Внеклассное мероприятие " Интеллектуальная игра в мире IT"
МЕТОДИЧЕСКАЯ РАЗРАБОТКА
внеклассного мероприятия
интеллектуальная игра
«Турнир-МирIT»
Разработала: Карасова А.А.
2023-2024 учебный год
ВНЕКЛАССНОЕ МЕРОПРИЯТИЕ
ИНТЕЛЛЕКТУАЛЬНАЯ ИГРА «Турнир-Мир IT»
Цели:
Образовательная:выявление способностей и уровня знаний, умений и навыков по дисциплинам «Информационные технологии в профессиональной деятельности»; повторение и закрепление основного материала, представленного в неординарных ситуациях.
Развивающая:развитие интеллектуального потенциала студентов, творческих способностей, навыков культуры общения и коллективной работы.
Воспитательная:воспитание уважения к сопернику, умения достойно вести спор, стойкости, воли к победе, находчивости.
Оборудование и наглядные пособия: мультимедийный проектор, ПК, презентации, раздаточный материал.
Форма проведения: игра.
Участники:пять команд (представители группы П-370)
Ход мероприятия
1) Организационный момент
Ведущий: Добрый день, дорогие друзья! Мы рады приветствовать всех кто здесь присутствует. И приглашаем вас на интеллектуальную игру «Турнир-Мир IT», во время которой вы продемонстрируете не только знания информационных технологий, но и свои интеллектуальные способности, уважение к соперникам, стойкость, волю к победе, и свою находчивость.
Итак, мы начинаем. Но давайте напомним вам правила игры:
За каждый конкурс команда получает баллы.
За нарушение дисциплины и правил игры команды теряют баллы.
Сегодняшний конкурс судит очень компетентное жюри и наши эксперты (представление студентов 4 курса, членов жюри).
Ведущий:Поприветствуем наших дорогих гостей.
2) Приветствие команд.
А теперь настало время познакомиться с нашими командами, это участники группы П-370. Задача команд – обосновать название команды, девиз и представить участников (слово предоставляется командам).
Ведущий:Теперь когда мы познакомились с командами мы можем начинать игру «Турнир IT»
3) Конкурсы
Первый тур «Сборка ПК».
Командам нужно выбрать участника для этого конкурса. Конкурсантом нужно собрать правильно компьютер и протестировать его работу. Команда которая соберет системный блок быстрее получит максимальный бал.
Ведущий:Интересные факты
Второй тур Домашнее задание «Работа с карточками».
Ведущий:Переходим к следующему конкурсу, который называется«Работа с карточками». Наши команды подготовили друг другу задания. Команды обмениваются карточками. Время на ответы 5 минут.
Ведущий:Интересные факты
Третий тур «Обжимка кабеля».
Ведущий:Задача конкурса заключается в правильном обжимке кабеля, для подключения интернета. Максимальное время на выполнение задания 10 минут.
Пятый тур «Собери».
Ведущий:Наш следующий конкурс конкурс «Собери».Командам предлагается разобранная клавиатура, нужно ее собрать. Команда, которая правильно и быстрее всех выполнит это задание, получает 3 балла. Время на выполнение 3 минуты.
Шестой тур «Блиц-опрос».
Ведущий:Начинаем наш последний конкурс «Блиц-опрос». Индивидуальный зачет участников. Участники команды отвечают по очереди. Каждой команде будет задано 12 вопросов. Нужно быстро ответить на них. На ответы вам предоставляется 2 минуты. Пока вы не ответили на вопрос (правильно или нет), я не назову следующий вопрос. За каждый правильный ответ - 1 балл. За ошибочный ответ - 0 баллов. Максимальное количество 12 баллов. Будьте внимательны, не ошибайтесь! После вашего ответа, я буду называть правильный ответ. Жюри в свою очередь фиксировать количество правильных ответов. Критерием оценки служит точность ответа.
Вопросы для первой команды:
Стандартное устройство для ввода алфавитно-цифровых данных в ПК? (Клавиатура)
От чего зависит быстродействие компьютера? (тактовая частота процессора)
Комбинация символов после точки в имени файла, которая определяет тип файла? (Расширение)
Компьютерные сети, расположенные в пределах одного здания. (Локальные)
Компьютер сети, предоставляющие свои ресурсы в общий доступ? (Сервер)
Совокупность всех программ и соответствующей документации, обеспечивающая целесообразное использование ЭВМ в интересах каждого его пользователя? (Программное обеспечение)
Строки в табличном процессоре Excel обозначаются…? (числами)
Текст, повторяющийся вверху или внизу страницы в текстовом редакторе Word. (Колонтитул)
Специальная программа для управления внешними устройствами компьютера? (Драйвер)
Какая связь между городом в Англии, ружьем калибра 30х30 и одним из элементов компьютера? (Все они связаны со словом "винчестер").
Элементная база первых ЭВМ? ( электронные лампы).
Какая программа позволяет выполнять рабочие чертежи и схемы? (САПР, КОМПАС )
Вопросы для второй команды:
При перемещении или копировании в электронной таблице Excel абсолютные ссылки (не изменяются)
Манипулятор, употребляется в основном для компьютерных игр? (Джойстик)
Совокупность знаний, сведений и данных? (Информация)
Что общего между папирусом, берестяной грамотой, книгой и флешкой? (Хранение информации).
Перечислите типы модулей оперативной памяти. (SIMM, DIMM, RIMM).
Устройство для считывания графической и текстовой информации в компьютер? (Сканер)
Программа просмотра веб-страниц с возможностью перехода к следующей по гиперссылкам? (Браузер)
Центральный «мозг» компьютера, предназначенный для переработки информации? (Процессор)
Какая из этих поисковых систем не Российская YANDEX; APORT; GOOGLE; RAMBLER
(GOOGLE)
Компьютерный слайд-фильм. (Презентация)
Базовая программа, обеспечивающая совместное функционирование всех устройств компьютера и предоставляющая пользователю доступ к его ресурсам.
(Операционная система)
Где хранится программа, которую в данный момент обрабатывает процессор (ОЗУ, оперативная память).
4) Подведение итогов и награждение
Ведущий:Благодарим вас за участие в сегодняшней игре, желаем вам успехов в изучении информатики. Хочется также поблагодарить всех гостей, которые пришли к нам и помогли провести игру, следя за ее ходом.
Пришло время подвести итоги нашей игры (слово предоставляется жюри, награждается победившая команда). Слово предоставляется жюри. До свидания! Спасибо за внимание!
Вот настал момент прощанья,
Будет краткой моя речь -
Говорю вам: «До свиданья,
До счастливых новых встреч!»





На выполнение задания отводится 5 – 7 минут.

Вернаяпрограмма:
programprimer;
vara,c:real;
i:integer;
begin
read(a);
fori:=1to5doc:=a+a*i;
writeln('с=',c);
end.
Карточка – 11) Найти ошибку в программе:
programпример;
vara,c real;
i: integer;
reat(a);
fori:=1to5doc:=a+a*i;
writeln('с=' c);
end.
2) Написать программу на языке Паскаль по приведенной блок-схеме …


Программа:
program primer;
var a, b, max: integer;
begin
read (a, b);
if a>bthen max:=a
else
max:=b;
writeln ('max=', max);
end.

Вернаяпрограмма:
programq5;
vara, b, c:integer;
begin
a:=-3;
b:=2;
c:=a+b;
ifc <0then
begin
writeln ('c=', c);
writeln('Число c – отрицательное.');
end;
end.
Карточка – 21) Найти ошибку в программе:
program5q;
vara, b: integer;
begin
a=-3;
b:=2;
c:=a+b
ifc <0 then
begin
writeln ('c=', c);
writeln('Число c – отрицательное.');
end.
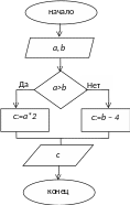
2) Написать программу на языке Паскаль по приведенной блок-схеме …



Программа:
program primer;
var a, b, c: integer;
begin
read (a, b);
if a>bthen c:=a*2
else
c:=b-4;
writeln ('c=', c);
end.
Вопрос 1
Укажите оператор присваивания…
:=
=
#
$
Вопрос 2
Укажите верные имена переменных…
imax
min
5q
сумм
Вопрос 3
Укажите оператор вывода информации…
begin
random
read
write
Вопрос 4
Укажите оператор ввода информации…
begin
random
read
write
Вопрос 5
Условный оператор...
for… to… do…
if… then… else…
while… do…
repeat… until...
Вопрос 6
Цикл с параметром...
for… to… do…
if… then… else…
while… do…
repeat… until...
Вопрос 7
Цикл с предусловием...
for… to… do…
if… then… else…
while… do…
repeat… until...
Вопрос 8
Цикл с постусловием...
for… to… do…
if… then… else…
while… do…
repeat… until...
Вопрос 9
Укажите верную запись описания массива...
var х: array [1..10] integer;
var х array [1..10] integer;
varх: array [1 ... 10] of integer;
var х: array (1..10) integer;
Вопрос 10
Какое значение примет переменная b после выполнения оператора b: = 25 mod 10?
2
5
0
1
Вопрос 11
Какое значение примет переменная b после выполнения оператора b: = 25 div 10 ?
2
5
0
1
Вопрос 12
Определите значение переменной а после выполнения фрагмента программы:
а:=10;
b:= а * 2;
а: = а + b;
10
20
30
40
Вопрос 13
Определите значение переменной s после выполнения фрагмента программы:
s:=5;
а: = s * 2;
s:=4;
2
10
5
4
Вопрос 14
Определите значение переменной s после выполнения фрагмента программы:
s:=0;
for i: = 1 to 5 do
s: = s + 1;
writeln(s);
5
10
0
1
Вопрос 15
Определите значение переменной a после выполнения фрагмента программы:
а: = 1;
for i: = 3 to 5 do
а: = а + i;
writeln(а);
13
8
4
1
Вопрос 16
Укажите верно записанное условие "Число х кратно 3, но не кратно 5"
x mod 3 = 0 and x mod 5> <0
(x mod 3 = 0) and (x mod 5 <> 0)
(x mod 3 = 0) or (x mod 5 <> 0)
x mod 3 <> 0 and x mod 5 = 0
Вопрос 17
Случайное число из промежутка [0; 50] ...
random (51)
random (50)
random (51) + 1
10 + random (50)
Вопрос 18
Определите значение переменной p после выполнения фрагмента программы:
p:=1;
для i: = от 1 до 5 p: = p * i;
writeln (р);
6
24
120
2
Вопрос 19
Укажите правильные варианты записи оператора вывода...
writeln('ответ', с);
writeln (с: 5: 2);
writeln(ответ,с);
writeln (с);
writeln('ответ'),(с);
Вопрос 20
Укажите верную запись оператора IF…
if x<>0 then 'Плохо!'
else 'Молодец!';
if x=0 then write('Молодец!')
else write('Плохо!');
if x=0 then write(Молодец!)
else write(Плохо!);
По окончании, в личном кабинете, в «Мои отчёты» учитель скачивает результаты в Excel.
Команда 1 ___________________________
№ | Вид работы | Критерий оценки | Оценка |
1 | Сборка ПК | На время 1и правильно-5 Правильно 2-4 Правильно3-3 Не правильно-0 | |
2 | Работа с карточками | ||
Найди ошибку | Нашли: 1 - 2 ошибки – "3" 3 - 4 ошибки – "4" 5 ошибок – "5" | ||
Составить программу | не написали программу – "0" Допустили в составлении программы: 3 ошибки – "3" 1 - 2 ошибки – "4" 0 ошибок – "5" | ||
3 | Обжимка кабеля | Правильно по цвету -3 Есть сеть-5 Нет сети -0 | |
4 | Ардуино | На время 1и правильно-5 Правильно 2-4 Правильно3-3 Не правильно-0 | |
ИТОГО | |||
Команда 2 ___________________________
№ | Вид работы | Критерий оценки | Оценка |
1 | Сборка ПК | На время 1и правильно-5 Правильно 2-4 Правильно3-3 Не правильно-0 | |
2 | Работа с карточками | ||
Найди ошибку | Нашли: 1 - 2 ошибки – "3" 3 - 4 ошибки – "4" 5 ошибок – "5" | ||
Составить программу | не написали программу – "0" Допустили в составлении программы: 3 ошибки – "3" 1 - 2 ошибки – "4" 0 ошибок – "5" | ||
3 | Обжимка кабеля | Правильно по цвету -3 Есть сеть-5 Нет сети -0 | |
4 | Ардуино | На время 1и правильно-5 Правильно 2-4 Правильно3-3 Не правильно-0 | |
ИТОГО | |||
Команда 3 ___________________________
№ | Вид работы | Критерий оценки | Оценка |
1 | Сборка ПК | На время 1и правильно-5 Правильно 2-4 Правильно3-3 Не правильно-0 | |
2 | Работа с карточками | ||
Найди ошибку | Нашли: 1 - 2 ошибки – "3" 3 - 4 ошибки – "4" 5 ошибок – "5" | ||
Составить программу | не написали программу – "0" Допустили в составлении программы: 3 ошибки – "3" 1 - 2 ошибки – "4" 0 ошибок – "5" | ||
3 | Обжимка кабеля | Правильно по цвету -3 Есть сеть-5 Нет сети -0 | |
4 | Ардуино | На время 1и правильно-5 Правильно 2-4 Правильно3-3 Не правильно-0 | |
ИТОГО | |||
Команда 4 ___________________________
№ | Вид работы | Критерий оценки | Оценка |
1 | Сборка ПК | На время 1и правильно-5 Правильно 2-4 Правильно3-3 Не правильно-0 | |
2 | Работа с карточками | ||
Найди ошибку | Нашли: 1 - 2 ошибки – "3" 3 - 4 ошибки – "4" 5 ошибок – "5" | ||
Составить программу | не написали программу – "0" Допустили в составлении программы: 3 ошибки – "3" 1 - 2 ошибки – "4" 0 ошибок – "5" | ||
3 | Обжимка кабеля | Правильно по цвету -3 Есть сеть-5 Нет сети -0 | |
4 | Ардуино | На время 1и правильно-5 Правильно 2-4 Правильно3-3 Не правильно-0 | |
ИТОГО | |||
Команда 5 ___________________________
№ | Вид работы | Критерий оценки | Оценка |
1 | Сборка ПК | На время 1и правильно-5 Правильно 2-4 Правильно3-3 Не правильно-0 | |
2 | Работа с карточками | ||
Найди ошибку | Нашли: 1 - 2 ошибки – "3" 3 - 4 ошибки – "4" 5 ошибок – "5" | ||
Составить программу | не написали программу – "0" Допустили в составлении программы: 3 ошибки – "3" 1 - 2 ошибки – "4" 0 ошибок – "5" | ||
3 | Обжимка кабеля | Правильно по цвету -3 Есть сеть-5 Нет сети -0 | |
4 | Ардуино | На время 1и правильно-5 Правильно 2-4 Правильно3-3 Не правильно-0 | |
ИТОГО | |||
КАРТОЧКА – 1
_________________________________________________
1) Найти ошибку в программе:
programпример;
vara,c real;
i: integer;
reat(a);
fori:=1to5doc:=a+a*i;
writeln('с=' c);
end.
2) Написать программу на языке Паскаль по приведенной блок-схеме…


________________________________________________
________________________________________________
________________________________________________
________________________________________________
________________________________________________
________________________________________________
________________________________________________
________________________________________________
________________________________________________
________________________________________________
________________________________________________
________________________________________________
КАРТОЧКА – 2
_________________________________________________
1) Найти ошибку в программе:
program5q;
vara, b: integer;
begin
a=-3;
b:=2;
c:=a+b
ifc <0 then
begin
writeln ('c=', c);
writeln('Число c – отрицательное.');
end.
2) Написать программу на языке Паскаль по приведенной блок-схеме …



________________________________________________
________________________________________________
________________________________________________
________________________________________________
________________________________________________
________________________________________________
________________________________________________
________________________________________________
________________________________________________
________________________________________________
________________________________________________
Чтобы оставлять комментарии, вам необходимо авторизоваться на сайте. Если у вас еще нет учетной записи на нашем сайте, предлагаем зарегистрироваться. Это займет не более 5 минут.