Практическая работа "Действия над комплексными числами в алгебраической форме. Геометрическая интерпретация"
Практическое работа
Тема:«Действия над комплексными числами в алгебраической форме.
Геометрическая интерпретация»
Цель:закрепить навыки выполнения действий с комплексными числами.
Задание 1.Выполнить действия (сложение, вычитание, умножение и деление) над комплексными числами,результаты изобразить на комплексной плоскости.
Задание 2. Решить квадратное уравнение


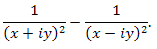
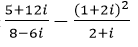
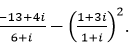
Задание 3. Вычислить / упростить
Вариант | Вариант | ||
1, 15, 29 |
| 8, 22 |
|
2, 16 |
| 9, 23 |
|
3, 17 |
| 10, 24 |
|
4, 18 |
| 11, 25 |
|
5, 19 |
| 12, 26 |
|
6, 20 |
| 13, 27 |
|
7, 21 |
| 14,28, 30 |
|
Практическое занятие №3
Тема:«Действия над комплексными числами в алгебраической форме.
Геометрическая интерпретация»
Цель:закрепить навыки выполнения действий с комплексными числами.
Задание 1.Выполнить действия (сложение, вычитание, умножение и деление) над комплексными числами,результаты изобразить на комплексной плоскости.
Задание 2. Решить квадратное уравнение


Задание 3. Вычислить / упростить
Вариант | Вариант | ||
1, 15, 29 |
| 8, 22 |
|
2, 16 |
| 9, 23 |
|
3, 17 |
| 10, 24 |
|
4, 18 |
| 11, 25 |
|
5, 19 |
| 12, 26 |
|
6, 20 |
| 13, 27 |
|
7, 21 |
| 14,28, 30 |
|















Чтобы оставлять комментарии, вам необходимо авторизоваться на сайте. Если у вас еще нет учетной записи на нашем сайте, предлагаем зарегистрироваться. Это займет не более 5 минут.