Методическая разработка проекта "Снегири"
Муниципальное казённое учреждение
дополнительного образования
Руднянский Центр детского творчества
Руднянского муниципального района Волгоградской области
Методическая разработка проекта по теме «Снегири»
Выполнила:
Ромащенко Надежда Александровна,
педагог дополнительного образования
МКУДО «Руднянский ЦДТ»
2023г
ОГЛАВЛЕНИЕ
ВВЕДЕНИЕ2
1. ГЛАВА 1. ПОЯСНИТЕЛЬНАЯ ЗАПИСКА3
1.1. Актуальность творческого проекта3
1.2. Цель творческого проекта3
1.3. Задачи творческого проекта:3
1.4. Планируемые результаты творческого проекта4
1.5. Межпредметные связи4
1.6. Оборудование и материалы5
1.7. Характеристика источников информации5
1.8. Обоснование выбора проекта5
1.9. Методы исследования:5
2. ГЛАВА 2. ИССЛЕДОВАНИЕ ПРОБЛЕМЫ5
2.1. Технологическая часть10
2.2. Экологическое обоснование проекта11
ЗАКЛЮЧЕНИЕ11
СПИСОК ИСПОЛЬЗОВАННЫХ ИСТОЧНИКОВ ЛИТЕРАТУРЫ14
Приложения 115
Приложения 217
Тип проекта: информационно – творческий исследовательский проект.
ВВЕДЕНИЕ
Проект «Снегири» представляет собой четырёхмесячную по времени совместную деятельность учащихся и педагога. Проект носит комплексный характер: включает в себя практическую экологически ориентированную, творческую, эстетического содержания деятельность, привития бережного отношения к природе.
Данный проект нацелен на решение ряда педагогических и воспитательных задач. Проект рассчитан на реализацию в коллективе детей младшего школьного возраста.
ГЛАВА 1. ПОЯСНИТЕЛЬНАЯ ЗАПИСКА
Актуальность творческого проекта
Человек живет на земле в окружении растений и животных. Певец природы писатель М.М.Пришвин не уставал говорить о том, что природа и человек – это одно целое.
Очень важно, чтобы дети научились любить и ценить природу. И жизнь станет тогда богаче и интереснее.
Участвуя в выполнении этого проекта «Снегири», можно развивать эмоционально-волевую сферу, взаимодействие участников проекта, понимание своего «Я», как частицы природы. Воспитывать у учащихся заботу о природе - понимание проблемы не быть равнодушными и бессердечными: кто любит природу, тот не испортит дерево, не сорвет цветок, не погубит птицу.
Цель творческого проекта
Формирование у учащихся бережного отношения к окружающей среде, через привлечение к активной деятельности по изучению и охране снегирей.
Задачи творческого проекта:
1.Привлечь внимание учащихся к возможности решения экологических проблем, помочь в осознании ими необходимости личного посильного вклада каждого человека в сохранении окружающей среды.
2. Изучить особенности жизни, внешнего вида и среды обитания снегирей.
3.Развить творческие способности, через изготовление композиции «Снегири».
4. Развитие поэтических способностей, через написания стихотворения «Покормите снегирей».
Планируемые результаты творческого проекта
1.Сформируются знания о бережном отношении к природе.
2.Расширется кругозор о жизни и повадках снегирей.
3.Разовьются навыки работы изготовления поделок из синтепона и ваты.
4.Разовьются поэтические способности.
План реализации проекта:
Этап – подготовительный (ноябрь 2022 г)
Этап – деятельный (декабрь 2022 г январь 2023 г)
Этап - творческий (февраль 2023г)
Межпредметные связи
Данный проект осуществляет межпредметные связи с учебным предметом «окружающий мир» и «трудовым обучением». Выполняют образовательную, воспитывающую и развивающую функции.
Образовательная функция заключается в формировании системы теоретических знаний о жизни обитании снегирей и формирование умений и навыков изготовление работы из синтетики при выполнении композиции «Снегири».
Развивающая функция реализуется в формировании устойчивых познавательных интересов к «окружающему миру», развивает познавательной активности, самостоятельность учащихся в познании живой природы, системного и творческого мышления, расширении их кругозора. Межпредметные связи в данном проекте выступают как средство формирования гибкой и продуктивной системы теоретических знаний, обеспечивают последовательное углубление, уточнение биологических знаний жизни снегирей, их качественное совершенствование.
Воспитывающая функция направлена на понимание учащимися тех взаимосвязей между явлениями, процессами и закономерностями, которые объективно существуют в природе, и воспитания экологической культуры.
Оборудование и материалы
Ветка дерева, гипс, вата, клей ПВА и клей «Титан» и гуашевые краски, пластмассовые глаза и пенопласт (для практической части).
Проектор, компьютер
Характеристика источников информации
Научная, художественная литература и периодическая печать.
Обоснование выбора проекта
Тема выбрана не случайно. Потому что, в настоящее время существует проблема. Человечество стоит на пороге экологического кризиса. В нашем населённом пункте есть сосновый лес, но, к сожалению, снегирей мало кто видел. Это послужило выбором данной темы для привлечения внимание к проблеме уменьшения численности этих красивых птиц в Волгоградской области и в рабочем посёлке Рудня.
Методы исследования:
Наблюдение за птицами (экскурсия в лес);
Нахождение и сбор информации о снегирях;
Подборка фотоматериалов по теме проекта;
Изучение литературы;
Создание и решение проблемных ситуаций.
ГЛАВА 2. ИССЛЕДОВАНИЕ ПРОБЛЕМЫ
В процессе работы над проектом проводились экскурсии, прогулки, наблюдения.
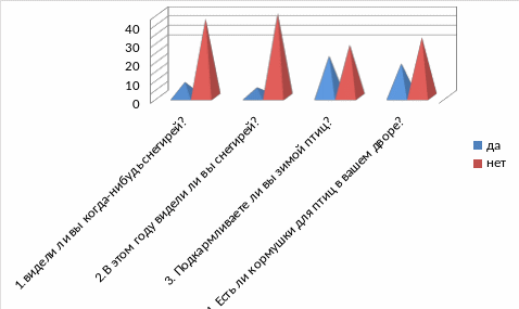
При работе над проектом «Снегири» учащиеся провели исследование, анкетирование у одноклассников и взрослого населения (родственники, соседи).
Вопросы для анкеты:
Видели ли вы снегирей когда-нибудь?
Видели ли вы снегирей в этом году?
Подкармливаете ли вы зимой птиц?
Есть ли у вашего дома кормушка для птиц?
Были опрошены ученики 4-5 класса. (Обработанная информация в Приложении 6).
Снегирь - одна из широко известных и заметных птиц лесов нашей страны, величиной значительно крупнее воробья: весит 32—34 г. Окраска оперения самца очень красива. Верх головы, крылья и хвост черные. Задняя часть шеи и спина светло-серые. Нижняя часть тела красная. У самки красный цвет замещен буровато-серым. Распространен снегирь по всей полосе хвойных лесов. В нашем населённом пункте тоже проживают снегири в небольшом количестве.
Снегирь питается семенами, почками и ягодами. Кормясь ягодами, выедает из них семена, а мякоть плодов выбрасывает. Птенцов снегири выкармливают в основном также растительными кормами. Насекомые не являются основной пищей в рационе.
Пара вьет гнездо в апреле-мае. Почти всегда оно располагается на ветвях дерева, чаще на высоте 2-5 м. Гнездо снегирей имеет форму чаши из тонких веточек, корней и шерсти, оно всегда очень искусно спрятано.
Самка откладывает 4-6 голубоватых с красноватыми крапинками яиц и насиживает их 13-15 дней. Самец в это время приносит ей корм и изредка сменяет на гнезде. Вылупившиеся птенцы проводят в гнезде около 2 недель, а потом вылетают из гнезд.
Выдающуюся черту составляет в нем любовь к своим собратьям: если убивают одного из снегирей, то остальные долгое время издают жалобные крики и с трудом решаются оставить то место, где погиб их товарищ.
Все виды снегирей — исключительно лесные птицы. Населяют они густые и глухие леса, обширных открытых пространств избегают, в гнездовой период держатся вдали от человеческого жилья. Снегири бывают следующих видов: Бурый снегирь, красноголовый снегирь, оранжевогрудый снегирь, азорский снегирь, уссурийский снегирь.
Живут снегири в неволе 10-12 лет, в природе продолжительность их жизни короче. Врагами снегирей являются те же хищники, которые охотятся на всех воробьиных птиц: мелкие совы, ястребы-перепелятники, куницы, дикие лесные коты.
Первое и самое обманчивое впечатление о снегирях закралось в русское название этих пернатых. Представление о том, что снегирь - зимний гость, появляющийся с первым снегом - основное заблуждение жителей лесной зоны! На самом деле снегирь лишь становится заметным с наступлением зимы. В нашей области проводилось исследование, и были сделаны следующие выводы. Этих птиц стало намного меньше. Снегирь мигрирующая птица, в чужие страны не улетают, они кочуют с места на место в поисках пищи.
Существует много легенд о снегирях. Вот некоторые из них.
В Древней Руси существовало поверье, что снегири спасали путников, заблудившихся в бескрайних заснеженных полях, снегири указывали им дорогу к жилым домам.
Согласно библейским легендам, снегирь самоотверженно ломал иглы тернового венца с головы Спасителя, и одна капля крови попала ему на грудь, окрасив ее в красный цвет. Поэтому снегирь охраняемая народом символическая птица.
Существует примета, если снегирь чирикает к теплу, значит, будет ясная и солнечная погода, а когда запоёт то быть вьюге.
Существует примета, если снегирь чирикает к теплу, значит, будет ясная и солнечная погода, а когда запоёт то быть вьюге.
Эта птица прекрасно адаптируется в неволе. В домашних условиях содержится в клетке. К человеку относится дружелюбно. Она общительна, неприхотлива, любопытна. Пение представляет собой несложные трели. На слух они довольно приятные. Поют как самки, так и самцы. Представителей данного вида не рекомендуется держать в одной клетке с другими птицами.
Возможные причины сокращения численности снегирей?
Проведя исследования численности снегиря на территории ООПТ Волгоградской области, мы пришли к неутешительным результатам. В зимние периоды с 2009 -2011 года снегири на территориях ООПТ были отмечены в двух природных парках из семи существующих в Волгоградской области в ГУ «Природный парк «Нижнехопёрский» и ГУ «Природный парк «Усть -Медведицкий». (Приложение 5) Хотя по опросным данным в 70-80 годы ХХ века снегири были частыми гостями наших садов и парков. В чем причина сокращения численности снегирей на территории Волгоградской области? По крайне мере их несколько.
Пожары. В 2010 году в Российской Федерации возникло 33 тысячи лесных пожаров, которыми пройдено 2,1 млн. га. От верховых пожаров погибло 193,2 тыс. га, что по сравнению с аналогичными показателями 2009 года отмечается увеличение числа лесных пожаров в 1,5 раза, но площадь, пройденная огнем, сократилась в 1,2 раза. Наш рабочий посёлок тоже пострадал. (Приложение 5)
Наибольшая возгораемость зарегистрирована в Нижегородской, Рязанской, Ивановской, Московской, Воронежской, Свердловской, Владимирской областях, Республиках Марий Эл, Мордовия и Коми, Пермском и Алтайском краях.
Основной причиной возникновения лесных пожаров в 2010 году явилось в 90% случаев нарушение правил пожарной безопасности и неосторожное обращение граждан с огнем в лесу. В июле и начале августа 2010 года в Европейской России и на Урале сложилась катастрофическая ситуация с лесными пожарами. По масштабу лесных пожаров, количеству пострадавших от огня деревень и по жертвам среди гражданского населения, не относящегося к специфическим группам риска, катастрофа перекрыла уровень 1972 года. Предыдущая огненная катастрофа такого масштаба наблюдалась в нашей стране в 1937 году. В данной ситуации существует две причины. Первая - это чрезвычайная засуха, охватившая большую часть территории Европейской России и Урала. Вторая - это отсутствие государственной лесной охраны, фактическая бесхозность и беспризорность лесов нашей страны. Источниками практически всех возгораний являются люди - брошенные ими окурки, оставленные без присмотра костры и т.д.
От лесных пожаров погибло большое количество животных и птиц, не говоря о растениях.
Климат. Что касается климата, то аномальная жара летом в России привела к росту гибели птиц – они не только страдали от обезвоживания, но и от дыма пожаров. А в зимний период обледенение веток деревьев и кустов из-за внезапных дождей в декабре представило серьёзную проблему в жизни пернатых, многие из них не дожили до весны. Стоит отметить, что суровые морозы зимы 2010-2011 коснулись всей Европейской части России, что не могло не отразиться на российской фауне. Из-за холодной зимы, а также отсутствия корма, вызванного лесными пожарами прошлым летом, многие птицы погибли, многие стали кочевать в не характерные места зимовок. Вот как комментирует ситуацию Норвежский союз орнитологов в одной из норвежских газет: «В настоящее время наблюдается просто сенсационный рост популяции снегирей в Норвегии». 264419 снегирей зарегистрировано в Норвегии орнитологами в январе 2011 года. Климат закладывает огромные проблемы выживания птиц.
Массовая гибель. Случаи массовой гибели птиц в начале 2011 года, скорее всего, не имеют единой причины, считают орнитологи. Они уверены, что не стоит драматизировать ситуацию, а следует разбираться в каждом конкретном эпизоде. И пока массовой гибели снегирей не зафиксировано, повод задуматься о судьбе наших пернатых друзей, безусловно, есть.
Перечисленные факторы стали причиной резкого сокращения численности снегиря?
Многие люди с уважением и любовью относятся к снегирям. Считают их символом мужества и стойкости. Верят, что эта птица приносит счастье и богатство. Изображают снегиря на почтовых марках, конвертах, открытках, предметах быта, одежде и обуви.
Но к сожалению есть люди, которые жестоко относятся к снегирям.
Птиц надо защищать. Ведь они миллионами гибнут под выстрелами, погибают в результате лесных пожаров, умирают от зимних холодов и голода, из-за бездумного освоения их местообитаний или просто от нашего равнодушия.
Вопрос: Что я могу сделать в защиту снегирей?
Ответ:
Бережно относиться к этой птице.
Научить других доброму отношению к снегирям.
Изготовить композицию «снегири», в знак уважения и напоминания
окружающих бережного отношения к птицам.
Написать стихотворение о снегире-красавце.
Технологическая часть
Технология изготовления состоит в следующем:
1.Из ваты и клея, (можно заменить синтетикой) сформировать форму птицы.
2. Когда высохла работа, с помощью гуашевых красок покрасить птицу в нужный цвет.
3.Таких птиц нужно изготовить несколько и посадили на дерево, закреплённое гипсом.
4.Придали дереву заснеженный вид с помощью пенопласта и клея.
Экологическое обоснование проекта
В настоящее время экологическое образование в школе становится все более приоритетным. Это связано с тяжелой ситуацией на земле. Одна из причин такого положения - экологическая неграмотность большей части населения и неумение предвидеть последствия вмешательства человека в природу.
Птицы – особый мир живых существ, такой знакомый и одновременно загадочный, одинаково необходимый и человеку, и дикой природе. А птица снегирь является украшением леса и символом русской зимы.
ЗАКЛЮЧЕНИЕ
21 марта отмечается Международный день леса, всероссийский день знаний о лесе. Наш проект посвящён жителю леса, красивой птице снегирь. Подводя итоги нашей работы, мы пришли к выводу, что численность снегирей за последние 10— 15 лет очень резко упала.
Считавшийся ранее в регионе обычной птицей, в зимний период он за это время перешел в разряд редких. Основная причины сокращения популяции - это уничтожение жизненного пространства. Усугубляет положение снегиря хозяйственное и рекреационное освоение мест обитания.
Численность птиц уменьшается не только в результате прямого истребления, а также вследствие ухудшения экологических условий на территориях и ареалов. Антропогенные изменения ландшафтов неблагоприятно сказываются на условиях существования большинства видов птиц.
Птиц надо защищать. Ведь они миллионами гибнут под выстрелами, погибают в результате лесных пожаров, умирают от зимних холодов и бескормицы, из-за бездумного освоения их местообитаний или просто от нашего равнодушия.
Итак, защита природы касается всех нас. Все мы дышим одним и тем же воздухом земли, пьем воду и едим хлеб. Каждый из нас может и должен вносить свой вклад в борьбу за сохранение природы, а, следовательно, жизни на Земле.
Природа прекрасна – она сама делает жизнь тех, кто ее любит, кто умеет смотреть на нее добрыми глазами, прекраснее, ярче, богаче. И еще. Важно не только самому встать на защиту живой природы. Важно убедить в этом своих товарищей. Человек не может существовать без животных, птиц и растений. И наша задача охранять и беречь их. Мы живём на удивительной зелёной планете.
Не забывайте, что от каждого человека, а значит и от вас лично, зависит состояние окружающей нас среды. Будет шуметь зеленый лес, или он опустеет, будут ли в нём петь снегири и другие птицы, во многом зависит от того, насколько правильно мы ведем себя в природе, как бережем ее.
И дарим всем стихотворение «покормите снегирей» в знак напоминания о бережном отношение к этой птице».
Стихотворение, написанное учащимися:
«Покормите снегирей»
Мы надеемся, что в Рудне
Будет больше снегирей,
Так как мы всегда их будем
Всех любить ещё сильней
И проект наш мы создали
Для того чтоб вы могли
Любоваться снегирями
Не в кино, а у двери.
Как и мы, зимой их кормим,
Строим им кормушки здесь,
Покормите вы их тоже,
Ведь у всех зерно же есть.
Не жалейте горстку крошек
Или семечек чуть-чуть,
И тогда снегирь-красавец,
Частым гостем будет тут!
СПИСОК ИСПОЛЬЗОВАННЫХ ИСТОЧНИКОВ ЛИТЕРАТУРЫ
1.Малая энциклопедия /Мир вокруг нас/Птицы России и Европы/, Москва, ОНИКС 21 век, 2001 год.
2.А.А.Плешаков, /Зелёные страницы/, Москва, /Просвещение/ 2009.
3./Мир птиц/ Информационный бюллетень Союза охраны птиц России. Июнь2007- сентябрь 2008г. №36.
4. /Фауна мира, птицы/В.Е.Соколов. В.Д.Ильичев. Москва ВО /Агропромиздат/ 1991.
ЭЛЕКТРОННЫЕ РЕСУРСЫ
1.https://ru.wikipedia.org/wiki/%D0%A1%D0%BD%D0%B5%D0%B3%D0%B8%D1%80%D1%8C
материал из Векипедии
2.http://ecosystema.ru/08nature/birds/193.php
Наш Центр "Экосистема"
3.https://givotniymir.ru/snegir-opisanie-i-osobennosti-snegirya/
Животный мир
4. http://xn--e1aaqjt5d.xn--p1ai/articles/birds/snegir.html
/Лесные/, мир за чертой города
Приложения 1
Фоторепортаж: "Как мы помогаем птицам"
1.Изготавливаем кормушки и кормим их семенами и хлебными крошками и они нам говорят спасибо и радуют нас своим присутствием.


2.Мы подкармливаем птиц зимой


3.Мы оставляем птицам ягоды на ветвях кустарников и деревьев
для питания зимой



4. Зимой в наши дворы прилетают стаи птиц.


Приложения 2
Выдержки из статьи
Выпуск готовили: В.А. Зубакин (главный редактор) С.А. Букреев Е.В. Зубакина В.Н. Мельников С.Г. Приклонский В.Б. Степаницкий Е.В. Чернова дизайн и верстка: Е.В. Чернова фотография на первой странице обложки: О. Хромушин Лицензия Союза на издательскую деятельность ИД№01564 Адрес Координационного центра Союза: Россия, 111123, Москва, шоссе Энтузиастов, дом 60, корп. 1 Тел/факс (495) 6722263 email: mail@rbcu.ru Тема номера 2. Снегирь – птица 2008 года.
Голос снегиря восточноевропейского подвида напоминает звук дудочки, снегири в Западной Европе и Восточной Сибири свистят по-другому. За свою красоту и спокойный нрав снегирь был излюбленной комнатной птицей. И сегодня этих птиц в большом количестве отлавливают птицеловы. В неволе они быстро привыкают к человеку, привязываются к хозяину, часто становятся любимцами семьи, как собаки или кошки. Даже их незатейливое пение радует слух настоящего любителя пернатых. Снегирь обладает даром художественного свиста и в неволе легко разучивает несложные мелодии. В вольерах при соответствующем питании и уходе снегири даже способны к размножению – строят гнезда на маленьких елочках, выкармливают птенцов. Но чаще всего их содержат в тесных клетках на однообразном корме – и красный цвет оперения самцов быстро тускнеет и становится бурым. Жаль держать такого милягу за решеткой! Зимой снегири откочевывают из тайги далеко на юг, вплоть до Закавказья, Ирана, Средней Азии, Средиземноморья и Великобритании. Вероятно, массовость таких «нашествий» зависит от запасов кормов в лесной зоне. Снегири – растительноядные птицы, питаются семенами различных деревьев, кустарников, трав. В холодное время года они предпочитают семена-крылатки ясеня, ягоды рябины, плоды сирени, почки черемухи и липы. Причем они не глотают ягоды целиком, как свиристели и дрозды, Ежегодно, начиная с 1996 года, Союз охраны птиц России выбирает птицу, которая становится символом природоохранной работы в этом году. Ей посвящают конкурсы детских рисунков, фестивали, викторины и другие эколого-просветительские мероприятия. Проводятся специальные исследования, учеты численности, распространяются информационные листовки, наклейки, буклеты и плакаты, публикуются статьи, проводятся различные биотехнические мероприятия. 2008-й орнитологи определили как Год Снегиря. Снегири – очень хорошие родители. Автор наблюдал, как самец снегиря, долго живший в клетке на станции юных натуралистов в Ульяновске, выкормил сразу несколько осиротевших птенцов больших синиц. Согласно библейским легендам, снегирь самоотверженно ломал иглы тернового венца с головы Спасителя, и одна капля крови попала ему на грудь, окрасив ее в красный цвет. Поэтому снегирь – охраняемая народом символическая птица. Почему Союз охраны птиц обратил внимание на птаху, состояние которой в природе не вызывает опасения? Ведь по оценкам ученых, снегирей в тайге Европейской части России гнездится довольно много – несколько миллионов. Но упускать снегиря из поля зрения, как и других обычных птиц, не стоит: известны случаи массовой контрабанды диких певчих птиц (снегирей, чижей, щеглов, овсянок), которых скрытно перевозили из нашей страны для продажи в Западной Европе, где их отлов запрещен. Неизвестно, как влияют сплошные рубки таежных лесов на численность этого вида. Требуется изучить обстановку на южных зимовках снегирей за рубежами России, где возможна их массовая гибель. Снегирь, как и многие северные птицы, очень доверчив к человеку, подпускает близко. Сейчас вместо рогаток мальчишки, да и взрослые, покупают пневматическое оружие и, развлекаясь, зачастую стреляют по птицам. Беспечный снегирь – первая возможная жертва таких горе-стрелков. Если вы хотите помочь Птице года, привлечь пернатых красавцев к своему жилищу или в сад, на дачу – соорудите кормушку. Развесьте там кисти рябины, калины, боярышника. Еще
лучше – посадите ягодные деревья и кустарники на своем участке специально для птиц – там, где им можно будет спокойно кормиться и отдыхать. В такие ремизы можно также подсадить ясень пенсильванский и обыкновенный, клен, ранетку, иргу, черемуху, хмель и т. п. По данным кольцевания, снегири могут прилетать на знакомые им места подкормки несколько лет подряд, а если на вашем участке тихо и растут хвойные деревья – даже загнездится. (Олег Бородин)
Больше полувека профессор ВГСПУ Василий Чернобай исследует птиц нашей области.
– Нет никакой другой территории в России, – утверждает он, – отличающейся таким же разнообразием птиц. Но также нет в стране и региона, где бы еще столь же остро стоял вопрос о сохранении этого их видового разнообразия.
Причины, по мнению Василия Федотовича, в том, что в Волгоградской области по сей день нет особо охраняемых природных территорий. Тогда как в соседней Воронежской области созданы три заповедника, в Саратовской и в Астраханской – по два. Даже в Калмыкии имеются два заповедника.
Ежегодно, начиная с 1996 года, Союз охраны птиц России выбирает птицу, которая становится символом природоохранной работы в этом году. Ей посвящают конкурсы детских рисунков, фестивали, викторины и другие эколого-просветительские мероприятия. Проводятся специальные исследования, учеты численности, распространяются информационные листовки, наклейки, буклеты и плакаты, публикуются статьи, проводятся различные биотехнические мероприятия. 2008-й орнитологи определили как Год Снегиря.
Приложения 3
Карта Волгоградской области с указанием территорий ООПТ.
Приложения 4
Мониторинг обычных видов птиц в 2007 г., как и в предыдущий год, осуществлялся в рамках проекта «Вклад в разработку национальной системы наблюдений за экосистемами сенокосных лугов в России», финансируемого французским Национальным бюро охоты и дикой фауны (O.N.C.F.S) (координатор А.Л. Мищенко). Проводился учет воробьиных птиц на 106 круговых площадках, подобранных в 2006 г., регистрация присутствия неворобьиных птиц, слежение за изменениями, происходящими в характере сельскохозяйственного использования угодий. В работе принимали участие члены Московского, Ивановского, Ульяновского и Тверского отделений. Мониторинг обычных видов агроландшафтов осуществлялся также Калининградским отделением, мониторинг врановых птиц – Самарским отделением. Санкт-Петербургское отделение продолжило сбор информации о фауне птиц Санкт- Петербурга, Ярославское – об орнитофауне Ярославля. Члены Волгоградского отделения Н.С. Калюжная, Е.А. Килякова, В.Ф. Чернобай и другие участвовали в работе экспертных комиссий Комитета Госконтроля в сфере природопользования и Управления экспертизы проектов Администрации Волгоградской области. Всего в 2007 г. ими было выдано более 10 заключений экологической экспертизы на разного рода проекты по природопользованию, постановления и решения. Наиболее существенные коррективы были внесены в Постановление главы Администрации области о 6 зоологических (охотничьих) заказниках, которые по предложению экспертов стали комплексными и направленными в том числе на охрану птиц. Кроме того, члены Волгоградского отделения принимали участие в подготовке публичных (депутатских) слушаний в областной Думе на тему «Охрана и использование природных ресурсов и экологический мониторинг на территории Волгоградской области», а также участвовали в заседаниях областного Комитета по экологии и природопользованию. Но упускать снегиря из поля зрения, как и других обычных птиц, не стоит: известны случаи массовой контрабанды диких певчих птиц (снегирей, чижей, щеглов, овсянок), которых скрытно перевозили из нашей страны для продажи в Западной Европе, где их отлов запрещен.
Приложения 5
Природный парк «Усть Медведецкий»

Лес после пожара в р.п.Рудне, Волгоградской обл.

Приложения 6
Рисунок 1- Опрос взрослого населения (участвовало 30 человек)

Рисунок 2 - Опрос обучающих 5-4 классов ( участвовало 50 человек)

Технологическая карта
Этапы изготовления композиции «Снегири»

Для изготовления необходимо: | 1.Синтетики или вата 2.Проволока 3.Бумажный скотч 4.Клей «ПВА» и клей «Титан» 5.Гуашь 6.Пластилин 7.Кисточки для рисования |
1.Сформировать овал из ваты. |
|
2.Завязать нитью хвост птицы. |
|
3.Отделить ниткой голову от туловища. |
|
4.Из проволоки сформировать крылья. |
|
5.Обклеить проволоку бумажным скотчем. |
|
6.Обвернуть бумажные крылья ватой. |
|
7.Приклеить крылья к туловищу и обмакнуть в клей ПВА. |
|
8.Расскрасить птицу в нужный цвет. |
|
9.Таких птиц надо сделать несколько. |
|
10.Закрепить ветку дерева в гипс. Придать дереву заснеженный вид с помощью ваты или синтетики. |
|
11.Закрепить птиц на дереве с помощью клея «Титан». |
|
12. Желаем творческих успехов! |
|












Чтобы оставлять комментарии, вам необходимо авторизоваться на сайте. Если у вас еще нет учетной записи на нашем сайте, предлагаем зарегистрироваться. Это займет не более 5 минут.