МЕТОДИЧЕСКАЯ РАЗРАБОТКА «В МАСТЕРСКОЙ ХУДОЖНИКА»
План проведения открытого внеаудиторного мероприятия
по дисциплине «Математика»
«В МАСТЕРСКОЙ ХУДОЖНИКА»
Дата:
Время:1415
Кабинет: № 29
Группа:группы М-11, А-11, Э-11, Г-11, Г-12, П-11.
Преподаватель: Горина Ю.И.
Дисциплина:«Математика»
Форма проведения: конкурс:
Цели:
Образовательные:
- повторение и закрепление приобретённых знаний.
Воспитательная:
- воспитание культуры личности;
- воспитание отношения к математике, как к части общечеловеческой культуры, играющей особую роль в общественном развитии.
- воспитание ответственности, самостоятельности, умения работать в коллективе.
Развивающая:
- развитие приёмов умственной деятельности, памяти, внимания, умения сопоставлять, анализировать, делать выводы;
- повышение информационной культуры учащихся, интереса к предмету;
- развитие познавательной активности, положительной мотивации к предмету.
Методическая:
- показать нетрадиционные формы внеклассной работы по математике с целью формирования и развития представлений о математических объектах и понятиях, об их роли в отражении реальных объектов и явлений.
Задачи:
- создание условий для вовлечения студентов в изучение математики;
- рассмотрение практического применения математических знаний в современном мире;
- создание благоприятной атмосферы, позволяющей объединить обучающихся в коллектив.
Оформление и оснащение:
Плакаты.
Тематические газеты.
Карточки с заданиями.
Мультимедийная установка.
План:
Вступительное слово ведущего. Представление команд и членов жюри.
I ТУР.
Игра со зрителями «Угадай высказывание».
II ТУР.
Игра со зрителями «Великих людей надо знать в лицо».
III ТУР.
Игра со зрителями «Пословицы графиками функций».
СУПЕР ИГРА.
Подведение итогов. Награждение.
Заключительное слово.
Литература:
«Большая энциклопедия Кирилла и Мефодия», в электронном виде 2CD, 2008.
«Дидактические игры на уроках математике», «Просвещение», 2010.
«Открытая математика. Функции и графики» версия 2.6 – в электронная версия 1 CD.
Преподаватель: Горина Ю.И.
Министерство образования Саратовской области
Государственное автономное профессиональное
образовательное учреждение Саратовской области
«Балашовский техникум механизации сельского хозяйства»
МЕТОДИЧЕСКАЯ РАЗРАБОТКА
Конкурс «В МАСТЕРСКОЙ ХУДОЖНИКА»
ПО ДИСЦИПЛИНЕ:
«МАТЕМАТИКА»
Авторы: Горина Ю. И.
Балашов 20 год
Аннотация
на методическую разработку открытого внеаудиторного мероприятия по дисциплине «Математика», конкурс «В мастерской художника»
Дисциплина: математика
Преподаватели:Горина Юлия Ивановна
Учебное заведение: ГАПОУ СО Балашовский техникум механизации сельского хозяйства.
Содержание
Объём 19 листов. Внеклассное занятие по математике проводится как итог предметной недели. В ходе внеклассного занятия студенты знакомятся с биографией великих математиков, используются математические фокусы, ребусы, головоломки. Данный материал позволит преподавателям математики подготовить и провести внеклассное мероприятие, поможет сэкономить время, сформировать мотивацию учения, привить студентам интерес и любовь к своему предмету, внесет разнообразие в студенческую жизнь. Использование музыкального оформления и применения мультимедийных презентаций делает мероприятие более зрелищным и оригинальным.
Мероприятие пройдет в виде конкурса, которое состоит из разнообразных заданий подобранных преподавателями. Конкурс включает в себя несколько туров, разные по сложности заданий.
В ходе мероприятия используются наглядный материал (карточки с заданиями), сигнальные карточки.
Методическая разработка математический конкурс предназначен для использования другими преподавателями.
ПРЕДИСЛОВИЕ.
Основная задача обучения математике заключается в обеспечении прочного и сознательного овладения студентами системой математических знаний и умений, необходимых в повседневной жизни и трудовой деятельности каждому члену современного общества.
Существенным условием повышения эффективности обучения математике является формирование у студентов устойчивого интереса к предмету, развитие их математических способностей, систематическое включение в самостоятельную познавательную деятельность.
Как изжить скуку на уроке? Как сделать учение интересным для студентов? Как разбудить у студента стремление работать над собой, стремление к творчеству? Проблема формирования когнитивного интереса студентов к учению относится к числу наиболее актуальных в современной педагогической науке и практике.
Одной из эффективных форм повышения качества обучения служат внеклассные мероприятия. Они способствуют более глубокому и прочному овладению изучаемого материала, прививая навыки самостоятельной работы, развивая познавательный интерес к предмету и творческие способности студентов.
Отдельные студенты, с ярко выраженными способностями, могут участвовать в олимпиадах, заниматься на факультативах и в кружках по индивидуальной программе. Более широкой круг студентов заинтересовать и увлечь предметом позволяют командные соревнования. Причастность к коллективной борьбе за победу, возможность принести команде пользу часто имеет решающее значение для пробуждения интереса к предмету. Такие соревнования способствуют воспитанию у студентов многих качеств, полезных и важных для их будущей профессии.
Конкурс является одной из форм внеклассной работы. Систематической внеклассной работой по математике охватываются большинство студентов. В турнире заняты не только студенты, увлеченные математикой, но и те, которые не тяготеют еще к математике, не выявили своих способностей и наклонностей. Наблюдения показывают, что многие студенты, даже слабые, в свободное время охотно принимают участие в проведении игровых занятий.
Предлагаемый Вашему вниманию, математический конкурс «В мастерской художника», направлен на развитие познавательного интереса студентов к математике, воспитание стремления к непрерывному интеллектуальному самосовершенствованию. Конкурсная составляющая мероприятия способствует формированию чувства солидарности и здорового соперничества.
Знакомство с историческим материалом расширяет интеллектуальный багаж каждого человека. Вопросы, связанные с прикладной направленностью математики, способствуют развитию интереса к предмету и к профессиям, связанных с ней, несут познавательную информацию. Решение нестандартных и логических задач позволяет формировать интеллектуальные способности, развивать воображение и логическое мышление. Решение занимательных задач развивает любознательность, сообразительность, наблюдательность.
Использование ИКТ делает это мероприятие красочным, запоминающимся и достаточно простым в подготовке и проведении. Методическая разработка может быть использована в рамках недели математики в образовательных учреждениях.
СОДЕРЖАНИЕ:
Предисловие………………………………………………………………………3
Основная часть……………………………………………………………………6
Заключение……………………………………………………………………….24
Литература………………………………………………………………………..25
Приложения ……………………………………………………………………...26
ОСНОВНАЯ ЧАСТЬ.
ЦЕЛИ МЕРОПРИЯТИЯ:
Познавательная:обобщение и систематизация знаний студентов; закрепление основных понятий базового уровня; контроль и оценка уровня знаний студентов; ознакомление с известными учеными математиками древности и нашего времени; формирование системно-информационного подхода к анализу окружающего мира;
Воспитательная:воспитание сознательной дисциплины и норм поведения; воспитание ответственности, умения принимать самостоятельные решения; воспитание духа соревнования; стремление к непрерывному совершенствованию своих знаний; способствовать воспитанию "чувства локтя" и дружбы среди студентов.
Развивающая: развитие познавательного интереса; логического мышления и внимания, математических способностей, сообразительности, любознательности; формирование потребности в приобретении знаний и укрепление памяти; развитие коммуникативных возможностей в процессе подготовки к внеклассным занятиям по предмету.
Методическая:показать нетрадиционные формы внеклассной работы по математике со студентами, с целью формирования и развития представлений о математических объектах и понятиях, об их роли в отражении реальных объектов и явлений.
ЗАДАЧИ:
Создание условий для вовлечения студентов в изучение математики.
Рассмотрение практического применения математических знаний в современном мире.
Ознакомление с историей возникновения математики.
Создание благоприятной атмосферы, позволяющей объединить студентов в коллектив.
ФОРМА ПРОВЕДЕНИЯ:конкурс.
МЕТОДИЧЕСКИЕ ПРИЁМЫ: игровые технологии.
ФОРМЫ ОРГАНИЗАЦИИ РАБОТЫ СТУДЕНТОВ: групповая.
МЕСТО ПРОВЕДЕНИЯ:кабинет 29
ОСНАЩЕНИЕ МЕРОПРИЯТИЯ:
- таблички с названием команд;
- ноутбук (ПК), видеопроектор, экран, колонки, цифровой фотоаппарат;
-математические газеты;
- плакаты болельщиков, карточки с заданиями;
- портреты Великих математиков, высказывания учёных;
-жетоны для активных зрителей;
-сводная таблица результатов по конкурсам;
- призы.
ЛИТЕРАТУРА.
«Большая энциклопедия Кирилла и Мефодия», в электронном виде 2CD, 2008.
«Дидактические игры на уроках математике», «Просвещение», 2010.
«Открытая математика. Функции и графики» версия 2.6 – в электронная
версия 1 CD.
ПЛАН:
Вступительное слово преподавателя. Представление команд и членов жюри.
I ТУР.
Игра со зрителями «Угадай высказывание».
II ТУР
Игра со зрителями «Великих людей надо знать в лицо».
III ТУР
Игра со зрителями «Пословицы графиками функций».
СУПЕР ИГРА
Подведение итогов.
Награждение.
Заключительное слово.
ХОД МЕРОПРИЯТИЯ.
«В чистой математике
живет всегда художник :
архитектор и даже поэт ».
Принсгейм А.
Вступительное слово преподавателя.
В курсе алгебры мы познакомились с рядом функций и их графиками. В одной координатной плоскости находили точки пересечения графиков функций, строили графики функций, содержащие модули, изображали множества точек, задаваемых неравенствами (системами). Порой при построении нескольких графиков различных функций и уравнений на одной координатной плоскости невольно «рисовались» интересные фигуры, орнаменты и сегодня мы хотим провести мероприятие которое будет называться «В мастерской художника» где Вам будет предложено
«нарисовать» на координатной плоскости , а затем используемые линии и части плоскости закодировать на математическом языке с помощью формул функций, уравнений и посмотреть что получится. И ведет сегодняшнее мероприятие Быков Александр(Ф.И.О. ведущих).
Ведущий:Мы рады приветствовать всех собравшихся. Приветствуем всех, кто любит математику, кто учит математику, кто занимается и увлекается математикой. Наше мероприятие посвящено самой точной, самой важной, самой нужной из наук - математике!
Математика - наука
Она - гимнастика ума.
Есть в ней точность и смекалка,
Цифры, буквы и ... игра.
Тот, кто учит, понимает,
Что наука нам нужна
Так как в трудной жизни нашей
Без нее никак нельзя:
Математика повсюду,математика везде.
Тот, кто учит, понимает...
И порядок в голове.
Ведущий 1: Встречу студентов групп будет судит очень компетентное жюри в составе:
Председатель: человек, который не имеет никакого отношения к математике, а потому будет очень объективен к участникам, и к тому же обладает большим педагогическим опытом, очень тонким юмором и большой популярностью у старшекурсников: Горбачева Вера Викторовна - методист техникума.
Члены жюри: председатель цикловой комиссии математических и общихестественно-научных дисциплин, авторитет в сфере воспитания молодого поколения; человек, имеющий прямое отношение к математике: Сеселкина Оксана Сергеевна - преподаватель информатики и ИКТ.
Ведущий: И наконец, лучший знаток математики – студент нашего техникума Попов Андрей группа Э-31 (Ф.И.О.)
Ведущий:А также ребята, пришедшие поболеть и поучаствовать в мероприятии - это студенты групп М-11, А-11, Э-11, Г-11, Г-12, П-11. Поприветствуем их.
Ведущий: Все участники крутые
Выступать им не впервой,
И ребята удалые –
Так и рвутся прямо в бой! –
Итак, мы начинаем!
Ведущий:Наш конкурс состоит из трех туров. Победитель всех туров участвует в СУПЕР ИГРЕ.
ПЕРВЫЙ ТУР
Ведущий:Перед вами карточка - задание. Выполните представленные на ней задания.На работу отводится 10 минут. По истечении времени работы собираются ипередаются жюри,которое подведет итоги первого тура и определит кто из участников конкурса продолжит наше соревнование. Во второй тур выходя четыре команды набравшие наибольшее количество балов.
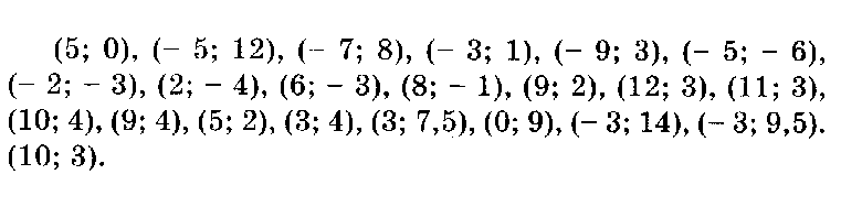
Задания первого тура.По данным координатам точек нужно нарисовать знакомую картинку. На координатной плоскости отмечаем точки, заданные своими координатами, в порядке их следования. А затем соединяем каждую точку с предыдущей кривой или отрезком. Каждое задание оценивается определенным количеством балов. Первое задание оценивается в 1 балл, второе соответственно в 2 балла.
Карточка- задание №1.
З
адание 1. По данным координатам точек нарисуйте рисунок координатной плоскости
.
О
твет:
«Голубь»
Задание 2. Решить квадратное уравнение. В скобках после каждого уравнения указан код
или
– координаты точек плоскости.
-меньшее значение корня,
–большее и нарисовать рисунок на координатной плоскости
.
Ответ:« Настольная лампа».
Игра с болельщиками «Угадай высказывание».
Ведущий:А сейчас внимательно посмотрите на экран и попробуйте угадать высказывание великого математика Гаусса, зашифрованные с помощью математических знаков, фигур и обозначений.

Ответ (математика – царица наук).
Ведущий: Наши команды готовы, попросим уважаемое жюри подвести итоги.
ВТОРОЙ ТУР
Ведущий: Переходим к следующему туру. Во второй тур вышли следующие команды……. Итак, задание для второго тура.
Карточка-задание №2.
Задание 1. Постройте фигуру с помощью следующихграфиковлинейныхфункций.
1
.
Ответ: рыбка
2.
3.
4.
5.
6.
7.
8.
З
адание 2. Перед вами рисунок его необходимо описать с помощью уравнений с двумя переменными.
ответ:
Игра с болельщиками "Великих людей надо знать в лицо".
Ведущий: А пока наши команды выполняют задания мы предлагаем игру с болельщиками"Великих людей надо знать в лицо". Перед вами портреты великих людей: Л.Н. Толстого, М.В. Ломоносова, А.С. Пушкина, К. Гаусса, А.Н. Колмогорова, Д.И. Менделеева.
Ведущий зачитывает автобиографию, а участники должна отгадать, о ком идет речь. Правильный ответ оценивается в один балл.
Ведущий:1. Его называли королем математиков. Его математическое дарование проявилось уже в детстве. Рассказывают, что в трехлетнем возрасте он удивил окружающих, поправив расчеты своего отца с каменщиками. Однажды в школе, учитель предложил классу сложить все числа от 1 до 100. Пока учитель диктовал задание, у него уже был готов ответ. Кто это? Ответ: (Карл Гаусс).
2. Он решил много сложнейших задач, совершил не одно открытие в различных разделах современной математики. Радость своих математических открытий он познал рано. Он рассказал, что еще до поступления в гимназию, в возрасте 5-6 лет он любил придумывать задачи, подмечать интересные свойства чисел. Кто он? Ответ: (Колмогоров А.Н.).
3. Метрическая система мер принята большинством стран мира. В России ее введение началось 1899 года. Большие заслуги во введении и распространении метрической системы мер в нашей стране принадлежат кому? Ответ: (Менделеев Д.И.).
4. Кто из них является автором учебника для детей под названием «Арифметика»? Ответ: Л.Н. Толстой. Великий русский писатель Лев Николаевич Толстой проявлял особый интерес к математике и её преподаванию, много лет преподавал начала математики в основанной им же Яснополянской школе и написал оригинальный учебник «Арифметики».
5. С кем из них произошёл следующий случай:
«На камзоле продрались локти. Повстречавший его придворный щёголь ехидно заметил по этому поводу: - Учёность выглядывает оттуда ... — Нисколько, сударь, - немедленно ответил он, - глупость заглядывает туда!» Ответ: М.В. Ломоносов.
6. Кто из этих знаменитых людей сделал интересное и меткое «арифметическое» сравнение, что человек подобен дроби, числитель которой есть то, что человек представляет собой, а знаменатель - то, что он думает о себе. Чем большего мнения о себе человек, тем больше знаменатель, а значит, тем меньше дробь. Ответ: Л.Н. Толстой.
7. Кому принадлежат слова: «Вдохновение нужно в геометрии, как и в поэзии»? Ответ: А.С. Пушкин.
8. Кому из этих людей принадлежат следующие слова: «Математику уже затем учить следует, что она ум в порядок приводит»? Ответ: М.В. Ломоносов.
9. Мне кажется, что фамилиями этих людей названы города. Так ли это? Ответ: Л.Н. Толстой. Оказывается, в Ленинградской области есть города Пушкин и Ломоносов. Города Толстой пока ещё нет.
10. По чьему проекту в 1755 году был организован Московский университет, носящий ныне его имя? Ответ: М.В. Ломоносов.
Ведущий: Спасибо, болельщикам. Предоставляем слово жюри.
(Жюри объявляет результаты II тура)
ТРЕТИЙ ТУР
Ведущий: И так во второй третий тур вышли команды…………. Перед вами задания третьего тура. Проанализируйте уравнения, вспомните их графики и свойства, преобразование этих графиков и по данным функциям нарисуйте рисунок в системе координат.
Карточка-задание № 3.


Ответ «Фазан»
.
Игра с болельщиками «Пословицы графиками функций»
Ведущий:Чтобы иллюстрировать характерные свойства функции, можно обратиться к пословицам. Ведь пословицы – это отражение устойчивых закономерностей, выверенных многовековым опытом народа. Перед вами графики функций подумайте и скажите о чем гласит пословица.

«Чем дальше в лес, тем больше дров».
Изображенный график показывает, как нарастает количество дров по мере продвижения в глубь леса. Горизонтальная ось графика – это лесная дорога. По вертикали будем откладывать количество дров на данном километре. График представляет собой количество дров как функцию пути.
Согласно пословице, эта функция неизменно возрастает. Какие две точки на оси абсцисс ни взять, для более дальней (чем дальше в лес…) значение функции будет больше (…тем больше дров). Такое свойство функции называется монотонным возрастанием. Математически: x1<x2 =>f(x1)<f(x2) для всех х, входящих в область определения.

«Пересев хуже недосева».
Вековой опыт свидетельствовал: урожай хорош лишь до некоторой поры растет вместе с плотностью посева дальше он снижается, потому что при чрезмерной густоте ростки начинают глушить друг друга. Эта характерность станет особенно наглядной, если изобразить ее графически, где урожай представлен как функция плотности посева.
Урожай максимален, когда поле засеяно в меру. Максимум – это наибольшее значение функции по сравнению с ее значениями во всех соседних точках. Это как вершина горы, с которой все дороги ведут только вниз, куда ни шагни. Максимум здесь локальный. Математически это значит: существует некоторая
- окрестности точки
такая, что для всех х из области определения функции, входящих в эту окрестность, выполняется условие

«Выше меры конь не скачет».
Если изобразить траекторию скачущего коня графически, то высота скачков, в полном соответствии с пословицей будет ограничена сверху некоторой «мерой».
Это свойство присуще функциям sinx и cosx. Здесь тоже есть своя «мера», за пределы которой не вздымаются волны синусойды и косинусоиды. Графики этих функций находятся в полосе между прямыми y=-1 и y=1 .
Ведущий:Попросим жюри объявить результаты IIIтура…
Жюри объявляет результаты, называет команду- победителя
Ведущий:В финал вышла группа ………….Предлагаем победителю сыграть в супер игру
СУПЕР ИГРА
Задание для супер игры. По предложенным функциям нарисовать рисунок.

Проводится награждение победителей. Вручаются грамоты и подарки.
Ведущий:Мы закончили наш занимательный и веселый математический конкурс! Поблагодарим команды за участие в игре! Поблагодарим уважаемое жюри за внимание и объективность! Поблагодарим болельщиков за активность и поддержку!
Пусть интерес к математике, смекалка и находчивость помогут Вам достичь высоких результатов в учебе и дальнейшей профессиональной деятельности!
Студентка читает стихотворение.
Ах, эта математика –
Наука очень строгая.
Учебник математики
Всегда берешь с тревогою.
Там функции и графики
И уравнений тьма,
А модуль может запросто
Свести тебя с ума.
И правила, и формулы,
Все так легко забыть,
Но все ж без математики
Нам невозможно жить.
Любите математику
И вы поймете вдруг,
Что, правда: "Математика - Царица всех наук
Фотография на память.
ЗАКЛЮЧЕНИЕ
В результате нелегкой, но очень занимательной работы студенты еще лучше закрепила ранее изученный материал, достигли поставленной цели и увидели, что если к любому делу относиться творчески, с интересом, то даже такая сложная наука, как математика становиться более понятной, доступной и интересной, что очень важно.
Не прав тот, кто считает математику скучной и сухой наукой. Еще С. Пуассон сказал: «Жизнь украшается двумя вещами: знанием математики и ее преподаванием».
18










Чтобы оставлять комментарии, вам необходимо авторизоваться на сайте. Если у вас еще нет учетной записи на нашем сайте, предлагаем зарегистрироваться. Это займет не более 5 минут.