении.

Теоретические положения:

Призмой (n-угольной призмой) называется многогранник, составленный из двух равных многоугольников, лежащих в параллельных плоскостях, и параллелограммов. Shape2.

Указанные в определении равные многоугольники – основания призмы.

Боковые грани – все грани, кроме оснований (являются параллелограммами).

Боковые ребра – общие стороны боковых граней (параллельны между собой и равны).

Диагональ – отрезок, соединяющий две вершины призмы, не принадлежащие одной грани.

Высота призмы – перпендикуляр, проведенный из какой-нибудь точки одного основания к плоскости другого основания.

Диагональная плоскость – плоскость, проходящая через боковое ребро призмы и диагональ основания.

Диагональное сечение –пересечение призмы и диагональной плоскости.

Перпендикулярное сечение – пересечение призмы и плоскости, перпендикулярной ее боковому ребру.

Различают призмы прямые (боковые ребра перпендикулярны плоскости основания) и наклонные(не прямые).

Среди прямых призм выделяют правильные.

Правильная  призма – это прямая призма, основанием которой является правильный многоугольник (равносторонний треугольник, квадрат, правильный шестиугольник и т.п.).

Частным случаем призмы является параллелепипед.

Параллелепипед – это призма, основаниями которой являются параллелограммы.

Среди параллелепипедов выделяют наклонные, прямые и прямоугольные параллелепипеды.

Прямой параллелепипед — это параллелепипед, у которого 4 боковые грани — прямоугольники.

Прямоугольный параллелепипед  — это параллелепипед, у которого все грани — прямоугольники (или прямой параллелепипед с прямоугольником в основании).

Наклонный параллелепипед — это параллелепипед, боковые грани которого не перпендикулярны основаниям.

Частный случай прямоугольного параллелепипеда – куб.

Куб – прямоугольный параллелепипед, все грани которого – квадраты.

Критерии оценки

Если практическая работа выполнена в полном объеме и правильно оформлена, то ставится оценка «5». Если практическая работа выполнена более чем на 80-89%, ставится оценка «4». Если практическая работа выполнена более чем на 70-79 %, ставится оценка «3».

Практическое занятие №49

Нахождение основных элементов пирамид.

Будут уметь:

-находить элементы пирамиды;

-давать определение математическим понятиям;

Дидактический материал для выполнения практической работы:

Методические рекомендации для выполнения практических работ, тетрадь для практических работ, конспект лекций.

Задания

Вариант 1

Вариант 2

№1.Сторона основания правильной 4-хугольной пирамиды равна 4 см. Высота пирамиды 10 см.

Найдите длину бокового ребра.

№2. Сторона основания правильной 4-хугольной пирамиды равна 5 см. Угол между ребром пирамиды и диагональю основания равен. Найдите ребро пирамиды.

№3.Дана правильная усеченная 4-хугольная

Пирамида. Площадь нижнего основания равна 16 . Площадь верхнего основания равна 4. Площадь боковой грани 15. Найдите стороны оснований, длину апофемы.

№4.Дана правильная треугольная пирамида со стороной основания 2 см.Боковое ребро пирамиды равно 4 см. Найдите длину апофемы.

№5. Основанием пирамиды является ромб , сторона которого равна 3 см.Одна из диагоналей 4 см.Найдите боковые ребра, если ее высота проходит через точку пересечения диагоналей основания.

№2.Сторона основания правильной 4-хугольной пирамиды равна 6 см. Высота пирамиды 10 см.

Найдите длину бокового ребра.

№2 Сторона основания правильной 4-хугольной пирамиды равна 3см. Угол между ребром пирамиды и диагональю основания равен. Найдите ребро пирамиды.

№3.Дана правильная усеченная 4-хугольная

Пирамида. Площадь нижнего основания равна 25 . Площадь верхнего основания равна 9. Площадь боковой грани 20 . Найдите стороны оснований, длину апофемы.

№4.Дана правильная треугольная пирамида со стороной основания 4 см.Боковое ребро пирамиды равно 8 см. Найдите длину апофемы.

№5. Основанием пирамиды является ромб , сторона которого равна 3 см.Одна из диагоналей 4 см.Найдите боковые ребра, если ее высота проходит через точку пересечения диагоналей основания.

Требования к отчету:

Отчет должен содержать решение заданий с указаниями на теоретические факты, использованные при решении.

Теоретические положения:

Многогранник, составленный из п-угольника и п треугольников называется

пирамидой.

MABCD – четырёхугольная пирамида

М – вершина пирамиды,

ABCD - основание,

MAB, MBC,MCD,MAD – боковые грани

MA, MB, MC, MD - боковые рёбра

MО - высота

Пирамида называется правильной, если её основание – правильный многоугольник, а отрезок соединяющий вершину пирамиды с центром основания, является её высотой.

Все боковые рёбра правильной пирамиды равны, а боковые грани являются равными равнобедренными треугольниками.

Критерии оценки

Если практическая работа выполнена в полном объеме и правильно оформлена, то ставится оценка «5». Если практическая работа выполнена более чем на 80-89%, ставится оценка «4». Если практическая работа выполнена более чем на 70-79 %, ставится оценка «3».

Практическое занятие №50

Решениезадач на построение сечений

Будут уметь:

  • изображать многогранники и их элементы, сечение многогранников плоскостями;

  • решать практические задачи с использованием математических моделей.

Дидактический материал для выполнения практической работы:

Методические рекомендации для выполнения практических работ, тетрадь для практических работ, конспект лекций.

Задания

Вариант 1.

1) Дан тетраэдр DABC. Точка М – середина ребра AD. Построить сечение тетраэдра плоскостью, проходящей через т.М и параллельно грани АВС. Найти периметр сечения, если ребро тетраэдра равно а.

2) Изобразите параллелепипед АВСDА1В1С1D1 и постройте его сечение плоскостью АВС1 . Докажите, что построенное сечение является параллелограммом.

3) Дан куб АВСDА1В1С1D1. Постройте сечение плоскостью АСD1 и найдите периметр сечения, если ребро куба равно а.

Вариант 2

1) Дан тетраэдр DABC. Точка М – середина ребра AВ. Построить сечение тетраэдра плоскостью, проходящей через т.М и параллельно граниDВС. Найти периметр сечения, если ребро тетраэдра равно а.

2) Изобразите параллелепипед АВСDА1В1С1D1 и постройте его сечение плоскостью АСС1 . Докажите, что построенное сечение является параллелограммом.

3) Дан куб АВСDА1В1С1D1. Точка К – середина ребра В1С1 Постройте сечение плоскостью, проходящей через точки А, В, К и найдите периметр сечения, если ребро куба равно а.

Требования к отчету:

Отчет должен содержать решение заданий с указаниями на теоретические факты, использованные при решении.

Теоретические положения:

Для решения задач на построение сечений многогранника, надо знать основные понятия.

Опр.

Секущей плоскостью называется любая плоскость, по обе стороны от которой имеются точки данного многогранника.

Секущая плоскость пересекает грани многогранника по отрезкам.

Опр.

Многогранник, сторонами которого являются эти отрезки, называется сечением многогранника.. Так кактетраэдр имеет 4 грани, то его сечениями могут быть только треугольники и

Параллелепипед имеет 6 граней. Его сечениями могут быть треугольники, четырёхугольники, пятиугольники и шестиугольники.

При построении сечений параллелепипеда следует учитывать тот факт, что если секущая плоскость пересекает две противоположные грани по каким-то отрезкам, то эти отрезки параллельны.

Критерии оценки

Если практическая работа выполнена в полном объеме и правильно оформлена, то ставится оценка «5». Если практическая работа выполнена более чем на 80-89%, ставится оценка «4». Если практическая работа выполнена более чем на 70-79 %, ставится оценка «3».

Практическое занятие №51

Нахождение основных элементов цилиндра и конуса

Будут уметь:

  • находить элементы цилиндра , конуса;

  • давать определение математическим понятиям;

  • сравнивать и обобщать факты.

Дидактический материал для выполнения практической работы:

Методические рекомендации для выполнения практических работ, тетрадь для практических работ, конспект лекций.

Задание

Вариант 1

Вариант 2

№1. Начертить цилиндр, Построить ось цилиндра, 2 образующих, радиус цилиндра, построить осевое сечение, круговое.

2.ABCD –осевое сечение цилиндра. Диаметр основания 8 см. Угол между диагональю и образующей равен .

Найдите

1)радиус цилиндра

2) площадь основания

3)высоту

№3.Из квадрата диагональ которого 4 см свернута боковая поверхность цилиндра. Найдите площадь основания.

№4. Высота конуса 15 см, радиус основания 8см. Найдите образующую.

№5. Образующая конуса равна 12 см и наклонена к плоскости основания под углом . Найдите площадь основания.

№6. 1)Радиус конуса равен 4 см. найдите площадь основания.

2) Высота цилиндра 7 см, радиус 4 см. Найдите его высоту.

№1. Построить конус. Провести высоту конуса, 2 образующих, радиус конуса, построить осевое сечение, круговое.

2.ABCD –осевое сечение цилиндра. Диаметр основания 10 см. Угол между диагональю и образующей равен .

Найдите

1)радиус цилиндра

2) площадь основания

3)высоту

№3.Из квадрата диагональ которого 2 см свернута боковая поверхность цилиндра. Найдите площадь основания.

№4. Высота конуса 10 см, радиус основания 4см. Найдите образующую.

№5. Образующая конуса равна 12 см и наклонена к плоскости основания под углом . Найдите площадь основания.

№6. 1)Радиус цилиндра равен 4 см. найдите площадь основания.

2) Высота цилиндра 7 см, радиус 5 см. Найдите его высоту.

Требования к отчету:

Отчет должен содержать решение заданий с указаниями на теоретические факты, использованные при решении.

Теоретические положения:

Цилиндр – это геометрическое тело, ограниченное цилиндрической поверхностью и двумя кругами с границами L и L1.

Цилиндр можно получить вращением прямоугольника вокруг прямой, содержащей любую его сторону.

Shape3

h – высота цилиндра, r – радиус основания

Конус – тело, полученное объединением всех лучей, исходящих из одной точки (вершины конуса) и проходящих через плоскую поверхность.

Круглый конус может быть получен вращением прямоугольного треугольника вокруг одного из его катетов.

Shape4

h – высота конуса, r - радиус основания, l - образующая конуса.

Критерии оценки

Если практическая работа выполнена в полном объеме и правильно оформлена, то ставится оценка «5». Если практическая работа выполнена более чем на 80-89%, ставится оценка «4». Если практическая работа выполнена более чем на 70-79 %, ставится оценка «3».

Практическое занятие №52

Нахождение элементов сферы и шара.

Будут уметь:

  • находить элементы сферы и шара;

  • давать определение математическим понятиям;

  • анализировать собственную деятельность.

Дидактический материал для выполнения практической работы:

Методические рекомендации для выполнения практических работ, тетрадь для практических работ, конспект лекций.

Задание

Вариант 1

Вариант 2

№1. Постройте сферу, проведите её радиус

№2. Найдите координаты центра и радиус сферы, заданной уравнением

3. Расстояние от центра шара радиусаR=12 см до секущей плоскости равно 8 см. Найдите площадь сечения .

№4. Расстояние от центра шара до секущей плоскости равно 3 см.Найдите радиус шара, если площадь сечения равна 14 см.

5. Точка М – середина отрезка АВ, концы которого лежат на сфере радиуса Rc центром О. Найдите ОМ, если R=60 см, АВ=20 см.

№1. Постройте сферу, проведите её радиус, проведите её диаметр

№2. Найдите координаты центра и радиус сферы, заданной уравнением

3. Расстояние от центра шара радиусаR=10 см до секущей плоскости равно 4 см. Найдите площадь сечения .

№4. Расстояние от центра шара до секущей плоскости равно 4 см.Найдите радиус шара, если площадь сечения равна 16 см.

5. Точка М – середина отрезка АВ, концы которого лежат на сфере радиуса Rc центром О. Найдите ОМ, если R=30 см,

АВ=20 см.

Требования к отчету:

Отчет должен содержать решение заданий с указаниями на теоретические факты, использованные при решении.

Теоретические положения:

Шар – геометрическое тело, ограниченное поверхностью, все точки которой находятся на равном расстоянии от центра. Это расстояние называется радиусом шара.

Shape5

R – радиус шара

Критерии оценки

Если практическая работа выполнена в полном объеме и правильно оформлена, то ставится оценка «5». Если практическая работа выполнена более чем на 80-89%, ставится оценка «4». Если практическая работа выполнена более чем на 70-79 %, ставится оценка «3».

Практическое занятие №53

Симметрия в профессиональной деятельности

Будут уметь:

-применять симметрию при решении профессиональных задач.

Дидактический материал для выполнения практической работы:

Методические рекомендации для выполнения практических работ, тетрадь для практических работ, конспект лекций.

Задание:

Придумайте и зарисуйте композицию:

1)симметричную;

2)асимметричную равновесную пейзажную;

3)асимметричную равновесную регулярную;

4) асимметричную равновесную «с элементами пейзажной».

№2. Определите вид симметрии

Критерии оценки

Если практическая работа выполнена в полном объеме и правильно оформлена, то ставится оценка «5». Если практическая работа выполнена более чем на 80-89%, ставится оценка «4». Если практическая работа выполнена более чем на 70-79 %, ставится оценка «3».

Практическое занятие №54.

Решение задач на нахождение площадей и объемов призм.

Будут уметь:

  • изображать и находить площадь боковой и полной поверхности, объем призмы.

Дидактический материал для выполнения практической работы:

Методические рекомендации для выполнения практических работ, тетрадь для практических работ, конспект лекций.

Задание:

Вариант 1.

1.Стороны основания прямого параллелепипеда 6см и 4см, угол между ними . Диагональ большей боковой грани 10см. Найдите площадь боковой и площадь полной поверхности параллелепипеда.

2.Основание прямой призмы – треугольник со сторонами 8см и 15см и углом между ними . Высота призмы 11см. 3.Найдите площадь боковой и площадь полной поверхности призмы.

4. Основание прямой призмы – ромб со стороной 13см и одной из диагоналей равной 24см. Найдите объём призмы, если диагональ боковой грани 14см.

Вариант 2.

  1. В основании прямого параллелепипеда лежит ромб со стороной 12см и углом . Меньшая диагональ параллелепипеда 13см. Найдите площадь боковой и площадь полной поверхности параллелепипеда.

  2. Основание прямой призмы – треугольник со сторонами 8см и 3см и углом между ними . Высота призмы 15см. Найдите площадь боковой и площадь полной поверхности призмы.

4. Основание прямой призмы – ромб со стороной 15см и одной из диагоналей равной 20см. Найдите объём призмы, если диагональ боковой грани 12см.

Требования к отчету:

Отчет должен содержать решение заданий с указаниями на теоретические факты, использованные при решении.

Теоретические положения:

Площадь полной поверхности призмы — сумма площадей всех её граней. Площадь полной поверхности (Sполн) выражается через площадь боковой поверхности (Sбок) и площадь основания призмы формулой: Sполн=Sбок+2Sосн .

Площадь боковой поверхности призмы (Sбок) — сумма площадей её боковых граней.

Имеют место формулы : Sбок = Pl; где Sбок — площадь боковой поверхности призмы, P — периметр перпендикулярного сечения, l — длина бокового ребра,

Теорема о площади боковой поверхности прямой призмы. Площадь боковой поверхности прямой призмы равна произведению периметра основания на высоту призмы.

Формула площади боковой поверхности правильной пирамиды (Sбок):

Критерии оценки

Если практическая работа выполнена в полном объеме и правильно оформлена, то ставится оценка «5». Если практическая работа выполнена более чем на 80-89%, ставится оценка «4». Если практическая работа выполнена более чем на 70-79 %, ставится оценка «3».

Практическое занятие №55

Решение задач на нахождение площадей и объемов пирамид.

Будут уметь:

  • решать задачи на нахождение площадей пирамиды;

  • решать задачи на объем пирамиды;

  • обосновывать свою позицию;

  • составлять план решения.

Дидактический материал для выполнения практической работы:

Методические рекомендации для выполнения практических работ, тетрадь для практических работ, конспект лекций.

Задание:

Вариант 1.

  1. Найдите площадь полной поверхности правильной треугольной пирамиды, если двугранный угол при стороне основания равен , а радиус окружности, описанной около основания, равен 2см.

  2. Найдите площадь полной поверхности правильной треугольной пирамиды, если её апофема 4см, а угол между апофемой и высотой пирамиды равен .

  3. Найдите объём правильной треугольной пирамиды, высота которой равна 12см и составляет с боковым ребром угол .

  4. Найдите объём правильной четырёхугольной пирамиды, боковое ребро которой равно 12см и образует с высотой угол .

Вариант 2.

  1. Найдите площадь полной поверхности правильной треугольной пирамиды, если двугранный угол при стороне основания равен , а радиус окружности, описанной около основания, равен 5см.

  2. Найдите площадь полной поверхности правильной треугольной пирамиды, если её апофема 8см, а угол между апофемой и высотой пирамиды равен .

  3. Найдите объём правильной треугольной пирамиды, высота которой равна 14см и составляет с боковым ребром угол .

  4. Найдите объём правильной четырёхугольной пирамиды, боковое ребро которой равно 10см и образует с высотой угол .

Требования к отчету:

Отчет должен содержать решение заданий с указаниями на теоретические факты, использованные при решении.

Т еоретические положения:

Критерии оценки

Если практическая работа выполнена в полном объеме и правильно оформлена, то ставится оценка «5». Если практическая работа выполнена более чем на 80-89%, ставится оценка «4». Если практическая работа выполнена более чем на 70-79 %, ставится оценка «3».

Практическое занятие №56

Решение задач на нахождение площадей и объемов тел вращения

Будут уметь:

  • находить площади поверхностей тел вращений ;

  • находить объемы тел вращений;

  • составлять план решения.

Дидактический материал для выполнения практической работы:

Методические рекомендации для выполнения практических работ, тетрадь для практических работ, конспект лекций.

Задание:

№1. Заполните таблицу

Пусть r – радиус основания, h – высота, V – объём цилиндра. Заполнить таблицу.

r

h

V

А)

3

5

Б)

2

3

В)

0,5

9

Г)

4

6,4

Д)

3,6

120

Е)

3

№2. Заполните таблицу

Пусть r – радиус основания, h – высота, V – объём конуса. Заполнить таблицу.

А)

Б)

В)

Г)

Д)

Е)

h

3cм

10м

2,5м

m

r

1,5см

4

1,5м

а

V

94,2м3

48

р

р

№3. В куб вписан шар. Найти объем шара, если объем куба равен .

№4. Площадь поверхности шара равна 43. Найти площадь поверхности другого шара, объем которого в 27 раз больше объема данного шара.

№5. Около шара описан цилиндр. Найти объем цилиндра, если объем шара равен 168.

Требования к отчету:

Отчет должен содержать решение заданий с указаниями на теоретические факты, использованные при решении.

Теоретические положения:

Площадь поверхности цилиндра равна

, где r - радиус цилиндра, h -высота цилиндра

Shape6

Площадь поверхности конуса равна

Тело

Объём

Площадь боковой поверхности

Площадь полной поверхности

Цилиндр

V=πR2H

Sбок=2πRH

Sп=2πR(H +R)

Тело

Объём

Площадь боковой поверхности

Площадь полной поверхности

Конус

Sбок=πRl

Sп=πR (R+l),

Площадь поверхности шара:

Объем шара:V=

Критерии оценки

Если практическая работа выполнена в полном объеме и правильно оформлена, то ставится оценка «5». Если практическая работа выполнена более чем на 80-89%, ставится оценка «4». Если практическая работа выполнена более чем на 70-79 %, ставится оценка «3».

Практическое занятие №57

Расчет объема вместимости.

Будут уметь:

  • решать задачи на нахождение объемов в профессиональной направленности;

  • составлять план решения.

Дидактический материал для выполнения практической работы:

Методические рекомендации для выполнения практических работ, тетрадь для практических работ, конспект лекций.

Задание:

№1. Поле в форме треугольника со сторонами 222, 156 и 90 м нужно укрыть слоем торфа толщиной 0,6 см . Сколько торфа потребуется для этого? Плотность торфа 0,4*103кг/м.

№2. Рассчитать необходимое количество мешков земли (вес мешка 20 кг), для того чтобы засыпать 3 клумбы размерами 5м, 2м и 30см, из расчета, что на 1 м3 необходимо 10 кг земли.

№3. Размеры кузовов самосвалов МАЗ – 205 и ЗИЛ – 150 соответственно равны 6,07*2,64*2,44 и 6,72*2,39*2,18 м. Какой самосвал имеет большую вместимость кузова?

Требования к отчету:

Отчет должен содержать решение заданий с указаниями на теоретические факты, использованные при решении.

Критерии оценки

Если практическая работа выполнена в полном объеме и правильно оформлена, то ставится оценка «5». Если практическая работа выполнена более чем на 80-89%, ставится оценка «4». Если практическая работа выполнена более чем на 70-79 %, ставится оценка «3».

Практическое занятие №58.

Площади поверхностей комбинированных тел.

Расчет объема вместимости.

Будут уметь:

  • решать задачи на нахождение объемов в профессиональной направленности;

  • составлять план решения.

Дидактический материал для выполнения практической работы:

Методические рекомендации для выполнения практических работ, тетрадь для практических работ, конспект лекций.

Задание: 5 м.

№1. Вычислить поверхность кроны кустарника, имеющего форму шара радиуса 2м.

№2. Вычислить площадь основания кроны кустарника, имеющего форму конуса радиуса 3 м.

№3. Создать модель клумбы, имеющей форму комбинированного геометрического тела, выполнить необходимые расчеты (площадь, объем, количество и виды саженцев). Представить продукт, ответить на вопросы.

Предполагаемые модели клумб:

Требования к отчету:

Отчет должен содержать решение заданий с указаниями на теоретические факты, использованные при решении.

Критерии оценки

Если практическая работа выполнена в полном объеме и правильно оформлена, то ставится оценка «5». Если практическая работа выполнена более чем на 80-89%, ставится оценка «4». Если практическая работа выполнена более чем на 70-79 %, ставится оценка «3».

Практическое занятие №59

Решение комбинаторных задач в профессиональной деятельности

Будут уметь:

- решать простейшие комбинаторные задачи;

- анализировать собственную деятельность.

Дидактический материал для выполнения практической работы:

Методические рекомендации для выполнения практических работ, тетрадь для практических работ, конспект лекций.

Задание:

1.Сколькими способами 7разных цветов можно посадить на грядке в один ряд?

2. В ящике находится 15 клубней георгин. Сколькими способами можно взять 4 из них для посадки?

3. Имеются 9 различных кустарников, четыре из которых зеленого цвета. Сколькими способами можно рассадить их на прямолинейной грядке так, чтобы все зеленые кустарники стояли рядом?

4.Имеется 5 гвоздик разного цвета.

Сколькими способами можно составить букет из трех разноцветных гвоздик.

5. В наличии три банки с красками разного цвета. Нужно покрасить забор, состоящий из 10 досок так, чтобы любые две соседние доски были разных цветов, и при этом были использованы краски всех трёх цветов. Сколькими способами он может выполнить поручение?

Требования к отчету:

Отчет должен содержать решение заданий с указаниями на теоретические факты, использованные при решении.

Практическое занятие №60

Решение задач на нахождение вероятностей событий

Дидактический материал для выполнения практической работы:

Методические рекомендации для выполнения практических работ, тетрадь для практических работ, конспект лекций.

Задание:

- находить вероятность событий;

- применять формулы для нахождения вероятности событий;

- систематизировать пройденный материал.

Дидактический материал для выполнения практической работы:

Методические рекомендации для выполнения практических работ, тетрадь для практических работ, конспект лекций.

Задание

Вариант 1.

  1. Под случайным событием, связанным с некоторым опытом, понимается всякое событие, которое при осуществлении этого опыта

а) не может произойти;

б) либо происходит, либо нет;

в) обязательно произойдет.

  1. Если событие А происходит тогда и только тогда, когда происходит событие В, то их называют

а) равносильными;

б) совместными;

в) одновременными;

г) тождественными.

  1. Если полная система состоит из 2-х несовместных событий, то такие события называются

а) противоположными;

б) несовместными;

в) невозможными;

г) равносильными.

  1. Опыт с подбрасыванием игральной кости. Событие А1 – появление четного числа очков. Событие А2- появление 2-х очков. Событие А1А2 состоит в том, что выпало

а) 2; б) 4; в) 6; г) 5.

  1. Вероятность достоверного события равна

а) 0; б) 1; в) 2; г) 3.

  1. Вероятность произведения двух зависимых событий А и В вычисляется по формуле

а) Р(АВ) = Р(А)Р(В); б) Р(АВ) = Р(А)+Р(В) – Р(А)Р(В);

в) Р(АВ) = Р(А)+Р(В) + Р(А)Р(В); г) Р(АВ) = Р(А)Р(А | В).

  1. Из 25 экзаменационных билетов, занумерованных числами от 1 до 25, студент наудачу извлекает 1. Какова вероятность того, что студент сдаст экзамен, если он знает ответы на 23 билета?

а) ; б) ; в) ; г) .

  1. В коробке 10 шаров: 3 белых, 4 черных, 3 синих. Наудачу вытащили 1 шарик. Какова вероятность, что он будет либо белым, либо черным?

а) ; б) ; в) ; г) .

  1. Имеется 2 ящика. В первом 5 стандартных и 1 нестандартная деталь. Во втором 8 стандартных и 2 нестандартные детали. Из каждого ящика наудачу вынимают по одной детали. Какова вероятность того, что вынутые детали окажутся стандартными?

а) ; б) ; в) ; г) .

  1. Из слова «математика» выбирается наугад одна буква. Какова вероятность того, что эта буква «а»?

а)  б) ; в) ; г) .

Вариант 2.

  1. Если событие в данном опыте не может произойти, то оно называется

а) невозможным;

б) несовместным;

в) необязательным;

г) недостоверным.

  1. Совокупность несовместных событий таких, что в результате опыта должно произойти хотя бы одно из них называются

а) неполной системой событий; б) полной системой событий;

в) целостной системой событий; г) не целостной системой событий.

  1. Опыт с подбрасыванием игральной кости. Событие А выпадает число очков не большее 3. Событие Ввыпадает четное число очков. Событие АВ состоит в том, что выпала грань с номером

а) 1; б) 2; в) 3; г) 4.

  1. События, образующие полную систему попарно несовместных и равновероятных событий называются

а) элементарными;

б) несовместными;

в) невозможными;

г) достоверными.

  1. Вероятность невозможного события равна

а) 0; б) 1; в) 2; г) 3.

  1. В магазин поступило 30 холодильников. 5 из них имеют заводской дефект. Случайным образом выбирается один холодильник. Какова вероятность, что он будет без дефекта?

а) ; б); в) ; г) .

  1. Вероятность произведения двух независимых событий А и В вычисляется по формуле

а) Р(АВ) = Р(А)Р(В | А); б) Р(АВ) = Р(А) + Р(В) – Р(А)Р(В);

в) Р(АВ) = Р(А) + Р(В) + Р(А)Р(В); г) Р(АВ) = Р(А)Р(В).

  1. В классе 20 человек. Из них 5 отличников, 9 хорошистов, 3 имеют тройки и 3 имеют двойки. Какова вероятность того, что выбранный случайно ученик либо хорошист, либо отличник?

а) ; б) ; в) ; г) .

9. В первой коробке 2 белых и 3 черных шара. Во второй коробке 4 белых и 5 черных шаров. Наудачу извлекают из каждой коробке по одному шару. Какова вероятность того, что оба шара окажутся белыми?

а) ; б) ; в) ; г) .

10. Вероятность достоверного события равна

а) 0; б) 1; в) 2; г) 3.

Вариант 3.

  1. Если в данном опыте никакие два из событий не могут произойти одновременно, то такие события называются

а) несовместными;

б) невозможными;

в) равносильными;

г) совместными.

  1. Совокупность несовместных событий таких, что в результате опыта должно произойти хотя бы одно из них называются

а) неполной системой событий; б) полной системой событий;

в) целостной системой событий; г) не целостной системой событий.

  1. Произведением событий А1 и А2 называется событие, которое осуществляется в том случае, когда

а) происходит событие А1, событие А2 не происходит;

б) происходит событие А2, событие А1 не происходит;

в) события А1 и А2 происходят одновременно.

  1. В партии из 100 деталей 3 бракованных. Какова вероятность того, что взятая наудачу деталь окажется бракованной?

а)  ; б) ; в) ;.

  1. Сумма вероятностей событий образующих полную систему равна

а) 0; б) 1; в) 2; г) 3.

  1. Вероятность невозможного события равна

а) 0; б) 1; в) 2; г) 3.

  1. Вероятность суммы двух несовместных событий А и В вычисляется по формуле

а) Р(А+В) = Р(А) + Р(В); б) Р(А+В) = Р(А) + Р(В) – Р(АВ);

в) Р(А+В) = Р(А) + Р(В) + Р(АВ); г) Р(А+В) = Р(АВ) – Р(А) + Р(В).

  1. На полке в произвольном порядке расставлено 10 учебников. Из них 1 по математике, 2 по химии, 3 по биологии и 4 по географии. Студент произвольно взял 1 учебник. Какова вероятность того, что он будет либо по математике, либо по химии?

а) ; б) ; в) ; г) .

  1. Если наступление события В не оказывает ни какого влияния на вероятность наступления события А, и наоборот, наступление события А не оказывает ни какого влияния на вероятность наступления события В, то события А и В называются

а) несовместными;

б) независимыми;

в) невозможными;

г) зависимыми.

  1. В двух коробках находятся карандаши одинаковой величины и формы. В первой коробке: 5 красных, 2 синих и 1 черный карандаш. Во второй коробке: 3 красных, 1 синий и 2 желтых. Наудачу извлекают по одному карандашу из каждой коробки. Какова вероятность того, что оба карандаша будут синими?

а) ; б) ; в) ; г) .

Вариант 4.

  1. Если событие происходит в данном опыте обязательно, то оно называется

а) совместным;

б) реальным;

в) достоверным;

г) невозможным.

  1. Если появление одного из событий не исключает появление другого в одном и том же испытании, то такие события называются

а) совместными;

б) несовместными;

в) зависимыми;

г) независимыми.

  1. Если наступление события В не оказывает ни какого влияния на вероятность наступления события А, и наоборот, наступление события А не оказывает ни какого влияния на вероятность наступления события В, то события А и В называются

а) несовместными;

б) независимыми;

в) невозможными;

г) зависимыми.

  1. Суммой событий А1 и А2 называется событие, которое осуществляется в том случае, когда

а) происходит хотя бы одно из событий А1 или А2;

б) события А1 и А2 не происходят;

в) события А1 и А2 происходят одновременно.

  1. Вероятность любого события есть неотрицательное число, не превосходящее

а) 1; б) 2; в) 3; г) 4.

  1. Из слова «автоматика» выбирается наугад одна буква. Какова вероятность того, что это будет буква «а»?

а) ; б) ; в) ; г) .

  1. Вероятность суммы двух несовместных событий А и В вычисляется по формуле

а) Р(А+В) = Р(А) + Р(В); б) Р(А+В) = Р(АВ) – Р(А) + Р(В);

в) Р(А+В) = Р(А) + Р(В) + Р(АВ); г) Р(А+В) = Р(А) + Р(В) – Р(АВ).

  1. В первой коробке 2 белых и 5 черных шаров. Во второй коробке 2 белых и 3 черных шара. Из каждой коробки наудачу вынули по 1 шару. Какова вероятность, что оба шара окажутся черными?

а) ; б) ; в) ; г) .

  1. Магазин получил продукцию в 11 ящиках с трех складов: 4 с первого склада, 5 со второго склада, 2 с третьего склада. Случайным образом выбран ящик для продажи. Какова вероятность того, что это будет ящик или с первого или со второго склада?

а) ; б) ; в) ; г) .

  1. Сумма вероятностей противоположных событий равна

а) 0; б) 1; в) 2; г) 3.

Требования к отчету:

Отчет должен содержать решение заданий с указаниями на теоретические факты, использованные при решении.

Теоретические положения:

Событие – это любое явление, которое происходит или не происходит или результат испытаний, наблюдений и явлений. События обозначают заглавными латинскими буквами А, В, С, …

Примеры случайных событий: выпадение шестерки при подбрасывании игральной кости, отказ технического устройства, искажение сообщения при передаче его по каналу связи.

Долю успеха того или иного события называют вероятностью этого события и обозначают Р(А)

Если в некотором испытании существует правновозможных попарно несовместных исходов итиз них благоприятствуют событию А, то вероятностью наступления события А называют отношение и записывают Р(А) =

Суммой (объединением) двух событий A и B (обозначается A+B,AB) называется такое событие, которое заключается в том, что происходит хотя бы одно из событий, т.е. A или B, или оба одновременно.

Произведением (пересечением) двух событий A и B (обозначается A×B,A иB) называется такое событие, которое заключается в том, что происходят оба события A и B вместе.

Критерии оценки

Если практическая работа выполнена в полном объеме и правильно оформлена, то ставится оценка «5».Если практическая работа выполнена более чем на 80-89%, ставится оценка «4». Если практическая работа выполнена более чем на 70-79 %, ставится оценка «3». В противном случае работа не засчитывается.

Требования к отчету:

Отчет должен содержать решение заданий с указаниями на теоретические факты, использованные при решении.

Теоретические положения:

Сложение вероятностей. Событие А  В наступает, если наступают оба события А и В одновременно. Пусть А и В — два события одного случайного опыта. Рассмотрим те элементарные события, которые благоприятствуют событию А, и те элементарные события, которые благоприятствуют событию В. Все вместе эти элементарные события благоприятствуют новому событию, которое называется объединением событий А и В. Событие А  В наступает, если наступает хотя бы одно из событий А или В. Это означает, что наступает либо А, либо В, либо А и Ввместе. Пусть А и В — два события одного случайного опыта. Рассмотрим элементарные события, которые благоприятствуют и событию А и событию В. Все вместе эти элементарные события благоприятствуют новому событию, которое называется пересечением событий Аи В. Если события А и В не имеют общих благоприятствующих элементарных событий, то они не могут наступить одновременно в ходе одного и того же опыта (еще говорят взаимоисключающие). Такие события называют несовместными, а их пересечение — пустое событие. Если события А и В несовместны, то Р(А  В) = Р(А) + Р (В)Б) Если А и В — любые события, то Р(А  В) = Р(А) + Р (В) - Р(А  В)

Случайный выбор — это выбор наудачу одного предмета из группы предметов. Выбор наудачу — это разновидность случайного опыта с равновозможными элементарными событиями. Элементарным событием в таком опыте является извлечение одного предмета из группы. Если в группе N предметов, то каждый из них может быть выбран с вероятностью 1/N. После выбора одного предмета случайный выбор можно продолжить, выбрав второй, третий и т. д. предметы или сразу взять наудачу нужное количество предметов. Собранную таким образом группу называют случайной выборкой.Независимые события — это события, которые не связаны друг с другом, т.е. по наступлению одного из них нельзя судить о вероятности другого. Например, при бросании двух костей результат бросания первой кости не влияет на результат бросания второй. Если события А и В независимы, то Р(А  В) = Р(А) · Р(В).

Критерии оценки

За каждый правильный ответ в №1 вы получаете по 1 баллу. За правильно решенную задачу в №2-1 балл. За правильно решенные задачи с №3-№6-по 2 балла. За грамотно составленную и решенную задачу в №7 – 3 балла.

14-15 баллов-«5»

12-13 баллов-«4»

9-11 баллов-«3»

Ниже 9 баллов оценка «2»

Практическое занятие №61

Решение задач на нахождение вероятностей событий в профессиональной деятельности

Будут уметь:

- находить вероятность событий;

- применять формулы для нахождения вероятности событий;

- систематизировать пройденный материал.

Дидактический материал для выполнения практической работы:

Методические рекомендации для выполнения практических работ, тетрадь для практических работ, конспект лекций.

Задание:

1.В корзине 8 одинаковых цветов для рассады: 3 белых, 4 желтых, 1 синего цвета. Наудачу вытащили 1 цветок. Какова вероятность, что он будет либо белым, либо желтым?

2. Имеется из 100 кустарников для посадки 3 бракованных. Какова вероятность того, что взятый наудачу кустарник окажется бракованным?

3. Имеется из 100 кустарников для посадки 3 бракованных. Какова вероятность того, что взятый наудачу кустарник окажется бракованным?

4. В двух ящиках находятся разноцветные кирпич одинаковой величины и формы. В первой коробке: 5 красных, 2 синих и 1 черный. Во второй коробке: 3 красных, 1 синий и 2 желтых. Наудачу извлекают по одному кирпичу из каждой коробки. Какова вероятность того, что оба кирпича будут синими?

5. Составить и решить задачу с профессиональной направленностью на нахождение вероятности события.

Требования к отчету:

Отчет должен содержать решение заданий с указаниями на теоретические факты, использованные при решении.

Теоретические положения:

Событие – это любое явление, которое происходит или не происходит или результат испытаний, наблюдений и явлений. События обозначают заглавными латинскими буквами А, В, С, …

Примеры случайных событий: выпадение шестерки при подбрасывании игральной кости, отказ технического устройства, искажение сообщения при передаче его по каналу связи.

Долю успеха того или иного события называют вероятностью этого события и обозначают Р(А)

Если в некотором испытании существует правновозможных попарно несовместных исходов итиз них благоприятствуют событию А, то вероятностью наступления события А называют отношение и записывают Р(А) =

Суммой (объединением) двух событий A и B (обозначается A+B,AB) называется такое событие, которое заключается в том, что происходит хотя бы одно из событий, т.е. A или B, или оба одновременно.

Произведением (пересечением) двух событий A и B (обозначается A×B,A иB) называется такое событие, которое заключается в том, что происходят оба события A и B вместе.

Критерии оценки

Если практическая работа выполнена в полном объеме и правильно оформлена, то ставится оценка «5».Если практическая работа выполнена более чем на 80-89%, ставится оценка «4». Если практическая работа выполнена более чем на 70-79 %, ставится оценка «3». В противном случае работа не засчитывается.

Практическое занятие №62

Вероятность в профессиональных задачах

Будут уметь:

  • решать простейшие задачи теории вероятностей и математической статистики;

  • сравнивать и обобщать факты.

Дидактический материал для выполнения практической работы:

Методические рекомендации для выполнения практических работ, тетрадь для практических работ, конспект лекций.

Задание

Задание 1: Сравнить всхожесть семян любых трех видов однолетних цветов за последние 3 года. Составить диаграмму по найденным данным. Сделать выводы.

Задание 1: Составить таблицу «Применение удобрений при выращивании однолетних растений за последние три года в Курской области». Составить гистограмму по данным таблицы. Сделать выводы.

Требования к отчету:

Отчет должен содержать решение заданий с указаниями на теоретические факты, использованные при решении.

Теоретические положения:

Опр.

Случайной величиной называется переменная величина, которая может принимать те или иные значения в зависимости от случая.

Опр.

Функция, связывающая значения случайной величины с соответствующими им вероятностями, называется законом распределения дискретной случайной величины.

Опр.

Полигоном частот называют зависимость, выражающую распределение величины Х по частотам или по относительным частотам.

Характеристики случайной величины:

Опр.

Размах ( обозначается R ) - разница между наибольшим и наименьшим значениями случайной величины.

Опр.

Мода ( обозначается Мо ) – наиболее часто встречающееся значение случайной величины.

Опр.

Медиана ( обозначается Ме ) – это так называемое серединное значение упорядоченного ряда значений случайной величины.

Критерии оценки

Если практическая работа выполнена в полном объеме и правильно оформлена, то ставится оценка «5».Если практическая работа выполнена более чем на 80-89%, ставится оценка «4». Если практическая работа выполнена более чем на 70-79 %, ставится оценка «3». В противном случае работа не засчитывается.

Вопросы для самоконтроля.

  1. Какое число называется комплексным?

  2. Какой вид имеет алгебраическая форма комплексного числа?

  3. Какие два комплексных числа называются равными?

  4. Какие два комплексных числа называются сопряженными?

  5. Какой вид имеет тригонометрическая форма комплексного числа?

  6. Определение корня натуральной степени из числа.

  7. Основные свойства корня натуральной степени из числа.

  8. Определение степени с рациональным показателем.

  9. Основные свойства степени с рациональным показателем.

  10. Понятие степени с действительным показателем.

  11. Основные свойства степени с действительным показателем.

  12. Как избавиться от иррациональности в знаменателе.

  13. Определение корня натуральной степени из числа.

  14. Основные свойства корня натуральной степени из числа.

  15. Определение степени с рациональным показателем.

  16. Основные свойства степени с рациональным показателем.

  17. Понятие степени с действительным показателем.

  18. Основные свойства степени с действительным показателем.

  19. Как избавиться от иррациональности в знаменателе.

  20. Понятие логарифма числа.

  21. Основное логарифмическое тождество.

  22. Понятие десятичного логарифма числа.

  23. Понятие натурального логарифма числа.

  24. Понятие логарифма числа.

  25. Основное логарифмическое тождество.

  26. Понятие десятичного логарифма числа.

  27. Понятие натурального логарифма числа.

  28. Основные свойства логарифмов.

  29. Формула перехода от логарифма по одному основанию к логарифму по другому основанию.

  30. Аксиомы стереометрии.

  31. Основные следствия из аксиом стереометрии.

  32. Взаимное расположение 2прямых в пространстве

  33. Какие прямые в пространстве называются параллельными?

  34. Признак параллельности 2 прямых в пространстве?

  35. Признак параллельности 2 плоскостей в пространстве?

  36. Признак параллельности прямой и плоскости в пространстве?

  37. Что называется перпендикуляром на плоскость?

  38. Что называется наклонной на плоскость?

  39. Что называется проекцией наклонной?

  40. Признак перпендикулярности прямой и плоскости?

  41. Признак перпендикулярности 2 плоскостей?

  42. Теорема о 3перпендикулярах?

  43. Признак перпендикулярности прямой и плоскости?

  44. Признак перпендикулярности 2 плоскостей?

  45. Теорема о 3перпендикулярах?

  46. Какие углы называются двугранными?

  47. Понятие прямоугольной системы координат в пространстве. Ее элементы.

  48. Понятие вектора. Действия над векторами в координатной форме.

  49. Скалярное произведение векторов.

  50. Угол между векторами.

  51. Длина вектора. Разложение вектора по координатным векторам.

  52. Формула расстояния между двумя точками. Координаты середины отрезка.

  53. Дайте определение тригонометрическим функциям через единичную окружность?

  54. Какой координате точки соответствует значение синуса угла?

  55. Какой координате точки соответствует значение косинуса угла?

  56. Перечислите основные тригонометрические тождества.

  57. Как определяются знаки тригонометрических функций по четвертям?

  58. Какие тригонометрические функции являются четными и какие - нечетными? Почему?

  59. Выразите тригонометрические функции через синус, косинус, тангенс и котангенс соответственно.

  60. При каких вычислениях необходимо знание формул приведения?

  61. Сформулируйте правило записи формул приведения.

  62. Как выполняется понижение степени тригонометрических функций?

  63. При каких вычислениях необходимо знание формул сложения?

  64. При каких вычислениях необходимо знание формул двойного и половинного аргумента?

  65. Основные тригонометрические формулы.

  66. Простейшие тригонометрические уравнения. Частные случаи.

  67. Неравенства какого вида называются тригонометрическими?

  68. Основные методы решений тригонометрических уравнений и неравенств.

  69. Основные методы решений тригонометрических уравнений и неравенств.

  70. Что называют функцией?

  71. Что называют областью определения функции?

  72. Что называют множеством значений функции?

  73. Какая функция является четной?

  74. Если известен график функции f(x), как построить график функции y = f(x - b), y = f(x + b), y = f(x) + m, y = f( - x), y = - f(x), y = f(kx), y = kf(x), y = | f(x) |

  75. Степенные функции их свойства и графики?

  76. Показательная функция, ее свойства и график?

  77. Логарифмическая функция, ее свойства и график?

  78. Как построить график функции f(кx), если известен график функции f(x)?

  79. Как построить график функции f(кx), если известен график функции f(x)?

  80. Как построить график функции kf(x), если известен график функции f(x)?

  81. Как построить график функции kf(x), если известен график функции f(x)?

  82. Понятие рационального уравнения и основные методы их решения.

  83. Понятие дробно-рационального уравнения и основные методы их решения.

  84. Понятие иррационального уравнения и основные методы их решения.

  85. Уравнение какого вида называется показательным?

  86. Уравнение какого вида называется логарифмическим?

  87. Методы решения показательных уравнений.

  88. Методы решения логарифмических уравнений.

  89. Неравенства какого вида называются линейными?

  90. Неравенства какого вида называются рациональными?

  91. Неравенства какого вида называются иррациональными.

  92. Неравенства какого вида называются показательными?

  93. Неравенства какого вида называются логарифмическими?

  94. Сформулируйте основные правила, на которых основано вычисление пределов.

  95. Сформулируйте определение производной функции в точке.

  96. В чем состоит геометрический смысл производной?

  97. В чем состоит физический смысл производной?

  98. Правила дифференцирования.

  99. Формулы дифференцирования.

  100. Определение точки минимума и точки максимума.

  101. Определение критической точки.

  102. Необходимое условие, чтобы точка х0 была точкой экстремума.

  103. Алгоритм нахождения критических точек функции.

  104. Определение стационарных точек.

  105. Теорема Ферма (необходимое условие экстремума функции).

  106. Достаточные условия существования экстремума функции .

  107. Достаточный признак возрастания, убывания функции.

  108. Алгоритм нахождения экстремумов функции.

  109. Алгоритм нахождения наибольшего и наименьшего значения функции на отрезке.

  110. Выпуклость функции. Точки перегиба.

  111. Дайте определение первообразной.

  112. Сформулируйте основное свойство первообразных.

  113. В чем заключается геометрический смысл основного свойства первообразной?

  114. Сформулируйте три правила нахождения первообразных.

  115. Какую фигуру называют криволинейной трапецией?

  116. Запишите формулу для вычисления площади криволинейной трапеции.

  117. Объясните, что такое интеграл?

  118. В чем заключается геометрий смысл интеграла?

  119. Запишите формулу Ньютона- Лейбница.

  120. Назовите несколько примеров применения определенного интеграла в геометрии и физике.

  121. Какая связь существует между операциями дифференцирования и интегрирования?

  122. Методы нахождения площадей плоских фигур?

  123. По какой формуле находиться путь, пройденный телом, если тело движется неравномерно в одном направлении и скорость его меняется в зависимости от времени t?

  124. По какой формуле находиться работа, затраченная на растяжение или сжатие пружины от начальной длины x0 до длины после растяжения ( сжатия) x1?

  125. По какой формуле находиться сила давления жидкости на вертикально расположенную в ней пластину произвольной формы, если верхний край погружен на глубину a, а нижний - на глубину b?

  126. Назовите несколько примеров применения определенного интеграла в геометрии и физике.

  127. Дайте определение призмы?

  128. Назовите основные элементы призмы?

  129. Назовите виды призм?

  130. Понятие многогранника, выпуклого многогранника.

  131. Параллелепипед. Свойства параллелепипеда. Куб.

  132. Дайте определение пирамиды?

  133. Назовите основные элементы пирамиды?

  134. Дайте определение цилиндра?

  135. Назовите основные элементы цилиндра?

  136. Понятие тела вращения.

  137. Дайте определение конуса?

  138. Назовите основные элементы конуса?

  139. Дайте определение сферы?

  140. Назовите основные элементы сферы?

  141. Назовите уравнение сферы.

  142. Дайте определение шара?

  143. Назовите основные элементы шара?

  144. Назовите формулу площади полной и боковой поверхности, объема призмы, параллелепипеда, куба.

  145. Назовите формулу площади полной и боковой поверхности, объема пирамиды, усеченной пирамиды.

  146. Назовите формулу площади полной и боковой поверхности, объема цилиндра.

  147. Назовите формулу площади полной и боковой поверхности, объема конуса, усеченного конуса.

  148. Назовите основные формулы сферы и шара.

  149. Определение комбинаторики.

  150. Назовите основные модели комбинаторных конфигураций (соединения).

  151. Определение события. Виды событий.

  152. Классическое определение вероятности.

  153. Определение математической статистики.

  154. Назовите основные элементы математической статистики.

Справочная литература:

  1. Александров, А.Д. Математика: алгебра и начала математического анализа, геометрия. Геометрия. 10-11 классы : учебник / А.Д. Александров, Л.А. Вернер, В.И. Рыжик. – М.: Издательство «Просвещение», 2020. – 257 с. – ISBN: 978-5-09-062551-7 / - Текст: непосредственный

  2. Мордкович, А.Г. Алгебра и начала математического анализа. 10 класс: В 2 ч. Ч. 1. Учебник для учащихся общеобразовательных учреждений (профильный уровень) / А.Г. Мордкович, П.В. Семенов. - М. : Мнемозина, 2020. - 457 с. – ISBN: 978-5-346-01200-9 / - Текст: непосредственный

  3. Мордкович, А.Г. Алгебра и начала математического анализа. 11 класс: В 2 ч. Ч. 1. Учебник для учащихся общеобразовательных учреждений (профильный уровень) / А.Г. Мордкович, П.В. Семенов. - М. : Мнемозина, 2020. - 351 с. – ISBN 978-5-346-03199-4/ - Текст: непосредственный

  4. Мордкович, А.Г. Алгебра и начала математического анализа. 10 класс: В 2 ч. Ч. 2. Задачник для учащихся общеобразовательных учреждений (профильный уровень) /А.Г. Мордкович, Л.О. Денищева, Л.И. Звавич [и др.] - М. : Мнемозина, 2020. - 336 с. – ISBN: 978-5-346-01202-3/ - Текст: непосредственный

  5. Мордкович, А.Г. Алгебра и начала математического анализа. 11 класс: В 2 ч. Ч. 2. Задачник для учащихся общеобразовательных учреждений (профильный уровень) / А.Г. Мордкович, Л.О. Денищева, Л.И. Звавич [и др.],- М. : Мнемозина, 2020. - 137 с. – ISBN: 978-5-346-02411-8/ - Текст: непосредственный

3.2.2. Электронные издания (электронные ресурсы):

1. Всероссийские интернет-олимпиады. - URL: https://online-olympiad.ru/.

2. Единая коллекция цифровых образовательных ресурсов. - URL: http://school-collection.edu.ru /.

  1. Информационная система «Единое окно доступа к образовательным ресурсам». - URL: http://window.edu.ru /.

  2. Справочник по математике для школьников. - URL:https://www.resolventa.ru/demo/demomath.htm /.

  3. Федеральный портал «Российское образование». - URL:http://www.edu.ru /.

  4. Федеральный центр информационно-образовательных ресурсов. - URL: http://fcior.edu.ru /.

3.2.3 Дополнительные источники:

1. Алимов, Ш. А. Математика: алгебра и начала математического анализа, геометрия. Алгебра и начала математического анализа. 10-11 классы: учеб. для общеобразоват. организаций: базовый и углубл. уровни / Ш.А. Алимов, Ю.М. Колягин и др. – М.: Просвещение, 2016. – 463 с.

2. Атанасян, Л. С. Геометрия 10-11 классы: учеб. для общеобразоват. учреждений: базовый и углубл. Уровни / Л.С. Атанасян, В.Ф. Бутузов, и др. – М.: Просвещение, 2020. – 206 с.

Свидетельство участника экспертного совета жюри

Свидетельство можно заказать сразу, как Вы оставите не менее 3 объективных комментариев в этом разделе сайта.

У вас недостаточно прав для добавления комментариев.

Чтобы оставлять комментарии, вам необходимо авторизоваться на сайте. Если у вас еще нет учетной записи на нашем сайте, предлагаем зарегистрироваться. Это займет не более 5 минут.