Основы алгоритмизации
МИНПРОСВЕЩЕНИЯ РОССИИФЕДЕРАЛЬНОЕГОСУДАРСТВЕННОЕБЮДЖЕТНОЕ ОБРАЗОВАТЕЛЬНОЕУЧРЕЖДЕНИЕВЫСШЕГООБРАЗОВАНИЯ «БАШКИРСКИЙ ГОСУДАРСТВЕННЫЙ ПЕДАГОГИЧЕСКИЙУНИВЕРСИТЕТИМ. М.АКМУЛЛЫ»
ИНСТИТУТ ФИЗИКИ, МАТЕМАТИКИ, ЦИФРОВЫХ И НАНОТЕХНОЛОГИЙ
ХУДЯКОВА АНАСТАСИЯ СЕРГЕЕВНА
«ОСНОВЫ АЛГОРИТМИЗАЦИИ» (8 КЛАСС)
ПРОЕКТ
Уфа2022
1. ОБЗОР ЛИТЕРАТУРЫ
1. На изучение раздела «Основы алгоритмизации» по учебнику Л.Л. Босовой отводится 12 часов в 8 классе. В учебной литературе рассмотрены основные теоретические понятия раздела: определение алгоритма, структуры и свойства алгоритмов.
Теоретический материал изложен во 2 главе:

2. В линейке И.Г. Семакина основы алгоритмизации изучаются в разделе «Управление и алгоритмы», который рассчитан в 9 классе на 10 ч. В учебнике к теме алгоритмизации применен подход на основе кибернетики, в частности с помощью прямых и обратных связей. Данный раздел начинается с изучения таких определений, как управление, алгоритмы управления, обратная связь. Далее учащиеся переходят к понятию алгоритма, свойствам и видам алгоритма.


3. В учебнике Н.Д. Угриновича алгоритмизация рассмотрена в четвертой главе «Основы алгоритмизации и объектно-ориентированного программирования» 9 класса (14. ч.). Определение и свойства алгоритма описываются в параграфе 4.1. Учебные среды (исполнители) для освоения алгоритмизации не применяются. Об алгоритмических структурах и структурах данных рассказывается параллельно с описанием программирования на языке Visual Basic. В конце каждого параграфа записаны контрольные вопросы и задания для самостоятельного выполнения.


В результате изучения данного параграфа можно сказать, что раздел
«Основы алгоритмизации» в трех учебниках описан по-разному, но основной минимум материала сохраняется.
2. ПОУРОЧНОЕ ПЛАНИРОВАНИЕ УЧЕБНОГО МАТЕРИАЛА
В рабочей программе по информатике для основной школы Л.Л. Босовой разделу «Основы алгоритмизации» отводится 11 часов. На основе этой рабочей программы было составлено поурочное планирование изучения основ алгоритмизации в восьмом классе.
Номерурока | Темаурока | Параграфучебника,заданияРТ |
14 | Алгоритмыиисполнители | §2.1,№95-110 |
15 | Способызаписиалгоритмов | §2.2,№111-114 |
16 | Объектыалгоритмов | §2.3,№115-125 |
17 | Алгоритмическая конструкцияследование | §2.4,№126-133 |
18 | Алгоритмическаяконструкция ветвление Полнаяформаветвления | §2.4,№134-137, 140-146 |
19 | Неполная форма ветвления | §2.4,№138-139 |
20 | Алгоритмическая конструкцияповторение | §2.4,№147-152 |
3. ПЛАНЫ-КОНСПЕКТЫ УРОКОВ
Конспект урока «Алгоритмы и исполнители»
Цель:
понимает смысл понятия «алгоритм», «исполнитель»;
умеет анализировать предлагаемые последовательности команд на предмет наличия у них свойств алгоритма, как дискретность, определенность, понятность, результативность, массовость;
умеет исполнять алгоритм для формального исполнителя с заданной системой команд.
Задачи:
обобщить первоначальные представления учащихся о понятиях «алгоритм» и «исполнитель»;
рассмотреть свойств алгоритма;
рассмотреть возможности автоматизации деятельности человека за счет возможности формального исполнения алгоритма;
формировать навыки записи алгоритмов на формальных языках.
Тип урока: урок изучения нового материала
Методы обучения:
Словесные (рассказ, беседа, объяснение)
Наглядные (презентация)
Практические (упражнения)
Формы организации УД: групповая, индивидуальная, фронтальная
Оборудование: учебник, презентация
План урока:
I.Организационный момент
II.Актуализация знаний
III.Объяснение темы
IV. Закрепление. Работа в паре + самопроверка
V.Компьютерный практикум
VI.Рефлексия. Итоги урока.
Ход урока
I.Организационный момент
II.Актуализация знаний. Постановка цели урока.
Понятие алгоритма вводится через жизненные примеры: рецепт какого-либо блюда, заваривание чая, расписание уроков, режим для, переход дороги по светофору, решение уравнения и т. п.
Для изучения свойств алгоритмов учитель организует работу учащихся таким образом, чтобы они сами их выявили.
Класс делится на несколько групп. Каждая группа должна составить подробную инструкцию для какого-либо действия: заваривание чая, решение уравнения, переход дороги по светофору и др. Инструкцию ученики оформляют на альбомных листах или ватмане (раздает учитель).
Инструкции учащихся вывешиваются на доске и обсуждаются по следующим вопросам:
Что общего во всех инструкциях, алгоритмах?(Пошаговое выполнение - свойство дискретности.)
Что получается после выполнения алгоритма?(Конкретный результат - свойство результативности.)
Можно ли один алгоритм, например инструкцию по завариванию чая, применить для выполнения аналогичного действия, например заваривания травяного сбора?(Свойство массовости.)
Все ли инструкции просты и понятны?(Свойство выполнимости и понятности команд.)
Все ли команды четко прописаны и в правильной последовательности?(Свойство детерминированности.)
Определение алгоритма и свойства ученики записывают в тетрадь.
III.Объяснение темы
Давайте узнаем, что такое алгоритм, и какие существуют виды его исполнителей.Алгоритм – это описание последовательности шагов в решении задачи, приводящих от исходных данных к требуемому результату.
Исполнитель - это объект, способный выполнять алгоритмы с помощью набора команд
Теперь давайте немного поговорим об истории происхождения слова алгоритм. Происхождение слова «алгоритм». Правила выполнения арифметических действий над целыми числами и простыми дробями в десятичной системе счисления впервые были сформулированы выдающимся средневековым ученым по имени Мухаммед ибн Муса ал-Хорезми (в переводе с арабского это означает «Мухаммед, сын Мусы из Хорезма»), сокращенно Ал-Хорезми.
Ал-Хорезми жил и творил в IX веке. Арабский оригинал его арифметического труда утерян, но имеется латинский перевод XII века, по которому Западная Европа ознакомилась с десятичной позиционной системой счисления и правилами выполнения в ней арифметических действий.
Ал-Хорезми стремился к тому, чтобы сформулированные им правила были понятны для всех грамотных людей. Достичь этого в веке, когда еще не была разработана математическая символика (знаки операций, скобки, буквенные обозначения и т. п.), было очень трудно. Но Ал-Хорезми удалось выработать в своих трудах такой стиль четкого, строгого словесного предписания, который не давал читателю никакой возможности уклониться от предписанного или пропустить какие-нибудь действия.
В латинском переводе книги Ал-Хорезми правила начинались словами «Алгоризми сказал». С течением времени люди забыли, что «Алгоризми» — это автор правил, и стали сами эти правила называть алгоритмами. Постепенно «Алгоризми сказал» преобразовалось в «алгоритм гласит».
Таким образом, слово «алгоритм» происходит от имени ученого Ал-Хорезми. Как научный термин первоначально оно обозначало лишь правила выполнения действий в десятичной системе счисления. С течением времени это слово приобрело более широкий смысл и стало обозначать любые точные правила действий. В настоящее время слово «алгоритм» является одним из важнейших понятий науки информатики.
Процесс создания алгоритмов называется –алгоритмизацией.
Всякий алгоритм составляется в расчете на определенного исполнителя. Им может быть человек, робот, компьютер и др.
Исполнитель алгоритма – это человек или автоматическое устройство, которое способно воспринимать и исполнять алгоритм.
Запишите исполнителей для приведённых ниже видов работ:
Уборка мусора во дворе – дворник
Перевозка пассажиров в поезде – машинист
Приём экзаменов в школе – учитель
Приготовление еды в ресторане – повар
Выполнение домашнего задания – ученик
Чтобы составить алгоритм для исполнителя, нужно знать, какие команды исполнитель может понять и исполнить, а какие нет.
Система команд исполнителя (СКИ) – это перечень элементарных предписаний (команд), которые исполнитель может исполнять.
Приведите еще примеры алгоритмов. Ответы учащихся …
Из приведенных вами примеров видно, что мир алгоритмов очень разнообразен. Но, несмотря на это, можно выделить общие свойства, которыми обладает любой алгоритм.
Алгоритм обладает следующими свойствами:
Целенаправленность – любой алгоритм направлен на достижение определенной цели. Чаще всего целью алгоритма является получение результата при решении какой-нибудь задачи.
Дискретность– алгоритм состоит из элементарных предписаний (команд).
Понятность – элементарные предписания (команды) алгоритма должны быть точно сформулированы и однозначно понятны исполнителю, а исполнитель должен быть в состоянии их выполнить.
Однозначность – после исполнения очередного элементарного предписания (команды) исполнителю точно определено, что делать дальше.
Массовость – алгоритм можно использовать для решения той же задачи при других допустимых исходных данных.
Формы представления алгоритмов могут быть разными: словесной; графической; на языке программирования.
Рассмотрим их:
1.Словесная форма– это форма описания алгоритма на естественном языке. Если алгоритм предназначен для человека, то в качестве предписаний можно использовать привычные для человека предложения и фразы.
Правила записи алгоритмов в словестной форме просты: предписания записываются одно за другим и нумеруются; в записи алгоритма могут использоваться служебные слова Начало и Конец.
Пример: Алгоритм нахождения большего из двух данных чисел.
Начало.
Из числа А вычесть число В.
Если получилось отрицательное значение, то сообщить, что число В больше.
Если получилось положительное значение, то сообщить, что число А больше.
Если получился ноль, сообщить, что числа равны.
Конец.
Данная форма очень удобна, если нужно приближенно описать суть алгоритма. Однако при словесном описании не всегда удается ясно и точно выразить идею.
2. Для более наглядного представления алгоритма используется графическая форма. Графическая форма – изображение алгоритма в виде последовательности связанных между собой функциональных блоков, каждый из которых соответствует выполнению одного или нескольких действий.
3. При записи алгоритма в словесной и в графической форме допускается определенный произвол при изображении команд. Вместе с тем такая запись точна на столько, что позволяет человеку понять суть дела и исполнить алгоритм. Однако на практике в качестве исполнителей алгоритмов используются специальные автоматы – компьютеры. Поэтому алгоритм, предназначенный для исполнения на компьютере, должен быть записан на понятном ему языке. Такой язык принято называть языком программирования, а форму представления алгоритма - программной. То есть программная форма записи алгоритма – это запись на языке программирования.
IV. Закрепление. Работа в паре + самопроверка

V.Практикум
-Тестирование
Конспект урока «Способы записи алгоритмов»
Цель:
знает и применяет различные способы записи алгоритмов;
умеет анализировать предлагаемые последовательности команд на предмет наличия у них таких свойств алгоритма, как дискретность, определенность, понятность, результативность, массивность;
понимает преимущества и недостатки той или иной формы записи алгоритмов;
умеет переходить от одной формы записи алгоритмов у другой;
умеет выбирать форму записи алгоритма, соответствующую решаемой задачи.
Задачи:
закрепить понятия алгоритм, исполнитель, свойства алгоритма;
рассмотреть словесные способы записи алгоритмов;
рассмотреть графический способ записи алгоритмов с помощью блок-схем.
Тип урока: урок изучения нового материала
Методы обучения:
Словесные (рассказ, беседа, объяснение)
Наглядные (презентация)
Практические (упражнения)
Формы организации УД: фронтальная, индивидуальная
Оборудование: учебник, презентация
План урока:
I.Организационный момент
II.Актуализация знаний
III.Изучения нового материала
IV. Закрепление.
V.Рефлексия. Итоги урока.
Ход урока
I.Организационный момент
II.Актуализация знаний. Постановка цели урока.
Заходя домой, мы открываем дверь. Заходя в кабинет, мы открываем дверь. Давайте откроем дверь и на наш урок. Для этого нужно составить последовательность действий для открывания двери.
Ученики составляют алгоритм устно.
Алгоритм открывания двери.
Достать ключ из кармана
Вставить ключ в замочную скважину
Повернуть ключ 2 раза против часовой стрелки
Вынуть ключ
Что будет, если мы поменяем 1 и 3 действие местами? Каков будет результат после выполнения последовательности действий? Почему дверь не откроется?
Учащиеся меняют 1 и 3 действие местами и приходят к выводу, что дверь не откроется.
- Нарушена последовательность
III.Изучение нового материала.
-Мы познакомились с понятием алгоритма. Как бы вы называли процесс создания алгоритма?
-Такой процесс мы называем алгоритмизацией.
-Кто может выполнять алгоритм?
-Как, всех перечисленных, можно назвать одним словом?
-Скажите, если я вас попрошу выполнить алгоритм, написанный на китайском языке, к чему это может привести?
-Какие правила при составлении алгоритма мы должны соблюдать.
Поэтому при разработке алгоритма мы будем соблюдать следующие правила
Этапы разработки алгоритма
- Алгоритм должен быть представлен в форме, понятной человеку, который его разрабатывает.
- Алгоритм должен быть представлен в форме, понятной тому объекту, который будет выполнять алгоритм.
-Каким образом мы можем представить алгоритм?
Мы будем выделять следующие формы представления алгоритма.
Написать, сказать, нарисовать и т.д.
Формы представления алгоритма
Дана последовательность действий.
Подготовка к рисованию (Слайд 8)
Открыть баночку с краской
Окунуть в банку кисть
Надеть халат
Рисовать на бумаге
Расстелить бумагу на столе
-Будет ли она алгоритмом?
-Что нужно сделать, чтобы получился алгоритм? Прочитайте, что у вас получилось.
Как бы вы назвали такую форму записи алгоритма?
Первая форма - Словено-описательная (словесная)
Вашему вниманию представлен рисунок.


-Что изображено на рисунке?( Посадка дерева)
-Можно ли эту последовательность действий назвать алгоритмом? Назовите каждое действие.
-Где в жизни вы встречались с подобными алгоритмами?
-Как назовем такую форму представления алгоритма?
2. Графическая
Существует несколько способов графического представления алгоритма- это рисунки и блок-схемы.
Познакомимся с блок-схемами.
Блок- схема
Название блока | Вид блока |
Начало- конец |
|
Ввод- вывод |
|
Условие, логический блок |
|
Процесс (действие) |
|
Составим алгоритм посадки дерева, используя язык блок-схем. 1 ученик выполняет задание у доски, остальным предлагается выполнить самостоятельно задание в тетради

Сравниваем результаты.
- Кто или что может выступать в качестве исполнителя алгоритма?
- В какой форме нужно записать алгоритм, чтобы его понял компьютер?
3. Программа
Программа-это алгоритм, записанный на языке понятном компьютеру.
-Представьте, что вы ухаживаете за двумя лошадьми.
- Перед вами стоят 3 ведра разных размеров. Первое заполнено водой, два других пусты. Нужно напоить двух лошадей, дав каждой по 4 литра воды.
- Ваши предложения.
- Предложенное решение можно наглядно представить в виде таблицы.
№ ша г а | Обозначение действия | Количество воды в А(8 л) | Количество воды в В (5 л) | Количество воды в С (3 л) |
- Запишем следующую форму представления алгоритма
4. Табличное представление
В качестве примера оформим решение данной задачи.
Ученик, получивший правильный ответ оформляет решение на доске в форме предложенной таблицы.
№ шага | Обозначение действия | Количество воды в А (8 л) | Количество воды в В (5 л) | Количество воды в С (3 л) |
0 | 8 | 0 | 0 | |
1 | АВ | 3 | 5 | 0 |
2 | ВС | 3 | 2 | 3 |
3 | СА | 6 | 2 | 0 |
4 | BC | 6 | 0 | 2 |
5 | AB | 1 | 5 | 2 |
6 | BC | 1 | 4 | 3 |
7 | CA | 4 | 4 | 0 |
IV.Закрепление материала.
- Перед вами лежат карточки. Вам предлагается выполнить эти задания.
Карточка №1
Задание 1
Вставь недостающие слова в определение.
Алгоритм – это ___________________________________ направленная на __________________________________________________________
Задание 2
Лена любит картошку со сметаной. Расставь по порядку действия ее мамы:
Посолила картошку
Бросила картошку в кипяток
Зажгла газовую плиту
Очистила картофель
Купила в магазине картофель и сметану
Погасила огонь и слила кипяток
Полила картофель сметаной
Положила картофель на тарелку
Налила воду в кастрюлю и поставила ее на огонь
Впиши номера действий__________________________________________________
Задание 3.
Является ли данная последовательность действий алгоритмом? Если да, то запишите полученный результат.
Напиши слово ТОРТ
Убери букву справа
Замени букву Р на букву К
Поменяй местами буквы К и Т
Напиши слово
Ответ:_____________________
Задание 4.
Дан алгоритм, записанный на языке блок-схем. Заполните таблицу.

а | 3 | 5 | 7 | 8 | 10 |
х |
Задание 5.
Запишите алгоритм помещения цветов в вазу двумя способами.
Карточка №2
Задание 1
Лена любит картошку со сметаной. Расставь по порядку действия ее мамы:
Залить кипятком заварной чайник
Вскипятить воду
Накрыть чайник специальной грелкой
Ополоснуть кипятком заварной чайник
Засыпать в чайник заварку
Подождать до полного заваривания 5 минут.
Приготовить заварку
Впиши номера действий__________________________________________________
Задание 2
Вставь недостающие слова в определение.
Алгоритм – это ___________________________________ направленная на __________________________________________________________
Задание 3.
Является ли данная последовательность действий алгоритмом? Если да, то запишите полученный результат.
Напиши слово ТОРТ
Убери букву справа
Поменяй местами буквы Р и Т
Допиши слева букву К
Напиши слово
Ответ:_____________________
Задание 4.
Дан алгоритм, записанный на языке блок-схем. Заполните таблицу.

а | 3 | 5 | 7 | 8 | 10 |
х |
Задание 5.
Запишите алгоритм наливания воды в стакан двумя способами.
V.Рефлексия. Подведение итогов
«МЕТОД ПЯТИ ПАЛЬЦЕВ»
М (мизинец) – мыслительный процесс. Какие знания, опыт я сегодня получил?
Б (безымянный) – близость цели. Что я сегодня делал и чего достиг?
С (средний) – состояние духа. Каким было сегодня преобладающее настроение?
У (указательный) – услуга, помощь. Чем я сегодня помог, чем порадовал или чему поспособствовал?
Б! (большой) – бодрость, физическая форма. Каким было моё физическое состояние сегодня? Что я сделал для своего здоровья?

VI.Рефлексия. Итоги урока.
- Вам было легко или были трудности?
- Что у вас получилось лучше всего и без ошибок?
- Какое задание было самым интересным и почему?
- Как бы вы оценили свою работу?
Урок-игра «Алгоритмы»
Цель:
понимает смысл понятия «алгоритм», «исполнитель»;
умеет анализировать предлагаемые последовательности команд на предмет наличия у них свойств алгоритма, как дискретность, определенность, понятность, результативность, массовость;
умеет исполнять алгоритм для формального исполнителя с заданной системой команд.
Задачи:
обобщить первоначальные представления учащихся о понятиях «алгоритм» и «исполнитель»;
рассмотреть свойств алгоритма;
рассмотреть возможности автоматизации деятельности человека за счет возможности формального исполнения алгоритма;
формировать навыки записи алгоритмов на формальных языках.
Тип урока: урок-игра
Методы обучения:
Словесные (рассказ, беседа, объяснение)
Наглядные (презентация, QR-коды)
Практические (упражнения)
Формы организации УД: групповая, индивидуальная, фронтальная
Оборудование: презентация, смартфон, программа для декодирования QR-кода
План урока:
I. Вступительное слово - 2 минуты
II. «Турнир знатоков алгоритма»
Конкурс «Филворд» 10 минут
Конкурс «Чайнворд» 10 минут
Конкурс «Разгадай кроссворд» 20 минут
III. Подведение итогов 3 минут
Ход урока
Мероприятие начинается со вступительного слова ведущего и представления
жюри.
Ведущий. Добрый день! Рада приветствовать. Сегодня мы
проведём «Турнир знатоков алгоритмов», которой пройдёт в форме урока-игры. Вам нужно разделиться на 3 команды и выбрать капитана. Ну что, приступим?
Задание №1. Расшифруйте головоломку «Свойства алгоритма» и полученные термины впишите вместо пропущенных слов.
Все поле заполнено буквами. Каждая буква может входить в состав только одного слова. Слова в этом кроссворде не пересекаются, могут изгибаться, но только под прямым углом (по диагонали слова не располагаются), то есть не могут иметь общих букв. Слова должны только соприкасаться друг с другом.
Всего в головоломке 5 свойств алгоритма. Вписать полученные слова вместо пропущенных в соответствующие определения этих понятий. За каждый вписанный правильный ответ 1 балл. Всего можно набрать 10 баллов. Если обучающийся выделил только слова, но не вписал в пропущенные места, то за задание он получает 5 баллов.
Часть 1. Свойства алгоритма

Часть 2. Подсказки (наведите камеру наQR-код, чтобы получить подсказку)
1. 
(свойство алгоритма, означающее, что данный алгоритм применим к решению целого класса задач)
2. 
(свойство алгоритма, означающее, что он всегда приводит к результату через конечное, возможно, очень большое, число шагов)
3. 
(свойство алгоритма, означающее, что путь решения задачи разделен на отдельные шаги)
4. 
(свойство алгоритма, означающее, что путь решения задачи определен однозначно, на любом шаге не допускаются никакие двусмысленности и недомолвки)
5. 
(свойство алгоритма, означающее, что он задан с помощью таких предписаний, которые исполнитель может воспринимать и по которым может выполнять требуемые действия)
Бланк ответов:
1. | |
2. | |
3. | |
4. | |
5. |
Задание №2.
Задание представляет собой чайнворд по темам главы «Основы алгоритмизации». Необходимо решить задачи и написать полученные числа по часовой стрелке. В каждую ячейку записывается одна цифра. Последняя цифра полученного числа является первой цифрой следующего. За каждую решенную задачу ставится 2 балла. Всего можно набрать 20 баллов.
Дан фрагмент линейного алгоритма.

Расшифровка:
5
=7+3*a
=b/2*a
Чему равно значение переменной a после его исполнения?
Определите значение переменной х и после выполнения алгоритма.

Расшифровка:
x:=47
y:=7
t:=x mod y
y:=y+100*t
Определите значение переменной a после выполнения алгоритма.

Расшифровка:
a:=324
b:=a div 10
b:=b/4+2
b:=b*70+2
a:=a+10*b
Исполните алгоритм при z=450 и w=451

Исполните алгоритм в задании 4 для z=901 и w=900
Определите значение переменной s после выполнения фрагмента алгоритма.
:=0
нц для i от 1 до 5
:=s+i
кц
7.Определите значение переменной s после выполнения фрагмента алгоритма.
s:=1
нц для i от 1 до 5
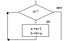
8. Исполните фрагмент алгоритма при a=4 и b=6000




№3. Сканворд «Основы алгоритмизации»

Подведение итогов. Вручение грамот.
4. ЭЛЕКТРОННЫЕ СРЕДСТВА ОБУЧЕНИЯ
1. Презентации к уроку (представлены в папке)
2. Тесты к урокам:
Урок №1: https://forms.gle/YPLpfKumHgVFpCux6

Урок №2: https://forms.gle/mS4bBi9E4PxAS5Mb8

3. Сайт: https://sites.google.com/view/khudyakova14122021/главная
Чтобы оставлять комментарии, вам необходимо авторизоваться на сайте. Если у вас еще нет учетной записи на нашем сайте, предлагаем зарегистрироваться. Это займет не более 5 минут.