Математическая игра "Составь слово"
Опыт показывает, что применение элементов игровых технологий дает гораздо больший эффект при контроле знаний, так как действует на положительные эмоции учащихся, позволяет создавать условия, способствующие активной работе над выполнением заданий, развивает умение работать в группе, воспитывает самостоятельность, ответственность за свои действия и действия группы. Занимательная игровая дидактика способна вызвать любопытство, удивление, восхищение, радость познания, а вследствие этого у обучающихся появляется искреннее желание понять, запомнить, применить.
Игра «Составь слово»ориентирована на отработку математических навыков. В ходе игры обучающиеся заменяют полученные ответы к заданиям по специальному коду на буквы и получают слова, что ускоряет проверку и дает возможность осуществлять очень быструю обратную связь. Обучающиеся работают индивидуально, списать практически невозможно, прямо на уроке получают оценку, видят результаты своего труда, выявляют свои слабые места, то, над чем можно еще поработать.
В ходе игры обучающиеся решают уравнения (выражения) и по заданному коду ответы заменяют на букву. Результатом решения является слово. Разработаны карточки двух уровней: уровень А, его решение соответствует оценке «3» (составлено 12 вариантов), уровень В, на повышенную оценку (6 вариантов).
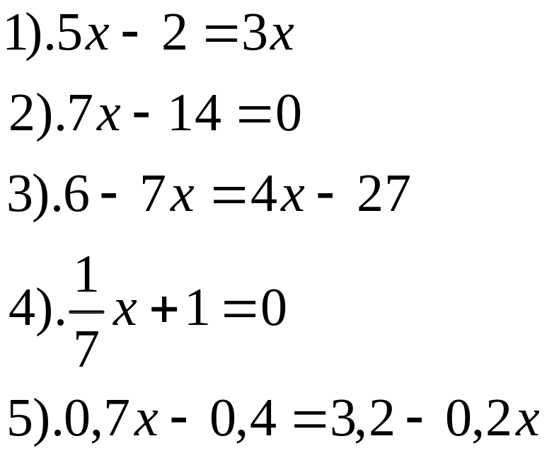
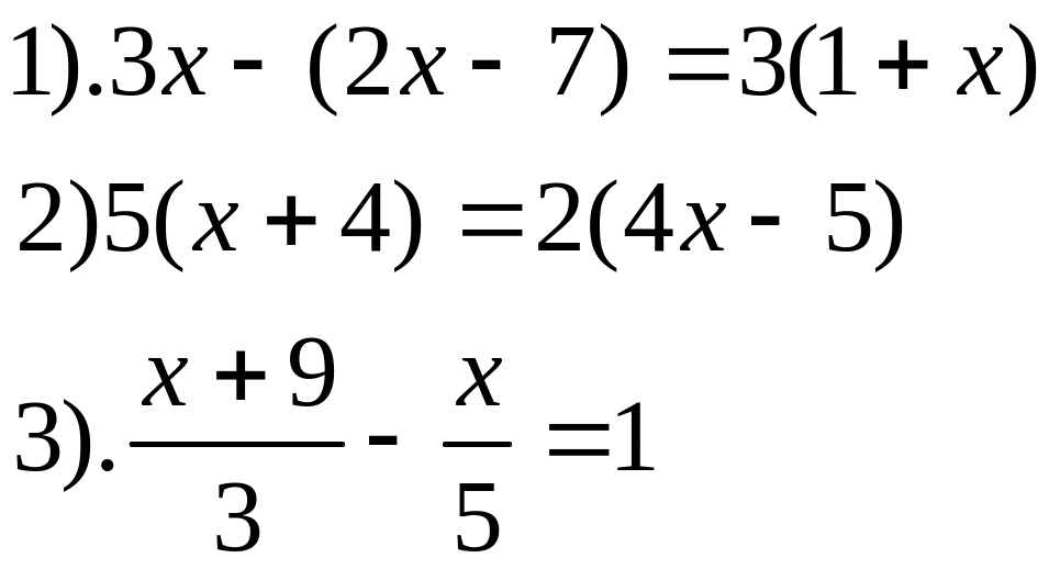
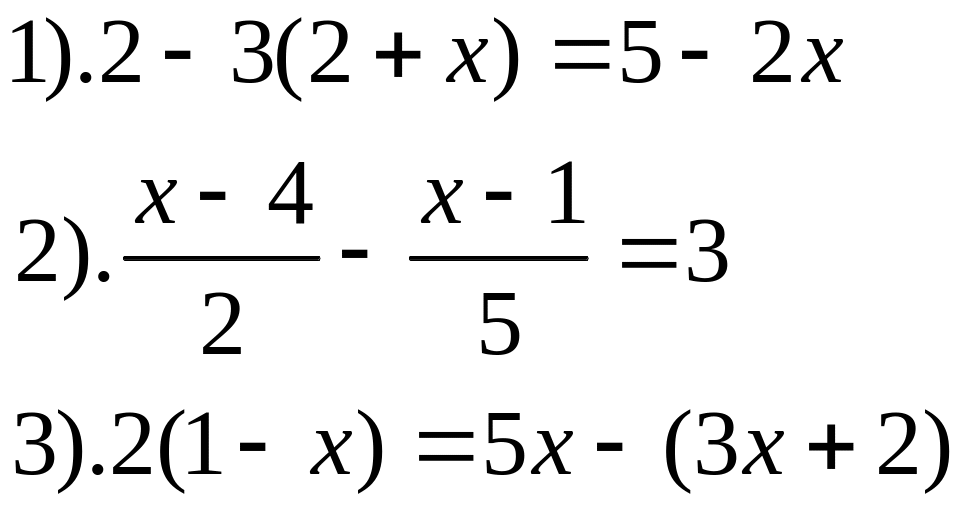
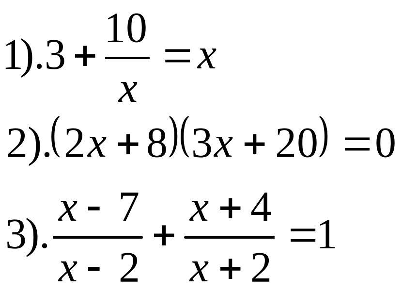
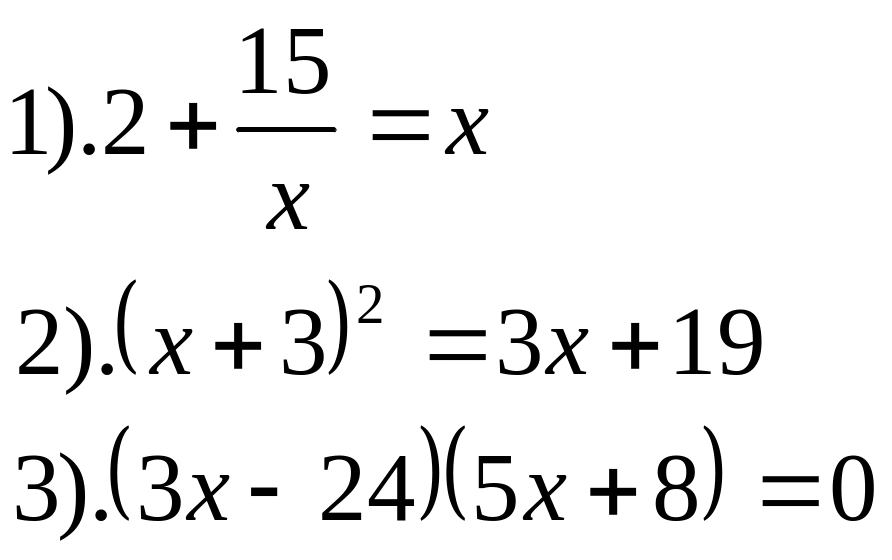
К теме «Решение линейных уравнений»
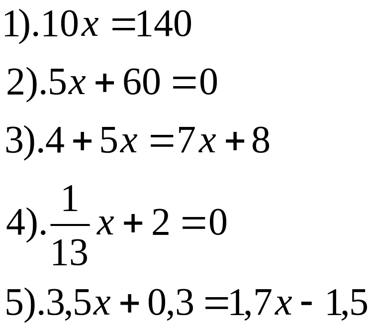
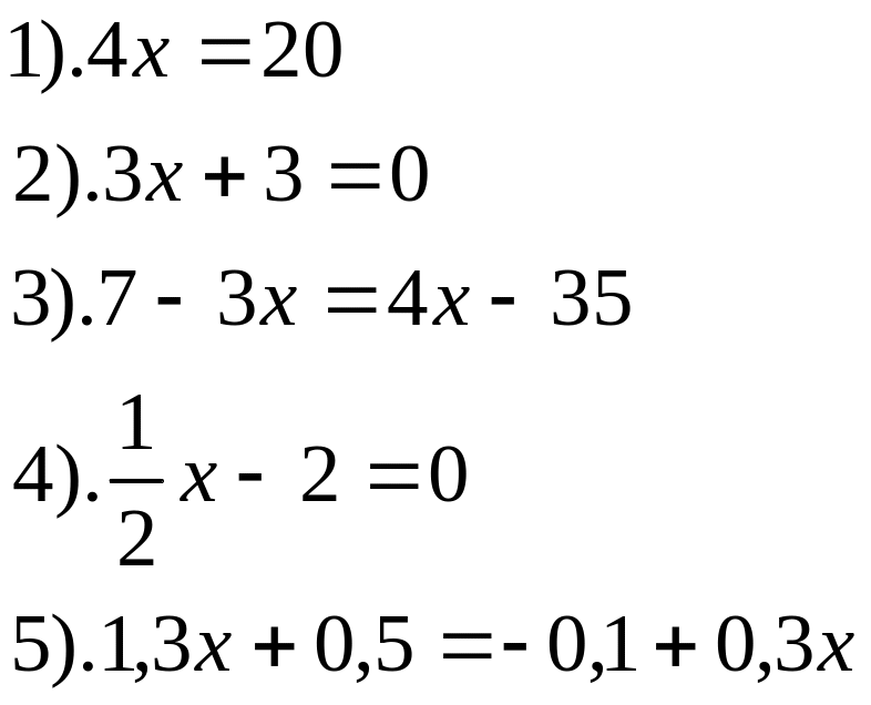
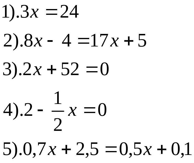
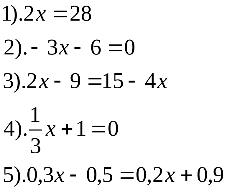
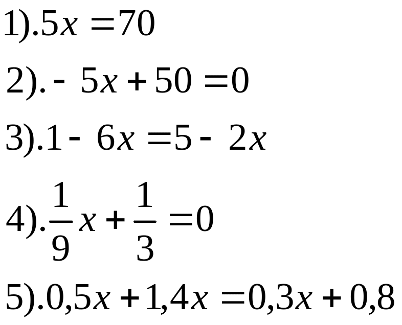
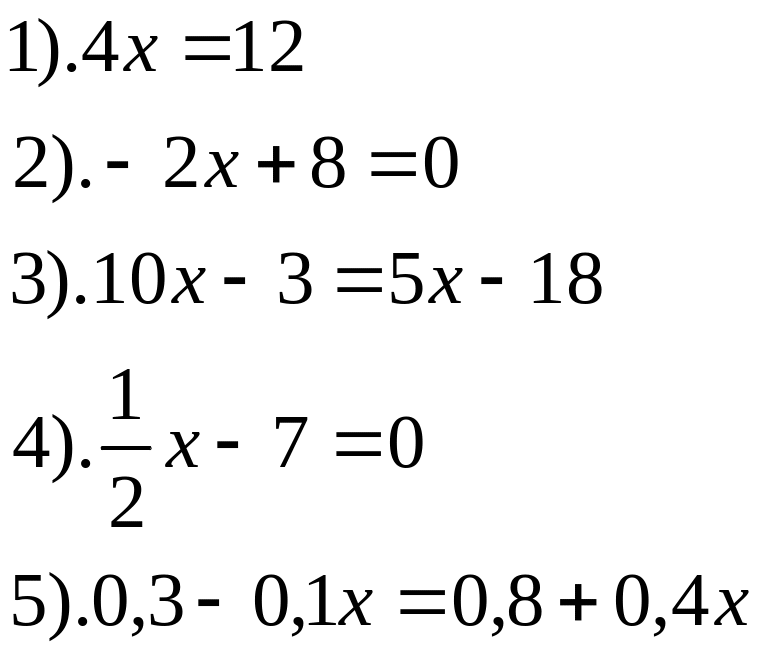
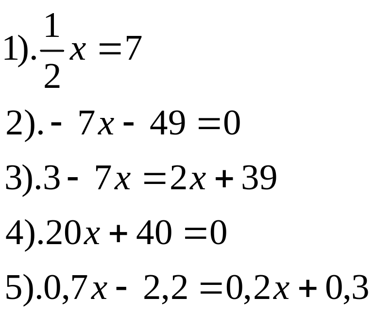
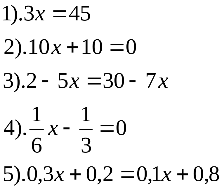
Решить уравнения, полученные корни заменить на буквы. Результат решения карточки – слово.
Уровень А, вар.1 | Уровень А, вар.2 | Уровень А, вар.3 |
|
|
|
Уровень А, вар.4 | Уровень А, вар.5 | Уровень А, вар.6 |
|
|
|
Уровень А, вар.7 | Уровень А, вар.8 | Уровень А, вар.9 |
|
|
|
Уровень А, вар.10 | Уровень А, вар.11 | Уровень А, вар.12 |
|
|
|
Уровень В, вар.1 | Уровень В, вар.2 | Уровень В, вар.3 |
|
|
|
Уровень В, вар.4 | Уровень В, вар.5 | Уровень В, вар.6 |
|
|
|
Коды для ответов:
Корень | -30 | -26 | -15 | -12 | -9 | -7 | -6 | -4 | -3 | -2 | -1 | 0 | 1 | 2 | 3 | 4 | 5 | 6 | 8 | 10 | 14 | 15 | 16 |
Буква | Ш | Г | Ь | Н | Д | Р | П | У | С | И | А | Я | М | Е | Т | О | З | Б | В | Л | К | Ж | Ы |
Ответы:
Уровень А | Уровень В | ||||||||||
№ в | слово | 1 задание | 2 зада ние | 3 зада ние | 4 зада ние | 5 зада ние | № в | слово | 1 зада ние | 2 зада ние | 3 зада ние |
1 | книга | 14 | -12 | -2 | -26 | -1 | 1 | шут | -30 | -4 | 3 |
2 | забор | 5 | -1 | 6 | 4 | -7 | |||||
3 | сироп | -3 | -2 | -7 | 4 | -6 | 2 | сом | -3 | 4 | 1 |
4 | вагон | 8 | -1 | -26 | 4 | -12 | |||||
5 | стена | -3 | 3 | 2 | -12 | -1 | 3 | тон | 3 | 4 | -12 |
6 | киоск | 14 | -2 | 4 | -3 | 14 | |||||
7 | лимон | 10 | -2 | 1 | 4 | -12 | 4 | ель | 2 | 10 | -15 |
8 | класс | 14 | 10 | -1 | -3 | -3 | |||||
9 | тоска | 3 | 4 | -3 | 14 | -1 | 5 | дым | -9 | 16 | 1 |
10 | круиз | 14 | -7 | -4 | -2 | 5 | |||||
11 | жакет | 15 | -1 | 14 | 2 | 3 | 6 | дом | -9 | 4 | 1 |
12 | метро | 1 | 2 | 3 | -7 | 4 | |||||
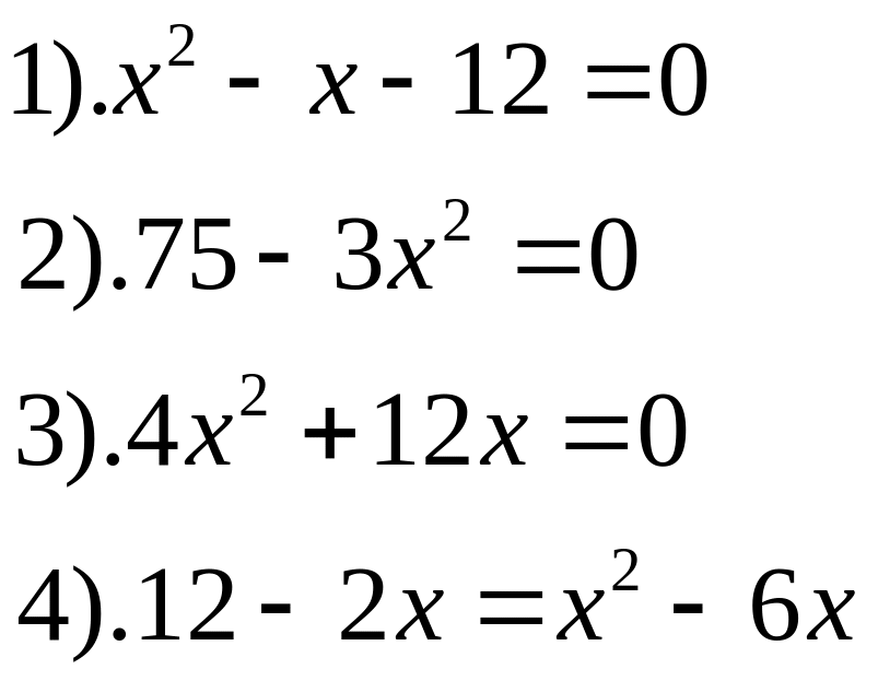
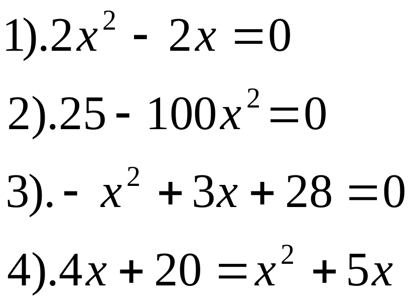
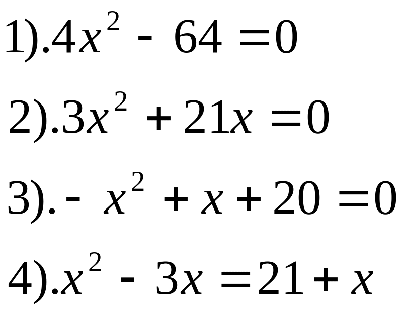
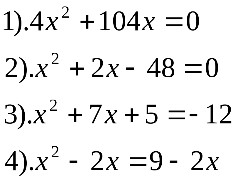
К теме «Решение квадратных уравнений»
Решить уравнения, сумму полученных в каждом уравнении корней заменить на буквы. Результат решения карточки – слово.
Уровень А, вар. 1 | Уровень А, вар. 2 | Уровень А, вар. 3 |
|
|
|
Уровень А, вар. 4 | Уровень А, вар. 5 | Уровень А, вар. 6 |
|
|
|
Уровень А, вар. 7 | Уровень А, вар. 8 | Уровень А, вар. 9 |
|
|
|
Уровень А, вар. 10 | Уровень А, вар. 11 | Уровень А, вар. 12 |
|
|
|
Решить уравнения, заменить буквой наибольший корень каждого уравнения. Составленное слово является ответом.
Уровень В, вар. 1 | Уровень В, вар. 2 | Уровень В, вар. 3 |
|
|
|
Уровень В, вар. 4 | Уровень В, вар. 5 | Уровень В, вар. 6 |
|
|
|
Коды для ответов:
Корень | -30 | -26 | -15 | -12 | -9 | -7 | -6 | -4 | -3 | -2 | -1 | 0 | 1 | 2 | 3 | 4 | 5 | 6 | 8 | 10 | 14 | 15 | 16 |
Буква | Ш | Г | Ь | Н | Д | Р | П | У | С | И | А | Я | М | Е | Т | О | З | Б | В | Л | К | Ж | Ы |
Ответы:
Уровень А | Уровень В | ||||||||||||||||
Зада ние № вар. | слово | 1 | 2 | 3 | 4 | Зада ние № в. | слово | 1 | 2 | 3 | |||||||
корни | сумма | корни | сумма | корни | сумма | корни | сумма | корни | наибольший корень | корни | наибольший корень | корни | наибольший корень | ||||
1 | пуля | 0 -6 | -6 | -6 2 | -4 | 6 4 | 10 | ±2 | 0 | 1 | зуб | 5 -2 | 5 |
| -4 | 6 -3 | 6 |
2 | мясо | 4 -3 | 1 | ±5 | 0 | 0 -3 | -3 | 6 -2 | 4 | ||||||||
3 | мята | 0 1 | 1 |
| 0 | 7 -4 | 3 | -5 4 | -1 | 2 | бор | 6 2 | 6 | -12 4 | 4 | -7 -10,5 | -7 |
4 | тяга | 5 -2 | 3 |
| 0 | 0 -26 | -26 | -5 4 | -1 | ||||||||
5 | ядро | ±10 | 0 | 0 -9 | -9 | -5 -2 | -7 | 5 -1 | 4 | 3 | ель | 2 -0,6 | 2 | 10 2 | 10 | -15
| -15 |
6 | рябь | 0 -7 | -7 | ±4 | 0 | 8 -2 | 6 | -7 -8 | -15 | ||||||||
7 | ярмо | ±4 | 0 | 0 -7 | -7 | 5 -4 | 1 | 7 -3 | 4 | 4 | рот | -7 -8 | -7 | 4
| 4 | 3 - | 3 |
8 | ряса | -2 -5 | -7 | ±2 | 0 | -7 4 | -3 | 0 -1 | -1 | ||||||||
9 | ярка | ±5 | 0 | -8 1 | -7 | 0 14 | 14 | -4 3 | -1 | 5 | зев | 5 -3 | 5 | 2 -5 | 2 | 8 -1,6 | 8 |
10 | пояс | -2 -4 | -6 | 4 0 | 4 | ±7 | 0 | -5 2 | -3 | ||||||||
11 | гиря | 0 -26 | -26 | -8 6 | -2 | -4 -3 | -7 | ±3 | 0 | 6 | еда | 2 -1 | 2 | -9 -17,5 | -9 | -2,5 -1 | -1 |
12 | вояж | 5 3 | 8 | 4 0 | 4 | ±3 | 0 | 5 10 | 15 | ||||||||
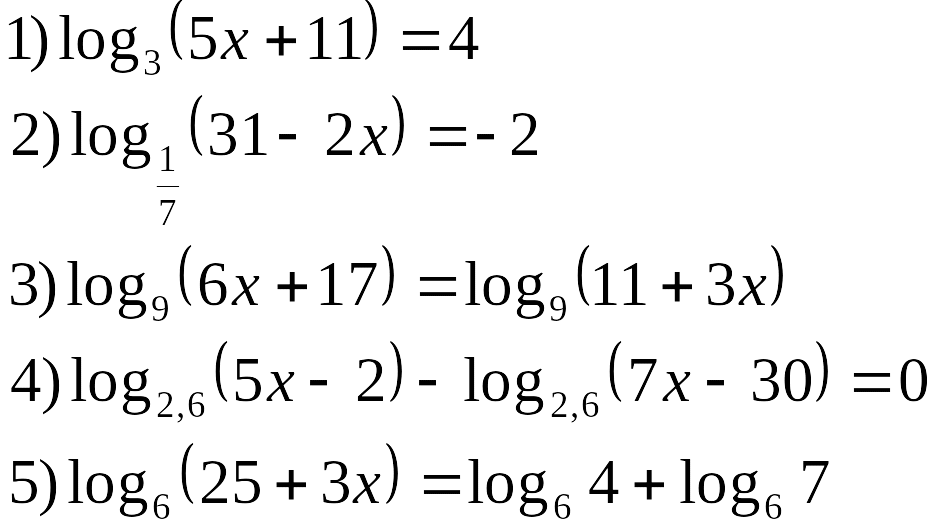
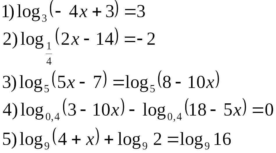
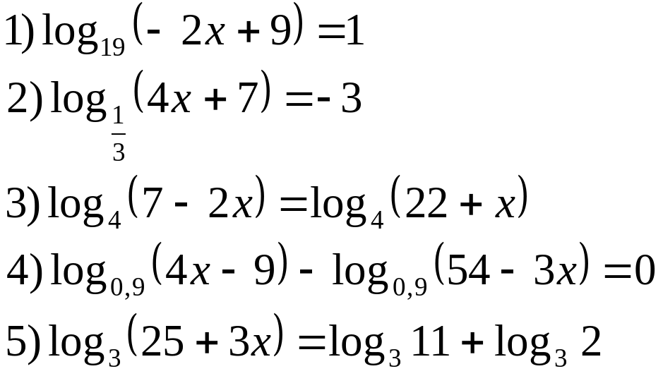
К теме «Решение показательных уравнений»
Решить уравнения, полученные корни заменить на буквы. Результат решения карточки – слово.
Уровень А, вар. 1 | Уровень А, вар. 2 | Уровень А, вар. 3 |
1) 3) 4) 5) 6) | 1) 3) 4) 5) 6) | 1) 3) 4) 5) 6) |
Уровень А, вар. 4 | Уровень А, вар. 5 | Уровень А, вар. 6 |
1) 3) 4) 5) 6) | 1). 3) 4) 5) 6) | 1) 3) 4) 5) 6) |
Уровень А, вар. 7 | Уровень А, вар. 8 | Уровень А, вар. 9 |
1) 3) 4) 5) 6) | 1) 3) 4) 5) 6) | 1) 3) 4) 5) 6) |
Уровень А, вар. 10 | Уровень А, вар. 11 | Уровень А, вар. 12 |
1) 3) 4) 5) 6) | 1) 2) 3) 4) 5) 6) | 1) 2) 3) 4) 5) 6) |
Решить уравнения, заменить буквой наибольший корень каждого уравнения. Результат решения карточки – слово.
Уровень В, вар. 1 | Уровень В, вар. 2 | Уровень В, вар. 3 |
1) 2) 3) 4) 5) | 1) 2) 3) 4) 5) | 1) 2) 3) 4) 5) |
Уровень В, вар. 4 | Уровень В, вар. 5 | Уровень В, вар. 6 |
1) 2) 3) 4) 5) | 1) 2) 3) 4) 5) | 1) 2) 3) 4) 5) |
Коды для ответов:
Корень | -10 | -8 | -7 | -6 | -5 | -4 | -3 | -2 | -1 | 0 | 1 | 2 | 3 | 4 | 5 | 6 | 7 | 8 | 9 | 10 | 11 | 12 | 13 | 17 |
Буква | г | я | с | ь | и | т | б | к | о | з | ч | а | р | е | в | у | м | л | ж | д | н | ф | э | п |
Ответы:
Уровень А | Уровень В | |||||||||||||
№ вар. | слово | 1 зада ние | 2 зада ние | 3 зада ние | 4 зада ние | 5 зада ние | 6 зада ние | № вар. | слово | 1 зада ние | 2 зада ние | 3 зада ние | 4 зада ние | 5 зада ние |
1 | трубач | -4 | 3 | 6 | -3 | 2 | 1 | 1 | арена | 5, -3 | 7, -3 | 9, -5 | 11 | 2 |
2 | волчок | 5 | -1 | -8 | 1 | -1 | -2 | |||||||
3 | герань | -10 | 4 | 3 | 2 | 11 | -6 | 2 | басня | -5, 2 | -10, 12 | -3, -4 | 11 | -8 |
4 | крокус | -2 | 3 | -1 | -2 | 6 | -7 | |||||||
5 | оптика | -1 | 17 | -4 | -5 | -2 | 2 | 3 | поэма | 8, 9 | -7, 6 | 0, 13 | 7 | 2 |
6 | буржуа | -3 | 6 | 3 | 9 | 6 | 2 | |||||||
7 | гранка | -10 | 3 | 2 | 11 | -2 | 2 | 4 | кучер | -6, 4 | 3, 3 | -3, 4 | 4 | 3 |
8 | ратник | 3 | 2 | -4 | 7 | -5 | -2 | |||||||
9 | микрон | 7 | -5 | -2 | 3 | -1 | 11 | 5 | пласт | 4, 13 | -3, 11 | -5, 7 | -7 | -4 |
10 | силуэт | -7 | -5 | 8 | 6 | 13 | -4 | |||||||
11 | фильтр | 12 | -5 | 8 | -6 | -4 | 3 | 6 | серия | -8, 1 | 1, 3 | -5, 8 | -5 | -8 |
12 | догмат | 10 | -1 | -10 | 7 | 2 | -4 | |||||||
К теме «Логарифмические выражения» (игра «Города»):
Вычислить значение выражений, полученные числа заменить на буквы. Результат решения карточки – название города.
Уровень А, вар. 1 | Уровень А, вар. 2 | Уровень А, вар. 3 |
|
|
|
Уровень А, вар. 4 | Уровень А, вар. 5 | Уровень А, вар. 6 |
|
|
|
Уровень А, вар. 7 | Уровень А, вар. 8 | Уровень А, вар. 9 |
|
|
|
Уровень А, вар. 10 | Уровень А, вар. 11 | Уровень А, вар. 12 |
|
|
|
Уровень В, вар. 1 | Уровень В, вар. 2 | Уровень В, вар. 3 |
|
|
|
Уровень В, вар. 4 | Уровень В, вар. 5 | Уровень В, вар. 6 |
|
|
|
Коды для ответов:
Ответ | -4 |
|
|
| -1 |
|
|
|
| 0 |
|
|
|
|
|
|
| 1 |
|
|
| 2 |
| 3 | 4 | 5 |
Буква | х | и | а | ю | п | у | о | е | б | з | ы | ф | т | к | в | ь | ц | н | г | с | м | л | ч | р | д | ж |
Ответы:
Уровень А | Уровень В | ||||||||||||
№ вар. | город | 1 зада ние | 2 зада ние | 3 зада ние | 4 зада ние | 5 зада ние | 6 зада ние | № вар. | слово | 1 зада ние | 2 зада ние | 3 зада ние | |
1 | Канпур (Инд.) |
| - | 1 | -1 |
| 3 | 1 | Фес (Марокко) |
| - |
| |
2 | Мадрас (Инд.) |
| - | 4 | 3 | - |
| ||||||
3 | Карачи (Пак.) |
| - | 3 | - |
| - | 2 | Спа (Бельгия) |
| -1 | - | |
4 | Мюнхен (Герм.) |
| - | 1 | -4 | - | 1 | ||||||
5 | Волжск (Рос.) |
| - | 2 | 5 |
|
| 3 | Печ (Венгрия) | -1 | - |
| |
6 | Матади (Заир) |
| - |
| - | 4 | - | ||||||
7 | Сольцы (Рос.) |
| - | 2 |
|
|
| 4 | Дно (Россия) | 4 | 1 | - | |
8 | Котбус (Герм.) |
| - |
| - | - |
| ||||||
9 | Кунгур (Рос.) |
| - | 1 |
| - | 3 | 5 | Кан (Франция) |
|
| 1 | |
10 | Медина (С.Ар.) |
| - | 4 | - | 1 | - | ||||||
11 | Физули (Азер.) |
| - | 0 | - | 2 | - | 6 | Чоп (Украина) |
| - | -1 | |
12 | Толедо (Исп.) |
| - | 2 | - | 4 | - | ||||||
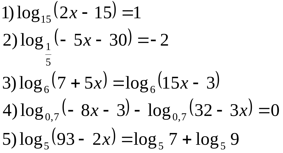
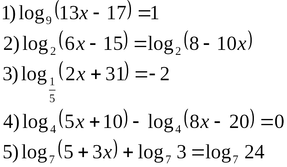
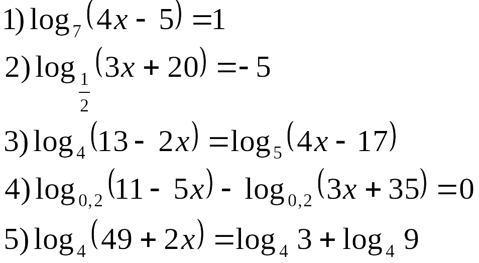
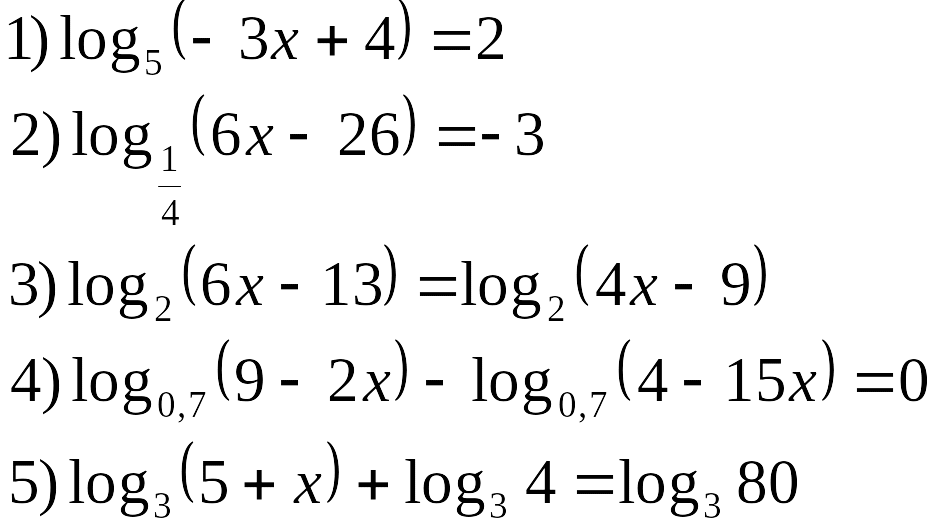
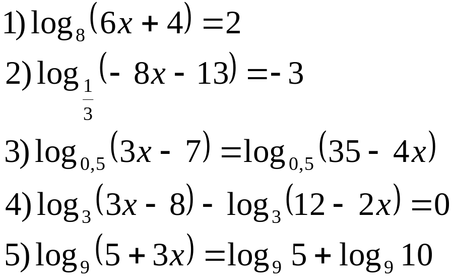
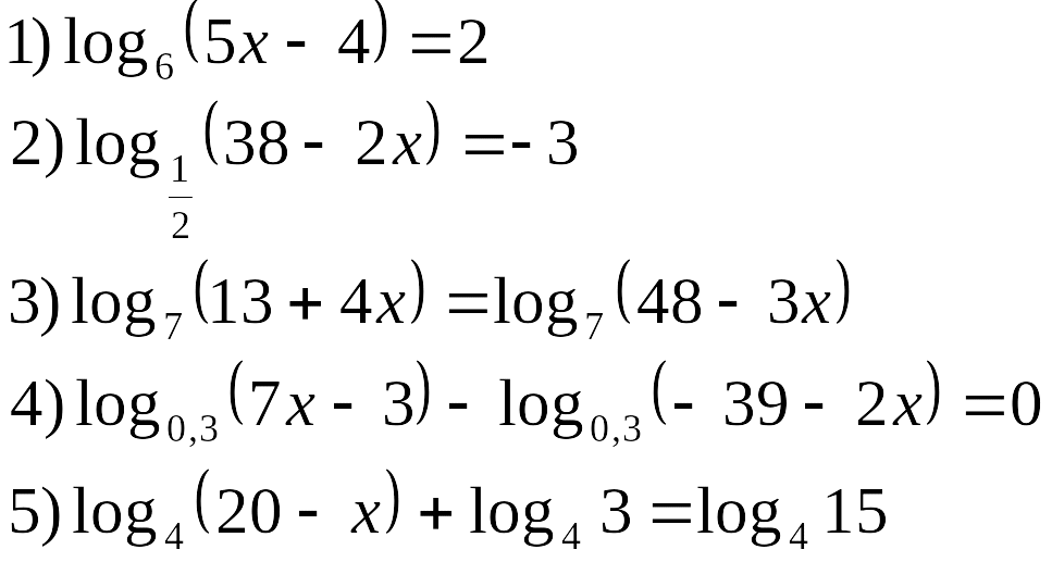
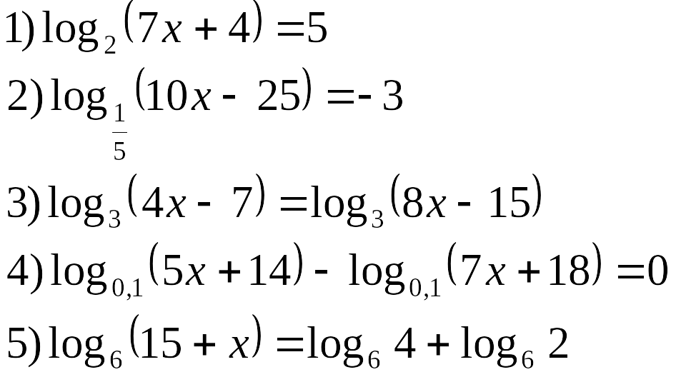
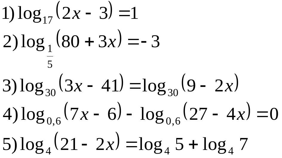
К теме «Логарифмические уравнения» (игра «Реки»):
Решить уравнения, полученные корни заменить на буквы. Результат решения карточки – название реки.
Вариант 1 | Вариант 2 | Вариант 3 |
|
|
|
Вариант 4 | Вариант 5 | Вариант 6 |
|
|
|
Вариант 7 | Вариант 8 | Вариант 9 |
|
|
|
Вариант 10 | Вариант 11 | Вариант 12 |
|
|
|
Коды для ответов:
Корень | -11 | -9 | -7 | -6 | -5 | -3 | -2 | -1 | 0 | 1 | 2 | 3 | 4 | 5 | 6 | 8 | 9 | 10 | 14 | 15 |
Буква | Л | З | М | К | О | У | Ы | Е | Р | Ь | Д | И | Н | Г | С | Ч | В | Т | Б | А |
Ответы:
№ вар. | 1 задание | 2 задание | 3 задание | 4 задание | 5 задание | река |
1 | 14 | -9 | -2 | 14 | 1 | Бзыбь (Абхазия) |
2 | -7 | -3 | 0 | 15 | 10 | Мурат (Турция) |
3 | -6 | 15 | 0 | -3 | 4 | Карун (Иран) |
4 | -5 | 5 | -5 | 9 | -1 | Огове (Африка) |
5 | 15 | -11 | 1 | -7 | 15 | Альма (Крым) |
6 | 2 | 0 | -3 | 10 | 1 | Друть (Белоруссия) |
7 | 3 | 4 | 5 | -3 | -11 | Ингул (Украина) |
8 | -7 | 15 | 0 | 4 | 15 | Марна (Франция) |
9 | 10 | -5 | 6 | 4 | 15 | Тосна (Россия) |
10 | 8 | 15 | 5 | 0 | 15 | Чагра (Россия) |
11 | 4 | 15 | 2 | -2 | -7 | Надым (Россия) |
12 | 10 | 15 | 0 | 3 | 7 | Тарим (Китай) |





































-4



2) 




2) 


;
2) 




2) 




2) 




2) 




2) 




2) 




2)




2) 








































































































Чтобы оставлять комментарии, вам необходимо авторизоваться на сайте. Если у вас еще нет учетной записи на нашем сайте, предлагаем зарегистрироваться. Это займет не более 5 минут.