Информация и Информационные процессы. Представление и обработка информации

ФЕДЕРАЛЬНОЕ АГЕНТСТВО ВОЗДУШНОГО ТРАНСПОРТА
(РОСАВИАЦИЯ)
ФЕДЕРАЛЬНОЕ ГОСУДАРСТВЕННОЕ БЮДЖЕТНОЕ ОБРАЗОВАТЕЛЬНОЕ УЧРЕЖДЕНИЕ
ВЫСШЕГО ОБРАЗОВАНИЯ «САНКТ-ПЕТЕРБУРГСКИЙ ГОСУДАРСТВЕННЫЙ УНИВЕРСИТЕТ ГРАЖДАНСКОЙ АВИАЦИИ ИМЕНИ ГЛАВНОГО МАРШАЛА АВИАЦИИ А.А. НОВИКОВА»
Выборгский филиал им. С.Ф. Жаворонкова СПбГУ ГА
«Утверждаю»
Зам. директора по УР
______И. В. Ганьшина
«___»_________2023 г.
РАБОЧАЯ ТЕТРАДЬ
для обучающегося
УЧЕБНАЯ ДИСЦИПЛИНА /МДК: ОУД.05 Информатика
Специальность 25.02.01 Техническая эксплуатация летательных аппаратов и двигателей (среднее профессиональное образование базовой подготовки) .
(код, наименование, уровень подготовки)
Тема: Раздел 2. Информация и информационные процессы. 2.1. Представление и обработка информации
Преподаватель: Романова Е.С.
Рассмотрено на заседании ЦК
«………………..» и методическом совете.
Протокол №____ от ______ 202_ г
Председатель ЦМК
_____________________________
Протокол №____ от ______ 202_ г
Председатель методического совета _______________________
Выборг
2023г.
Содержание
Содержание2
Пояснительная записка3
Раздел 2. Информация и информационные процессы. 2.1. Представление и обработка информации8
Практические задания по теме: Раздел 2. Информация и информационные процессы. 2.1. Представление и обработка информации32
Тестовые задания по теме: Раздел 2. Информация и информационные процессы. 2.1. Представление и обработка информации37
Контрольные вопросы по теме: Раздел 2. Информация и информационные процессы. 2.1. Представление и обработка информации44
Заключение46
Список литературы47
Приложение 1. Ключ к тестам: Раздел 2. Информация и информационные процессы. 2.1. Представление и обработка информации48
Приложение 2. Эталоны ответов к практическим заданиям: Раздел 2. Информация и информационные процессы. 2.1. Представление и обработка информации49
Пояснительная записка
Данная методическая тетрадь по теме «Раздел 2. Информация и информационные процессы. 2.1 Представление и обработка информации» составлена в соответствии с рабочей программой по дисциплине ОУД.05 Информатика для специальности 25.02.01 Техническая эксплуатация летательных аппаратов и двигателей 1 курс.
Тематическая рабочая тетрадь по теме: «Раздел 2. Информация и информационные процессы. 2.1 Представление и обработка информации» предназначена для подготовки к дифференцированному зачету по дисциплине ОУД.05 Информатика, организации и проведения итогового повторения, диагностики проблемных зон в знаниях обучающихся и последующей коррекции. Настоящее пособие написано в соответствии с программой по информатике для профессий среднего специального образования. Тетрадь позволяет отработать и закрепить навыки решения задач, выстроить индивидуальные траектории повторения и эффективно подготовиться к сдаче дифференцированного зачета. Пособие адресовано обучающимся первого курса и их родителям, преподавателям информатики, а также всем, кто интересуется информатикой.
Задачами освоения дисциплины ОУД.05 Информатика (в соответствии с требованиями ФГОС СОО, ориентацией на результаты ФГОС СПО) являются:
формировать умения владеть основными понятиями: информация, передача, хранение и обработка информации, алгоритм, модель, цифровой продукт и их использование для решения учебных и практических задач;
формировать умения оперировать единицами измерения информационного объема и скорости передачи данных;
пояснять на примерах различия между позиционными и непозиционными системами счисления; записывать и сравнивать целые числа от 0 до 1024 в различных позиционных системах счисления с основаниями 2, 8, 16, выполнять арифметические операции над ними;
формировать умения кодировать и декодировать сообщения по заданным правилам; понимание основных принципов кодирования информации различной природы: текстовой (на углубленном уровне: в различных кодировках), графической, аудио;
формировать владения понятиями: высказывание, логическая операция, логическое выражение; умение записывать логические выражения с использованием дизъюнкции, конъюнкции и отрицания, определять истинность логических выражений, если известны значения истинности входящих в него переменных, строить таблицы истинности для логических выражений;
записывать логические выражения на изучаемом языке программирования;
способствовать развитию алгоритмического мышления как необходимого условия профессиональной деятельности в современном обществе; понимание сущности алгоритма и его свойств;
развивать умение составлять, выполнять вручную и на компьютере несложные алгоритмы для управления исполнителями (Черепашка, Чертежник); создавать и отлаживать программы на одном из языков программирования (Python, C++, Паскаль, Java, C#, Школьный Алгоритмический Язык), реализующие несложные алгоритмы обработки числовых данных с использованием циклов и ветвлений; умение разбивать задачи на подзадачи, использовать константы, переменные и выражения различных типов (числовых, логических, символьных); анализировать предложенный алгоритм, определять, какие результаты возможны при заданном множестве исходных значений;
формировать умения записать на изучаемом языке программирования алгоритмы проверки делимости одного целого числа на другое, проверки натурального числа на простоту, выделения цифр из натурального числа, поиск максимумов, минимумов, суммы числовой последовательности;
совершенствовать сформированность представлений о назначении основных компонентов компьютера; использование различных программных систем и сервисов компьютера, программного обеспечения; умение соотносить информацию о характеристиках персонального компьютера с решаемыми задачами; представление об истории и тенденциях развития информационных технологий, в том числе глобальных сетей; владение умением ориентироваться в иерархической структуре файловой системы, работать с файловой системой персонального компьютера с использованием графического интерфейса, а именно: создавать, копировать, перемещать, переименовывать, удалять и архивировать файлы и каталоги;
совершенствовать владение умениями и навыками использования информационных и коммуникационных технологий для поиска, хранения, обработки и передачи и анализа различных видов информации, навыками создания личного информационного пространства; владение умениями пользования цифровыми сервисами государственных услуг, цифровыми образовательными сервисами;
формировать умение выбирать способ представления данных в соответствии с поставленной задачей(таблицы, схемы, графики, диаграммы) с использованием соответствующих программных средств обработки данных; умение формализовать и структурировать информацию, используя электронные таблицы для обработки, анализа и визуализации числовых данных, в том числе с выделением диапазона таблицы и упорядочиванием (сортировкой) его элементов;
формировать умение применять в электронных таблицах формулы для расчетов с использованием встроенных функций, абсолютной, относительной, смешанной адресации; использовать электронные таблицы для численного моделирования в простых задачах из разных предметных областей;
сформированность представлений о сферах профессиональной деятельности, связанных с информатикой, программированием и современными информационно-коммуникационными технологиями, основанными на достижениях науки и IT-отрасли
обеспечить освоение и соблюдение требований безопасной эксплуатации технических средств информационно-коммуникационных технологий;
формировать умение соблюдать сетевой этикет, базовые нормы информационной этики и права при работе с приложениями на любых устройствах и в сети Интернет, выбирать безопасные стратегии поведения в сети;
формировать умение использовать различные средства защиты от вредоносного программного обеспечения, умение обеспечивать личную безопасность при использовании ресурсов сети Интернет, в том числе умение защищать персональную информацию от несанкционированного доступа и его последствий (разглашения, подмены, утраты данных) с учетом основных технологических и социально-психологических аспектов использования сети Интернет (сетевая анонимность, цифровой след, аутентичность субъектов и ресурсов, опасность вредоносного кода);
формировать умение распознавать попытки и предупреждать вовлечение себя и окружающих в деструктивные и криминальные формы сетевой активности (в том числе кибербуллинг, фишинг).
Дисциплина ОУД.05 Информатика представляет собой дисциплину относящуюся к общим учебным дисциплинам цикла. Дисциплина изучается в 1 и 2 семестрах.
Актуальность темы обусловлена тем, что представление и обработка информации это одна из основных тем в информатике. Она играет важную роль в понимании внутреннего представления информации в компьютере, решении задач по обработке и кодированию информации в вычислительной техники, а также помогает понять процесс работы электронно-вычислительной машины с числовой и символьной информацией.
Обучающийся должен обладать следующими общими компетенциями:
ОК 1. Понимать сущность и социальную значимость своей будущей профессии, проявлять к ней устойчивый интерес;
ОК 2. Организовывать собственную деятельность, выбирать типовые методы и способы выполнения профессиональных задач, оценивать их эффективность и качество.
Выполняются задания из данного пособия в обычной тетради.
Раздел 2. Информация и информационные процессы. 2.1. Представление и обработка информации
Информация. Виды и свойства информации. Подходы к понятиям информации и её измерению (вероятностный и алфавитный). Информационные объекты различных видов
Информационная деятельность людей связана с реализацией информационных процессов: с хранением, передачей и обработкой информации. При этом важно уметь измерять количество информации. Для измерения чего-либо должна быть определена единица измерения. Например, единицей измерения массы служит килограмм, единицей измерения времени – секунда, единицей измерения расстояния – метр.
Как измерить информацию? Это сделать сложнее. Так как нет её универсального определения. Существует два подхода к измерению информации. Первый подход отталкивается от практических нужд хранения и передачи информации в технических системах и не связан со смыслом (содержанием) информации. Второй же подход рассматривает восприятие информации человеком и поэтому имеет дело со смыслом информации.
Алфавитный подход к измерению информации
Алфавитный подход к измерению информации применяется в цифровых (компьютерных) системах хранения и передачи информации. В этих системах используется двоичный способ кодирования информации. Алфавитный подход ещё называют объёмным подходом. При алфавитном подходе для определения количества информации имеет значение лишь размер (объём) хранимого и передаваемого кода. Из курса информатики 8-9 классов вы знаете, что если с помощьюi-разрядного двоичного кода можно закодировать алфавит, состоящий из N символов (где N – целая степень двойки), то эти величины связаны между собой по формуле:

ЧислоN называется мощностью алфавита.
Если например, i = 2, то можно построить 4 двухразрядные комбинации из нулей и единиц, т. е. закодировать 4 символа. При i =3 существует 8 трёхразрядных комбинаций нулей и единиц (кодируется 8 символов):
i = 2: | 00 | 01 | 10 | 11 | ||||
i = 3: | 000 | 001 | 010 | 011 | 100 | 101 | 110 | 111 |
Английский алфавит содержит 26 букв. Для записи теста нужны ещё как минимум шесть символов: пробел, точка, запятая, вопросительный знак, восклицательный знак, тире. В сумме получается расширенный алфавит мощностью в 32 символа.
Поскольку 32 = 25, постольку все символы можно закодировать всевозможными пятиразрядными двоичными кодами от 00000 до 11111. Именно пятиразрядный код использовался в телеграфных аппаратах, появившихся ещё в XIXвеке. Телеграфный аппарат при вводе переводил английский текст в двоичный код, длина которого в 5 раз больше, чем длина исходного текста.
В двоичном коде каждая двоичная цифра несет одну единицу информации, которая называется 1 бит.
Бит является основной единицей измерения информации.
Длина двоичного кода, с помощью которого кодируется символ алфавита, называется информационным весом символа. В рассмотренном выше примере информационный вес символа расширенного английского алфавита оказался равным 5 битам.
Информационный объём текста складывается из информационных весов всех составляющих текст символов. Например, английский текст из 1000 символов в телеграфном сообщении будет иметь информационный объём 5000 битов.
Алфавит русского языка включает 33 буквы. Если к нему добавить пробел и пять знаков препинания, то получится набор из 39 символов. Для двоичного кодирования символов такого алфавита пятиразрядного кода уже не достаточно. Нужен, как минимум, 6-разрядный код. Поскольку 26 = 64, то остается еще резерв 25 символов (64 – 39 = 25). Его можно использовать для кодирования цифр, всевозможных скобок, знаков математических операций и других символов, встречающихся в русском тексте. Следовательно, информационный вес символа в расширенном русском алфавите будет равен 6 битам. А текст из 1000 символов будет иметь объем 6000 битов.
Итак, если i – информационный вес символа алфавита, а K – количество символов в тексте, записанном с помощью этого алфавита, то информационный объём I текста выражается формулой:
I = K × i (битов)
Идея измерения количества информации в сообщении через длину двоичного кода этого сообщения принадлежит выдающемуся российскому математику Андрею Николаевичу Колмогорову. Согласно Колмогорову, количество информации, содержащейся в тексте, определяется минимально возможной длинной двоичного кода, необходимого для представления этого текста.
Для определения информационного веса символа полезно знать ряд целых степеней двойки Вот как он выглядит в диапазоне от 21 до 210:
i | 1 | 2 | 3 | 4 | 5 | 6 | 7 | 8 | 9 | 10 |
2i | 2 | 4 | 8 | 16 | 32 | 64 | 128 | 256 | 512 | 1024 |
Поскольку мощность N алфавита может не являться целой степенью двойки, то информационный вес символа алфавита мощностиNопределяется следующим образом. Находится ближайшее к N значение во второй строке таблицы, не меньше сем N. Соответствующее значение i в первой строке будет равно информационному весу символа.
Пример:
Определим информационный вес символа алфавита включающего в себя все строчные и прописные русские буквы (66); цифры (10); знаки препинания, скобки, кавычки (10). Всего получается 86 символов.
Поскольку 26 < 86 < 27, информационный вес символа данного алфавита равен 7 битам. Это означает, что все 86 символов можно закодировать семиразрядными двоичными кодами.
Для двоичного представления текстов в компьютере чаще всего применяется восьмиразрядный код. С помощью восьмиразрядного кода можно закодировать алфавит из 256 символов, поскольку 256 = 28. В стандартную кодовую таблицу помещаются все необходимые символы: английские и русские буквы – прописные и строчные, цифры, знаки препинания, знаки арифметических операций, всевозможные скобки и пр.
Более крупной, чем бит, единицей измерения информации является байт: 1 байт = 8 битов.
Информационный объём текста в памяти компьютера измеряется в байтах. Он равен количеству символов в записи текста.
Одна страница текста на листе формата А4 кегля 12 с одинарным интервалом между строками в компьютерном представлении будет иметь объём 4000 байтов, так как в ней помещается примерно 4000 знаков.
Вероятностный подход к измерению информации
Вероятностный подход связан с таким понятием как вероятность.
Вероятность — это отношение количества тех наблюдений, при которых рассматриваемое событие наступило, к общему количеству наблюдений. Такая трактовка допустима в случае достаточно большого количества наблюдений или опытов.
Вероятность обозначают буквойp.

(гдеK — количество тех наблюдений, при которых рассматриваемое событие наступило, N — общее количество наблюдений)
Единицы измерения информации: бит, байт, кбайт и т.д.
За 1 бит информации принимают такое количество информации, которое находится в сообщении о том, что произошло одно событие из двух равновероятных.
1 бит — это количество информации, уменьшающее неопределенность знаний в два раза.
При равновероятностном подходе вероятности наступления того или иного события равны.
Для измерения количества информации, полученной нами при равновероятном событии, используем формулу
N = 2i
(гдеN — количество возможных исходов события (2 стороны в примере с монеткой), i — количество информации, которое мы получим, при том или ином исходе события)
Пример: Мы подбрасываем монетку. В большинстве своих случаев (не учитывает ребро) она может упасть либо на ОРЕЛ, либо на РЕШКУ. Вероятность наступления данных событий равны (50\50) — т.е. это равновероятностный подход. 2 равновероятных события. Таким образом:2=2i.i=1 биту. Это то количество информации, которое мы получим, когда монетка упадет, и мы узнаем, на какую сторона выпала (орел или решка).
При неравновероятностном подходе вероятности исходов событий не равны.
Пример: В коробке 16 карандашей. Из них 8 синих, 4 красных, 4 зеленых. Вероятность достать из коробки синий карандаш больше, чем вероятность достать зеленый или красный.
Для измерения количества информации при неравновероятностном подходе используют следующие формулы:

(гдеК — количество интересующих нас событий (достать синий карандаш K=8),N — общее количество события).

(где i — количество информации, которое мы получим, при том или ином исходе события).
Вторая формула называется формулой Шеннона (правда в другом виде). В оригинале формула Шеннона выглядит так:

Задача: В коробке 16 карандашей. Из них 8 синих, 4 красных, 4 зеленых. Сколько бит информации мы получим, вытащив из коробки синий карандаш?
Решение:
Определим вероятность получения синего карандаша. Итак, количество интересующих нас событий (достать синий карандаш) равна 8. Общее количество событий равно 4+4+8=16.
Вероятностьp=8/16.
Поставив получившееся значение в формулу 1/p=2i, получим: 2=2i.
Получаем, что i=1 биту.
Ответ: 1 бит информации мы получим, вытащив синий карандаш из коробки.
Системы счисления. Способы перевода чисел в различных системах счисления. Математические действия в различных системах счисления
Система счисления — это способ записи чисел с помощью заданного набора специальных знаков (цифр).
Существуют позиционные и непозиционные системы счисления.
В непозиционных системах вес цифры (т.е. тот вклад, который она вносит в значение числа) не зависит от ее позиции в записи числа. Так, в римской системе счисления в числе ХХХII (тридцать два) вес цифры Х в любой позиции равен просто десяти.
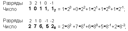
В позиционных системах счисления вес каждой цифры изменяется в зависимости от ее положения (позиции) в последовательности цифр, изображающих число. Например, в числе 757,7 первая семерка означает 7 сотен, вторая – 7 единиц, а третья – 7 десятых долей единицы.
Сама же запись числа 757,7 означает сокращенную запись выражения
700 + 50 + 7 + 0,7 = 7 * 102 + 5 * 101 + 7 * 100 + 7 * 10-1 = 757,7.
Любая позиционная система счисления характеризуется своим основанием.
Основание позиционной системы счисления — это количество различных знаков или символов, используемых для изображения цифр в данной системе.
За основание системы можно принять любое натуральное число — два, три, четыре и т.д. Следовательно, возможно бесчисленное множество позиционных систем: двоичная, троичная, четверичная и т.д. Запись чисел в каждой из систем счисления с основаниемq означает сокращенную запись выражения:
an-1qn-1+ an-2qn-2 + ... + a1q1 + a0q0 + a-1q-1 + ... +a-mq-m,
гдеai – цифры системы счисления; n и m – число целых и дробных разрядов, соответственно.
Например:

В каждой системе счисления цифры упорядочены в соответствии с их значениями: 1 больше 0, 2 больше 1 и т.д.
Продвижением цифры называют замену её следующей по величине.
Продвинуть цифру 1 значит заменить её на 2, продвинуть цифру 2 значит заменить её на 3 и т.д. Продвижение старшей цифры (например, цифры 9 в десятичной системе) означает замену её на 0. В двоичной системе, использующей только две цифры – 0 и 1, продвижение 0 означает замену его на 1, а продвижение 1 – замену её на 0.
Целые числа в любой системе счисления порождаются с помощью правила счета:
Для образования целого числа, следующего за любым данным целым числом, нужно продвинуть самую правую цифру числа; если какая-либо цифра после продвижения стала нулем, то нужно продвинуть цифру, стоящую слева от неё.
Применяя это правило, запишем первые десять целых чисел
в двоичной системе: 0, 1, 10, 11, 100, 101, 110, 111, 1000, 1001;
в троичной системе: 0, 1, 2, 10, 11, 12, 20, 21, 22, 100;
в пятеричной системе: 0, 1, 2, 3, 4, 10, 11, 12, 13, 14;
восьмеричной системе: 0, 1, 2, 3, 4, 5, 6, 7, 10, 11.
Кроме десятичной широко используются системы с основанием, являющимся целой степенью числа 2, а именно:
двоичная (используются цифры 0, 1);
восьмеричная (используются цифры 0, 1, ..., 7);
шестнадцатеричная (для первых целых чисел от нуля до девяти используются цифры 0, 1, ..., 9, а для следующих чисел — от десяти до пятнадцати – в качестве цифр используются символы A, B, C, D, E, F).
Полезно запомнить запись в этих системах счисления первых двух десятков целых чисел:
10-я | 2-я | 8-я | 16-я | 10-я | 2-я | 8-я | 16-я |
0 | 0 | 0 | 0 | 10 | 1010 | 12 | A |
1 | 1 | 1 | 1 | 11 | 1011 | 13 | B |
2 | 10 | 2 | 2 | 12 | 1100 | 14 | C |
3 | 11 | 3 | 3 | 13 | 1101 | 15 | D |
4 | 100 | 4 | 4 | 14 | 1110 | 16 | E |
5 | 101 | 5 | 5 | 15 | 1111 | 17 | F |
6 | 110 | 6 | 6 | 16 | 10000 | 20 | 10 |
7 | 111 | 7 | 7 | 17 | 10001 | 21 | 11 |
8 | 1000 | 10 | 8 | 18 | 10010 | 22 | 12 |
9 | 1001 | 11 | 9 | 19 | 10011 | 23 | 13 |
Из всех систем счисления особенно проста и поэтому интересна для технической реализации в компьютерах двоичная система счисления.
Двоичная система, удобная для компьютеров, для человека неудобна из-за ее громоздкости и непривычной записи.
Перевод чисел из десятичной системы в двоичную и наоборот выполняет машина. Однако, чтобы профессионально использовать компьютер, следует научиться понимать слово машины. Для этого и разработаны восьмеричная и шестнадцатеричная системы.
Числа в этих системах читаются почти так же легко, как десятичные, требуют соответственно в три (восьмеричная) и в четыре (шестнадцатеричная) раза меньше разрядов, чем в двоичной системе (ведь числа 8 и 16 – соответственно, третья и четвертая степени числа 2).
Перевод восьмеричных и шестнадцатеричных чисел в двоичную систему очень прост: достаточно каждую цифру заменить эквивалентной ей двоичной триадой (тройкой цифр) или тетрадой (четверкой цифр).
Например:

Чтобы перевести число из двоичной системы в восьмеричную или шестнадцатеричную, его нужно разбить влево и вправо от запятой на триады (для восьмеричной) или тетрады (для шестнадцатеричной) и каждую такую группу заменить соответствующей восьмеричной (шестнадцатеричной) цифрой.
Например,

Как перевести целое число из десятичной системы в любую другую позиционную систему счисления?
При переводе целого десятичного числа в систему с основанием q его необходимо последовательно делить на q до тех пор, пока не останется остаток, меньший или равный q–1. Число в системе с основанием q записывается как последовательность остатков от деления, записанных в обратном порядке, начиная с последнего.
Пример:
Перевести число 75 из десятичной системы в двоичную, восьмеричную и шестнадцатеричную:
В двоичную В восьмеричную В шестнадцатеричную 


Ответ: 7510 = 1 001 0112 = 1138 = 4B16.
Как перевести правильную десятичную дробь в любую другую позиционную систему счисления?
При переводе правильной десятичной дроби в систему счисления с основанием q необходимо сначала саму дробь, а затем дробные части всех последующих произведений последовательно умножать на q, отделяя после каждого умножения целую часть произведения. Число в новой системе счисления записывается как последовательность полученных целых частей произведения.
Умножение производится до тех поp, пока дробная часть произведения не станет равной нулю. Это значит, что сделан точный перевод. В противном случае перевод осуществляется до заданной точности. Достаточно того количества цифр в результате, которое поместится в ячейку.
Пример:
Перевести число 0,35 из десятичной системы в двоичную, восьмеричную и шестнадцатеричную:

Ответ: 0,3510 = 0,010112 = 0,2638 = 0,5916.
Как перевести число из двоичной (восьмеричной, шестнадцатеричной) системы в десятичную?
При переводе числа из двоичной (восьмеричной, шестнадцатеричной) системы в десятичную надо это число представить в виде суммы степеней основания его системы счисления.
Примеры:

Сводная таблица переводов целых чисел из одной системы счисления в другую
Рассмотрим только те системы счисления, которые применяются в компьютерах — десятичную, двоичную, восьмеричную и шестнадцатеричную.
Для определенности возьмем произвольное десятичное число, например 46, и для него выполним все возможные последовательные переводы из одной системы счисления в другую.
Порядок переводов определим в соответствии с рисунком:

На этом рисунке использованы следующие обозначения:
в кружках записаны основания систем счисления;
стрелки указывают направление перевода;
номер рядом со стрелкой означает порядковый номер соответствующего примера в сводной таблице 1.
Например:
означает перевод из двоичной системы в шестнадцатеричную, имеющий в таблице порядковый номер 6.
Сводная таблица переводов целых чисел
Таблица 1.


Как производятся арифметические операции в позиционных системах счисления?
Рассмотрим основные арифметические операции: сложение, вычитание, умножение и деление. Правила выполнения этих операций в десятичной системе хорошо известны — это сложение, вычитание, умножение столбиком и деление углом. Эти правила применимы и ко всем другим позиционным системам счисления. Только таблицами сложения и умножения надо пользоваться особыми для каждой системы.
Сложение
Таблицы сложения легко составить, используя Правило Счета.
Сложение в двоичной системе счисления:
+ | 0 | 1 |
0 | 0 | 1 |
1 | 1 | 10 |
Сложение в восьмеричной системе счисления:
+ | 0 | 1 | 2 | 3 | 4 | 5 | 6 | 7 |
0 | 0 | 1 | 2 | 3 | 4 | 5 | 6 | 7 |
1 | 1 | 2 | 3 | 4 | 5 | 6 | 7 | 10 |
2 | 2 | 3 | 4 | 5 | 6 | 7 | 10 | 11 |
3 | 3 | 4 | 5 | 6 | 7 | 10 | 11 | 12 |
4 | 4 | 5 | 6 | 7 | 10 | 11 | 12 | 13 |
5 | 5 | 6 | 7 | 10 | 11 | 12 | 13 | 14 |
6 | 6 | 7 | 10 | 11 | 12 | 13 | 14 | 15 |
7 | 7 | 10 | 11 | 12 | 13 | 14 | 15 | 16 |
Сложение в шестнадцатеричной системе счисления:
+ | 0 | 1 | 2 | 3 | 4 | 5 | 6 | 7 | 8 | 9 | A | B | C | D | E | F |
0 | 0 | 1 | 2 | 3 | 4 | 5 | 6 | 7 | 8 | 9 | A | B | C | D | E | F |
1 | 1 | 2 | 3 | 4 | 5 | 6 | 7 | 8 | 9 | A | B | C | D | E | F | 10 |
2 | 2 | 3 | 4 | 5 | 6 | 7 | 8 | 9 | A | B | C | D | E | F | 10 | 11 |
3 | 3 | 4 | 5 | 6 | 7 | 9 | A | B | C | D | E | F | 10 | 11 | 12 | |
4 | 4 | 5 | 6 | 7 | 8 | 9 | A | B | C | D | E | F | 10 | 11 | 12 | 13 |
5 | 5 | 6 | 7 | 8 | 9 | A | B | C | D | E | F | 10 | 11 | 12 | 13 | 14 |
6 | 6 | 7 | 8 | 9 | A | B | C | D | E | F | 10 | 11 | 12 | 13 | 14 | 15 |
7 | 7 | 8 | 9 | A | B | C | D | E | F | 10 | 11 | 12 | 13 | 14 | 15 | 16 |
8 | 8 | 9 | A | B | C | D | E | F | 10 | 11 | 12 | 13 | 14 | 15 | 16 | 17 |
9 | 9 | A | B | C | D | E | F | 10 | 11 | 12 | 13 | 14 | 15 | 16 | 17 | 18 |
A | A | B | C | D | E | F | 10 | 11 | 12 | 13 | 14 | 15 | 16 | 17 | 18 | 19 |
B | B | C | D | E | F | 10 | 11 | 12 | 13 | 14 | 15 | 16 | 17 | 18 | 19 | 1A |
C | C | D | E | F | 10 | 11 | 12 | 13 | 14 | 15 | 16 | 17 | 18 | 19 | 1A | 1B |
D | D | E | F | 10 | 11 | 12 | 13 | 14 | 15 | 16 | 17 | 18 | 19 | 1A | 1B | 1C |
E | E | F | 10 | 11 | 12 | 13 | 14 | 15 | 16 | 17 | 18 | 19 | 1A | 1B | 1C | 1D |
F | F | 10 | 11 | 12 | 13 | 14 | 15 | 16 | 17 | 18 | 19 | 1A | 1B | 1C | 1D | 1E |
При сложении цифры суммируются по разрядам, и если при этом возникает избыток, то он переносится влево.
Пример:
Сложим числа 15 и 6 в различных системах счисления.
Десятичная 1510 + 610, Двоичная 11112 + 1102, Восьмеричная 178 + 68



ШестнадцатеричнаяF16 + 616

Ответ: 15+6 = 2110 = 101012 = 258= 1516.
Проверка. Преобразуем полученные суммы к десятичному виду:
101012 = 24 + 22 + 20 = 16+4+1=21,
258 = 2*81 + 5*80 = 16 + 5 = 21,
1516 = 1*161 + 5*160 = 16+5 = 21.
Вычитание:
Вычитание одного числа от другого сводится к вычитанию единиц соответствующих разрядов и основывается на таблице сложения (вычитания). На практике вычитаемое подписывается под уменьшаемым так, чтобы цифры одинаковых разрядов стояли в одном столбце, и выполняется вычитание цифр вычитаемого от цифр уменьшаемого. Если вычитание чисел невозможно в каком-нибудь разряде, тогда отнимается одна единица следующего (высшего) разряда и к единицам данного разряда уменьшаемого добавляется числоh – основание системы счисления, а затем выполняется вычитание единиц данного разряда.
Примеры вычитания чисел:
Вычтем единицу из чисел 102, 108 и 1016
Двоичная 102 – 12, Восьмеричная 108 – 18, Шестнадцатеричная 10016 - 116



Умножение:
Выполняя умножение многозначных чисел в различных позиционных системах счисления, можно использовать обычный алгоритм перемножения чисел в столбик, но при этом результаты перемножения и сложения однозначных чисел необходимо заимствовать из соответствующих рассматриваемой системе таблиц умножения и сложения.
Умножение в двоичной системе счисления:
* | 0 | 1 |
0 | 0 | 0 |
1 | 0 | 1 |
Умножение в восьмеричной системе счисления:
* | 0 | 1 | 2 | 3 | 4 | 5 | 6 | 7 |
0 | 0 | 0 | 0 | 0 | 0 | 0 | 0 | 0 |
1 | 0 | 1 | 2 | 3 | 4 | 5 | 6 | 7 |
2 | 0 | 2 | 4 | 6 | 10 | 12 | 14 | 16 |
3 | 0 | 3 | 6 | 11 | 14 | 17 | 22 | 25 |
4 | 0 | 4 | 10 | 14 | 20 | 24 | 30 | 34 |
5 | 0 | 5 | 12 | 17 | 24 | 31 | 36 | 43 |
6 | 0 | 6 | 14 | 22 | 30 | 36 | 44 | 52 |
7 | 0 | 7 | 16 | 25 | 34 | 43 | 52 | 61 |
Ввиду чрезвычайной простоты таблицы умножения в двоичной системе, умножение сводится лишь к сдвигам множимого и сложениям.
Десятичная 510 * 610, Двоичная 1012 * 1102, Восьмеричная 58 * 68:



Ответ: 5 * 6 = 3010 = 111102 = 368.
Проверка. Преобразуем полученные произведения к десятичному виду:
111102 = 24 + 23 + 22 + 21 = 30;
368 = 3*81 + 6*80 = 30.
Деление:
Деление в любой позиционной системе счисления производится по тем же правилам, как и деление углом в десятичной системе. В двоичной системе деление выполняется особенно просто, ведь очередная цифра частного может быть только нулем или единицей.
Разделим число 30 на число 6.
Десятичная 3010 / 610, Двоичная 111102 / 1102, Восьмеричная 368 / 68:



Ответ: 30 : 6 = 510 = 1012 = 58
Универсальность дискретного (цифрового) представления информации. Дискретное (цифровое) представление текстовой информации, графической информации, звуковой информации
Кодирование информации - это процесс формирования определенного представления информации.
В более узком смысле под термином кодирование часто понимают переход от одной формы представления информации к другой, более удобной для хранения, передачи или обработки.
Компьютер может обрабатывать только информацию, представленную в числовой форме. Вся другая информация для обработки на компьютере должна быть преобразована в числовую форму. При вводе в компьютер каждая буква кодируется определенным числом, при выводе на внешние устройства для восприятия человеком по этим числам строятся изображения букв. Соответствие между набором букв и числами называется кодировкой символов.
Одну и ту же информацию можно выразить разными способами. Например, каким образом вы можете сообщить об опасности? Если на вас напали, вы просто можете крикнуть: «Караул!!!» Если прибор находится под высоким напряжением, ставится предупреждающий знак; и т. д. Т.е. мы должны знать правила, по которым можно отобразить информацию об опасности тем или иным способом.
Правила, по которым можно отобразить информацию тем или иным способом, называются кодом.
Обычно каждый образ при кодировании представлен отдельным знаком.
Знак – это элемент конечного множества, отличных друг от друга элементов. Знак вместе его смыслом называется символом. Набор знаков, в котором определен их порядок, называется алфавитом. Мощность алфавита - количество используемых в нем символов.
Существует множество алфавитов, но, есть наборы знаков, для которых нет какого-то общепринятого порядка: набор знаков азбуки Брайля; набор китайских иероглифов; набор знаков планет; набор знаков генетического кода.
Важное значение имеют наборы, состоящие всего из двух знаков: пара знаков (+, - ); пара знаков «точка», « тире» и др.
Наборы знаков, состоящие из 2 символов, называют двоичными - двоичный алфавит (0, 1), двоичный знак получил название БИТ. С появлением электрического телеграфа возникли важнейшие технические коды: азбука МОРЗЕ; набор знаков второго международного телеграфного кода (телекс).
Длиной кода – это такое количество знаков, которое используется при кодировании для представления символа. Количество символов в алфавите и длина кода – совершенно разные вещи. Например, в русском алфавите 33 буквы, а слова могут быть длиной в 1, 2, 3 и т.д. буквы.
Коды бывают постоянной и переменной длины. Коды переменной длины применяются в технике довольно редко. Исключением является код МОРЗЕ – это троичный код с набором знаков: точка, тире, пауза. Паузу необходимо использовать в качестве разделителя между буквами и словами, так как длина кода непостоянна.
Применение кодов с постоянной длиной позволяет использовать для кодирования всего лишь два знака. Чем меньше букв в алфавите, тем должно быть проще устройство для раскодирования информационного сообщения. Чем меньше букв в алфавите, тем больше должна быть длина кода.
В компьютерах используется двоичная форма представления данных. Передача сообщения всегда осуществляется во времени. Кодирование требует определенного количества времени, которым зачастую нельзя пренебрегать. При кодировании могут ставиться определенные цели, применяться различные методы.
Кодирование информации в компьютере
В современных компьютерах используется двоичная форма представления данных, содержащая всего две цифры – 0 и 1. Такая форма позволяет создать достаточно простые технические устройства для представления (кодирования) и распознавания (дешифровки) информации. Двоичное кодирование выбрали потому, чтобы максимально упростить конструкцию декодирующей машины, ведь дешифратор должен уметь различать всего два состояния – 0 и 1. Например, 1- есть ток в цепи, 0 – нет тока в цепи. По этой причине двоичная система и нашла такое широкое распространение.
Современный компьютер может обрабатывать числовую, текстовую, графическую, звуковую и видео информацию. Все эти виды информации в компьютере представлены в двоичном коде, т. е. используется алфавит мощностью два. Такое кодирование принято называть двоичным, а сами логические последовательности нулей и единиц - машинным языком.
Каждая цифра машинного двоичного кода несет количество информации равное одному биту. Данный вывод можно сделать, рассматривая цифры машинного алфавита, как равновероятные события. При записи двоичной цифры можно реализовать выбор только одного из двух возможных состояний, а, значит, она несет количество информации равное 1 бит. Следовательно, две цифры несут информацию 2 бита, четыре разряда - 4 бита и т. д. Чтобы определить количество информации в битах, достаточно определить количество цифр в двоичном машинном коде.
Кодирование текстовой информации
Большая часть пользователей при помощи компьютера обрабатывает текстовую информацию, которая состоит из символов: букв, цифр, знаков препинания и др.
Для того чтобы закодировать 1 символ используют количество информации равное 1 байту, т.е. I=1 байт = 8 бит. При помощи формулы
N = 2i, которая связывает между собой количество возможных событий N и количество информации I, можно вычислить, сколько различных символов можно закодировать:N = 28 = 256, т.е. для представления текстовой информации можно использовать алфавит мощностью 256 символов. Суть кодирования: каждому символу ставят в соответствие двоичный код от 00000000 до 11111111 или соответствующий ему десятичный код от 0 до 255.
Для разных типов ЭВМ и операционных систем используются различные таблицы кодировки, отличающиеся порядком размещения символов алфавита в кодовой таблице. Международным стандартом на персональных компьютерах является уже упоминавшаяся таблица кодировки ASCII.
Принцип последовательного кодирования алфавита заключается в том, что в кодовой таблице ASCII латинские буквы (прописные и строчные) располагаются в алфавитном порядке. Расположение цифр также упорядочено по возрастанию значений. Стандартными в этой таблице являются только первые 128 символов, т.е. символы с номерами от нуля (двоичный код 00000000) до 127 (01111111). Сюда входят буквы латинского алфавита, цифры, знаки препинания, скобки и некоторые другие символы. Остальные 128 кодов, начиная со 128 (двоичный код 10000000) и кончая 255 (11111111), используются для кодировки букв национальных алфавитов, символов псевдографики и научных символов.
В настоящее время для кодировки русских букв используют пять различных кодовых таблиц (КОИ-8, СР1251, СР866, Мас, ISO), причем тексты, закодированные при помощи одной таблицы, не будут правильно отображаться в другой кодировке.
В большинстве случаев о перекодировке текстовых документов заботится не пользователь, а специальные программы - конверторы, которые встроены в приложения.
Начиная с 1997 г. последние версии Microsoft Windows и Office поддерживают новую кодировку Unicode, которая на каждый символ отводит по 2 байта, а, поэтому, можно закодировать не 256 символов, а 65536 различных символов.
Кодирование графической информации
В видеопамяти находится двоичная информация об изображении, выводимом на экран. Почти все создаваемые, обрабатываемые или просматриваемые с помощью компьютера изображения можно разделить на две большие части - растровую и векторную графику.
Растровые изображения представляют собой однослойную сетку точек, называемых пикселами (pixel от англ. picture element), которые могут принимать только два значения: белый и черный (светится - не светится). Так как информация о цвете пиксела называется кодом пиксела, то для его кодирования достаточно одного бита памяти: 1 - белый, 0 - черный.
Если рассматривать иллюстрацию в виде комбинации точек с 256 градациями цвета, то достаточно восьмиразрядного двоичного числа, чтобы закодировать яркость любой точки. Цвет в компьютерной графике выступает средством усиления зрительного впечатления и повышения информационной насыщенности изображения. Восприятие цвета происходит в результате анализа светового потока, падающего на сетчатку глаза от отражающих или излучающих объектов.
Пиксел на цветном дисплее может иметь различную окраску, поэтому одного бита на пиксел недостаточно. Для кодирования 4-цветного изображения требуются два бита на пиксел, поскольку два бита могут принимать 4 различных состояния. Может использоваться, например, такой вариант кодировки цветов: 00 - черный, 10 - зеленый, 01 - красный, 11 - коричневый.
На RGB-мониторах все разнообразие цветов получается сочетанием базовых цветов - красного (Red), зеленого (Green), синего (Blue), из которых можно получить 8 основных комбинаций.
В противоположность растровой графике векторное изображение многослойно. Каждый элемент векторного изображения - линия, прямоугольник, окружность или фрагмент текста - располагается в своем собственном слое, пикселы которого устанавливаются независимо от других слоев. Каждый элемент векторного изображения является объектом, который описывается с помощью специального языка. Сложные объекты (ломаные линии, фигуры) представляются в виде совокупности элементарных графических объектов. Объекты векторного изображения, в отличии от растровой графики, могут изменять свои размеры без потери качества.
Кодирование звуковой информации
Из курса физики звук - это колебания воздуха. Если преобразовать звук в электрический сигнал (например, с помощью микрофона), мы увидим плавно изменяющееся с течением времени напряжение. Для компьютерной обработки такой – аналоговый - сигнал нужно каким-то образом преобразовать в последовательность двоичных чисел.
Поступим следующим образом. Будем измерять напряжение через равные промежутки времени и записывать полученные значения в память компьютера. Этот процесс называется дискретизацией (или оцифровкой), а устройство, выполняющее его - аналого-цифровым преобразователем (АЦП). Для того чтобы воспроизвести закодированный таким образом звук, нужно выполнить обратное преобразование (для него служит цифро-аналоговый преобразователь - ЦАП), а затем сгладить получившийся ступенчатый сигнал.
Чем выше частота дискретизации (т.е. количество отсчетов за секунду) и чем больше разрядов отводится для каждого отсчета, тем точнее будет представлен звук. При этом увеличивается и размер звукового файла. В зависимости от характера звука, требований, предъявляемых к его качеству и объему занимаемой памяти, выбирают некоторые компромиссные значения.
Описанный способ кодирования звуковой информации достаточно универсален, он позволяет представить любой звук и преобразовывать его самыми разными способами. Но бывают случаи, когда выгодней действовать по-иному.
Человек издавна использует довольно компактный способ представления музыки - нотную запись. В ней специальными символами указывается, какой высоты звук, на каком инструменте и как сыграть. Фактически, ее можно считать алгоритмом для музыканта, записанным на особом формальном языке. В 1983 г. ведущие производители компьютеров и музыкальных синтезаторов разработали стандарт, определивший такую систему кодов. Он получил название MIDI. Такая система кодирования позволяет записать далеко не всякий звук, годится только для инструментальной музыки. Есть неоспоримые преимущества: чрезвычайно компактная запись, естественность для музыканта, легкость замены инструментов, изменения темпа и тональности мелодии.
Существуют и другие, чисто компьютерные, форматы записи музыки, например, формат MP3, позволяющий с очень большим качеством и степенью сжатия кодировать музыку.
Практические задания по теме: Раздел 2. Информация и информационные процессы. 2.1. Представление и обработка информации
Информация. Виды и свойства информации. Подходы к понятиям информации и её измерению (вероятностный и алфавитный). Информационные объекты различных видов
Задача 1. Информационное сообщение объёмом 1,5 Кбайт содержит 3072 символа. Сколько символов содержит алфавит, при помощи которого это сообщение было записано?
Задача 2. Вычислите объём сообщения (в килобайтах), если оно содержит 512 символов 16-символьного алфавита.
Задача 3. Сообщение, записанное буквами 64-х символьного алфавита, содержит 20 символов. Какой информационный объем оно несет?
Задача 4. Племя Мульти имеет 32-х символьный алфавит. Племя Пульти использует 64-х символьный алфавит . Вожди племени обменялись письмами. Письмо племени Мульти содержало 80 символов, а письмо племени Пульти – 70 символов. Сравните объемы информации, содержащейся в письмах.
Задача 5. Считая, что один символ кодируется одним байтом, подсчитать в байтах количество информации, содержащееся в фразе: “Терпение и труд все перетрут.” ( при подсчете учитывать точку и пробелы).
Задача 6. В барабане для розыгрыша лотереи находится 32 шара. Сколько информации содержит сообщение о первом выпавшем номере (например, выпал номер 15)?
Задача 7. Какое количество информации несет в себе сообщение о том, что нужная вам программа находится на одной из восьми флэшек?
Задача 8. Какое количество информации несет сообщение : «Встреча назначена на сентябрь»?
Задача 9. В коробке лежат 7 разноцветных карандашей, какое количество информации содержит сообщение, что из коробки достали красный карандаш?
Задача 10. В школьной библиотеке 16 стеллажей с книгами. На каждом стеллаже 8 полок. Библиотекарь сообщил Петру, что нужная ему книга находится на пятом стеллаже на третьей полке сверху. Какое количество информации библиотекарь передал Петру?
Системы счисления. Способы перевода чисел в различных системах счисления. Математические действия в различных системах счисления
Задание 1. Переведите числа из десятичной системы счисления в двоичную, восьмеричную и шестнадцатеричную системы счисления.
а) 948;
б) 763;
в) 994;
г) 523;
д) 203.
Задание 2. Переведите числа из двоичной, восьмеричной, шестнадцатеричной системы счисления в десятичную систему счисления.
а) 1110001112;
б) 1000110112;
в) 3358;
г) 7768;
д)14CA16;
е) 8B5F16.
Задание 3. Переведите дробные десятичные числа в двоичную, восьмеричную и шестнадцатеричную системы счисления.
а) 0,346;
б) 0,769;
в) 0,937;
г) 0,435;
д) 0,638;
е) 0,532.
Задание 4. Переведите двоичное число в восьмеричную и шестнадцатеричную системы счисления. Переведите восьмеричное и шестнадцатеричное число в двоичную систему счисления.
а) 100110111012;
б) 1110111010112;
в) 7468;
г) 6538;
д) A9B816;
е) F4D716.
Задание 5. Выполните сложение чисел в двоичной, восьмеричной и шестнадцатеричной системах счисления.
а) 11101010102 + 101110012;
б) 101110102 + 100101002;
в) 7628 + 6248;
г) 71538 + 47328;
д) 40F416+16А416;
е) 7B9C16 + 3E67D16.
Задание 6. Выполните умножение чисел в двоичной, восьмеричной и шестнадцатеричной системах счисления.
а) 101110112 * 112;
б) 11011102 * 1012;
в) 2368 * 6478;
г) 6478 * 5328;
д) 1A34F16 * 7B65C16;
е) D34716 * F2F7316.
Задание 7. Выполнить вычитание чисел в двоичной, восьмеричной и шестнадцатеричной системах счисление.
а) 1110110102 – 100112;
б) 10110111012 - 111012;
в) 7638 – 4538;
г)3568 – 2458;
д) A48E16 – 98C16;
е) F57D16 – 78BA16.
Задание 8. Выполните деление чисел в двоичной, восьмеричной и шестнадцатеричной системе счисления.
а) 11011012 / 11012;
б) 10101012 / 1102;
в) 7658 / 3458;
г) 3478 / 2168;
д) 6A8D16 / 21C16;
е) F7FE16 / 3A6B16.
Задание 9. Переведите положительное десятичное число в римскую систему счисления.
а) 23;
б) 345;
в) 1769;
г) 2478;
д) 4767.
Задание 10. Переведите римские числа в десятичную систему счисления.
а) MMMCCXLIII;
б) XCVI;
в) DCCXXIX;
г) MMMCMLIV;
д) MMMDDCDLXXIII.
Универсальность дискретного (цифрового) представления информации. Дискретное (цифровое) представление текстовой информации, графической информации, звуковой информации
Задача 1. Сколько бит памяти займет слово «Микропроцессор»?
Задача 2. Текст занимает полных 10 секторов на одностороннем диске объёмом 180 Кбайт. Диск разбит на 40 дорожек по 9 секторов. Сколько символов содержит текст?
Задача 3. Сколько секунд потребуется модему, передающему сообщение со скоростью 28800 бит/c, чтобы передать 100 страниц текста в 30 строк по 60 символов каждая, при условии, что каждый символ кодируется одним байтом?
Задача 4. Определите требуемый объем видео памяти для графического режима экрана монитора – 1280 на 1024, если глубина цвета на одну точку равна 4 бита, 8 бит, 16 бит, 24 бита, 32 бита.
Задача 5. В процессе преобразования растрового графического изображения количество цветов уменьшилось с 65536 до 16. Во сколько раз уменьшится объём занимаемый им памяти?
Задача 6. Сколько секунд потребуется модему, передающему сообщение со скоростью 28800 бит/с, чтобы передать цветное растровое изображение размером 1920 на 1080 пикселей, при условии, что цвет каждого пикселя кодируется восемью байтами?
Задача 7. Какой объем будет иметь звуковой монофонический файл, содержащий звук, если длительность звука 1 минута, глубина кодирования 16 бит, а частота дискретизации 22050 Герц?
Задача 8. Определите информационный объем (в Мбайтах) квадро - аудио – файла, длительностью 3 минуты, если глубина кодирования 32 бита, частота дискретизации 192 кГц.
Задача 9. Пять минут записи цифрового аудио – файла занимают на диске 54 Мбайт. Частота дискретизации 32000 Гц. Какова разрядность аудио – адаптера.
Задача 10. Цифровой аудио – файл содержит запись звука низкого качества (звук мрачный и приглушенный). Какова длительность звучания файла если его объем 3 Мбайт, глубина кодирования 16 бит, частота дискретизации 22,05 кГц?
Тестовые задания по теме: Раздел 2. Информация и информационные процессы. 2.1. Представление и обработка информации
Информация. Виды и свойства информации. Подходы к понятиям информации и её измерению (вероятностный и алфавитный). Информационные объекты различных видов
Тест 1
Вопрос 1. Какой объем информации содержит страница текста, набранного с помощью компьютера, на которой 50 строк по 80 символов?
а) 400 байт
б) 4 Кбайт
в) 3200 бит
г) 40 Кбит
Вопрос 2. Какой объем информации содержит учебник, набранный с помощью компьютера, если в нем 400 страниц, на которых 40 строк по 50 символов?
а) 80000байт
б) 800 Кбит
в) 160 Кбайт
в) 800 Кбайт
г) 8 Мбайт
Вопрос 3. Некоторый алфавит состоит из 16 букв. Какое количество информации несет одна буква этого алфавита?
а) 1 бит
б) 2 бит
в) 3 бит
г) 4 бит
д) 5 бит
е) 6 бит
Вопрос 4. Сообщение, записанное буквами из 32-символьного алфавита, содержит 30 символов. Какой объем информации оно несет?
а) 960 байт
б) 150 бит
в) 150 байт
г) 1,5 Кбайт
Вопрос 5. Мощность некоторого алфавита равна 128. Какой объем информации содержится на странице, в которой 80 строк по 60 символов в строке?
а) 4200 байт
б) 33600 байт
в) 4200 бит
г) 4800 байт
Вопрос 6. Вероятностный подход — это
а) метод, который применяется в случае, когда требуются технические средства для преобразования, хранения и передачи информации
б) метод, при котором измерение информации производится с точки зрения её содержания
в) метод, который используется для вычисления количества информации для событий, наступление которых имеет разную вероятность
Вопрос 7. Величина неопределенности некоторого события по Шеннону — это
а) снятая неопределённость
б) количество возможных исходов данного события
в) информационный объем некоторого события
Вопрос 8. Как рассматривается информация при её хранении и передачи с помощью технических устройств?
а) как любые сведения, используемые разными источниками
б) как последовательность символов некоторого алфавита
в) как важные сведения о чём-либо
Вопрос 9. Содержательный подход — это
а) метод, который применяется в случае, когда требуются технические средства для преобразования, хранения и передачи информации
б) метод, при котором измерение информации производится с точки зрения её содержания
в) метод, который используется для вычисления количества информации для событий, наступление которых имеет разную вероятность
Вопрос 10. Мощность алфавита — это
а) соотношение между скоростью передачи информации и её количеством
б) величина, которая определяет количество энергии, которую может развить алфавит
в) количество входящих в него символов
Системы счисления. Способы перевода чисел в различных системах счисления. Математические действия в различных системах счисления Тест 2
Вопрос 1. Что такое система счисления?
а) правила выполнения операций над числами
б) правила записи чисел
в) 1 и 2
г) нет верного ответа
Вопрос 2. Название системы счисления, где в записи чисел могут быть использованы только цифры 0 1 2 3 4 5 6 7:
а) двоичной
б) семеричной
в) восьмеричной
г) нет верного ответа
Вопрос 3. Название системы счисления, где значение цифры зависит от занимаемой ею позиции в числе:
а) позиционная;
б) непозиционная;
в) нет верного ответа;
Вопрос 4. Выберите системы счисления, где может быть число 501:
а) десятичная
б) двоичная
в) восьмеричная
г) шестнадцатеричная
Вопрос 5. Вид числа 101, которое записали в двоичной системе счисления, после перевода в десятичную:
а) 3
б) 5
в) 4
г) 6
Вопрос 6. Произведите сравнение двух чисел 111(двоичное) и 5 (десятичное):
а) числа равны
б) первое число больше второго
в) первое число меньше второго
Вопрос 7. Определите операцию, которая была применена к двоичным числам 1010 и 111, если в результате получено число 11?
а) деление
б) умножение
в) сложение
г) вычитание
Вопрос 8. Система счисления, где кроме цифр используются буквы латинского алфавита:
а) двоичной
б) восьмеричной
в) десятичной
г) шестнадцатеричной
Вопрос 9. Произведите перевод 287 из десятичной системы счисления в шестнадцатеричную систему счисления:
а) 11F
б) F11
в) 1511
г) 1115
Вопрос 10. Произведите перевод из восьмеричной системы счисления в двоичную число 1528:
а) 101010012
б) 1010100012
в) 11010102
г) 110110012
Универсальность дискретного (цифрового) представления информации. Дискретное (цифровое) представление текстовой информации, графической информации, звуковой информации
Тест 3
Вопрос 1. Присвоение знаку конкретного двоичного кода – это вопрос соглашения, который фиксируется в кодовой таблице
а) который фиксируется в кодовой книге
б) который фиксируется в кодовой графе
в) который фиксируется в кодовой символике
г) который фиксируется в кодовой таблице
Вопрос 2. Информация, выраженная с помощью естественных и формальных языков в письменной форме, называется:
а) знаковой информацией
б) текстовой информацией
в) графической информацией
г) табличной информацией
Вопрос 3. Для обработки текстовой информации в компьютере необходимо представить ее в ...
а) восьмеричной знаковой системе
б) двоичной знаковой системе
в) десятичной знаковой системе
г) четверичной знаковой системе
Вопрос 4. Для кодирования каждого знака требуется количество информации, равное:
а) 2 битам
б) 4 битам
в) 8 битам
г) 16 битам
Вопрос 5. Страница видеопамяти 16000 байт. Дисплей работает в режиме 320×400 пикселей. Сколько цветов в палитре:
а) 2
б) 4
в) 8
г) 16
Вопрос 6. Для кодирования цвета фона Интернет - страницы используется атрибут bgcolor = »#ХХХХХХ», где в кавычках задаются шестнадцатеричные значения интенсивности цветовых компонент в 24-битной RGB-модели. Какой цвет будет у страницы, заданной тэгом <body bgcolor=»#80FF80″>?
а) желтый
б) розовый
в) светло-зеленый
г) светло-синий
Вопрос 7. Голубой цвет на компьютере с объемом страницы видеопамяти 250 Кбайт кодируется кодом 00000011. Какова максимальная разрешающая способность графического дисплея?
а) 640×200
б) 320×400
в) 640×400
г) 640×800
Вопрос 8. Количество информации, которое необходимо для кодирования дискретных уровней цифрового звука, называют:
а) квантованием
б) дискретизацией
в) глубиной кодирования
г) фрагментацией
Вопрос 9. Заполните пропуски в предложении.
В основе … звука с использованием компьютера лежат процесс … колебаний воздуха в колебания электрического тока и последующая … аналогового электрического сигнала.
а) преобразования, кодирования, дискретизация
б) кодирования, преобразования, дискретизация
в) квантования, преобразования, дискретизация
г) кодирования, преобразования, квантование
Вопрос 10. Объем свободной памяти на диске 5,15 Мбайт, разрядность звуковой платы — 16 бит. Какой может быть продолжительность звучания аудио - файла (моно), записанного с частотой дискретизации 22,05 кГц?
а) 1 мин
б) 23 с
в) ≈122 с
г) ≈113 с
Контрольные вопросы по теме: Раздел 2. Информация и информационные процессы. 2.1. Представление и обработка информации
Информация. Виды и свойства информации. Подходы к понятиям информации и её измерению (вероятностный и алфавитный). Информационные объекты различных видов
Есть ли связь между алфавитным подходом к измерению информации и содержанием информации?
В чем можно измерить объём письменного или печатного текста?
Что такое мощность алфавита?
Что такое бит с позиции алфавитного подхода к измерению информации?
Как определяется информационный объект текста по А.Н. Колмогорову?
Какой информационный вес имеет каждая буква русского алфавита?
Какие единицы используются для измерения объёма информации на компьютерных носителях?
Как можно оценить вероятность исхода событий?
Как определяется информативность сообщения о некотором исходе событии с вероятностной точки зрения?
Как определяется информационный вес символа алфавита с вероятностной точки зрения?
Системы счисления. Способы перевода чисел в различных системах счисления. Математические действия в различных системах счисления
Определите основные понятия систем счисления: традиционные системы, нетрадиционные системы; цифра, алфавит системы, основание системы?
Почему развернутую форму записи числа называют разложением по базису?
Как переводится целое десятичное число в систему счисления с основанием p?
Как переводится дробное десятичное число в систему счисления с основанием p?
Дайте определение смешанной системе счисления?
Почему двоично-десятичный код не совпадает с двоичным числом, равным данному десятичному числу?
Для каких целей используется восьмеричная и шестнадцатеричная системы счисления?
Напишите двоично-восьмеричную таблицу соответствия?
Сформулируйте словесно алгоритм сложения и умножения для восьмеричной системы счисления?
Постройте таблицы сложения и умножения для шестнадцатеричной системы счисления)
Универсальность дискретного (цифрового) представления информации. Дискретное (цифровое) представление текстовой информации, графической информации, звуковой информации
Что вы понимаете под сигналом?
Обоснуйте правильность употребления фразы «сигнал светофора»?
Приведите примеры непрерывных сигналов в природе, передающих информацию?
Определите понятия: «код», «кодирование», «декодирование»?
В чем разница между равномерным и неравномерным кодами?
Дайте определение понятий: «свет», «цвет», «изображение»?
Что такое растр, пиксель?
Какая информация заключается в компьютерном коде изображения?
Какие технические устройства используются для кодировании звука?
Дайте определения понятий: «частота дискретизации», «разрядность квантования», «уровни квантования»?
Заключение
В рабочей тетради представлены задания, которые могут быть использованы для аудиторной и внеаудиторной работы. Задания распределены на насколько блоков: алфавитный подход к измерению информации, вероятностный подход к измерению информации, системы счисления, математические действия в различных система счисления, кодирование текстовой информации, кодирование графической информации, кодирование звуковой информации.
В рабочую тетрадь включены задачи, задания и тесты, проверяющие понимание принципов и способов обработки информации. Достаточно заданий на отработку навыка вычислений. Есть задания более сложного характера.
Задания рабочей тетради представляют собой целостную систему упражнений и могут быть использованы на занятиях и в самостоятельной работе для формирования навыка решения задач данной темы.
Список литературы
Колмыкова Е.А., Кумскова И.А., Информатика, Учебное пособие для ССУЗ, Издательство: Academia,2020
Цветкова М.С., Великович Л.С., Информатика и ИКТ, Учебное пособие для ССУЗ, Издательство: Academia, 2021
Угринович Н. Д. Информатика и информационные технологии. Учебник для 10-11 классов / Н. Д. Угринович. — М.: БИНОМ. Лаборатория знаний, 2019. — 512 с;
Угринович Н. Д. Практикум по информатике и информационным технологиям. Учебное пособие для общеобразовательных учреждений. Изд. 2-е, испр./Н. Д. Угринович, Л. Л. Босова, Н. И. Михайлова — М.: БИНОМ. Лаборатория знаний, 2020. 394 с;
Приложение 1. Ключ к тестам: Раздел 2. Информация и информационные процессы. 2.1. Представление и обработка информации
Тест 1 | Тест 2 | Тест 3 | |||
1 | б | 1 | б | 1 | г |
2 | г | 2 | в | 2 | б |
3 | г | 3 | а | 3 | б |
4 | б | 4 | а, в, г | 4 | в |
5 | а | 5 | б | 5 | а |
6 | в | 6 | б | 6 | в |
7 | б | 7 | г | 7 | в |
8 | б | 8 | г | 8 | в |
9 | б | 9 | а | 9 | б |
10 | в | 10 | в | 10 | в |
Приложение 2. Эталоны ответов к практическим заданиям: Раздел 2. Информация и информационные процессы. 2.1. Представление и обработка информации
Информация. Виды и свойства информации. Подходы к понятиям информации и её измерению (вероятностный и алфавитный). Информационные объекты различных видов.
Алфавитный подход к измерению информации:
Задача. Информационное сообщение объёмом 1,5 Кбайт содержит 3072 символа. Сколько символов содержит алфавит, при помощи которого это сообщение было записано?
Решение:
Дано: I = 1,5 Кбайт K = 3072 с | Для вычисления мощности алфавита необходимо знать информационный вес одного символа, который определяем из выражения:
Тогда мощность алфавита N=24=16 символов |
Найти: N − ? | Ответ: алфавит содержит 16 символов |
В задание десятичную дробь 1,5 представили в виде дроби 3/2.
1 байт = 8 битов, 1 Кб (килобайт) = 1024 байта
Вероятностный подход к измерению информации:
Задача. В барабане для розыгрыша лотереи находится 32 шара. Сколько информации содержит сообщение о первом выпавшем номере (например, выпал номер 15)?
Решение:
Та как вытаскивание любого из шаров равновероятно, то количество информации вычисляется по формуле N = 2i, где i – количество информации, а N – количество шаров. Тогда:
2i = 32, отсюдаI = 5 бит.
Ответ: 5 бит.
Системы счисления. Способы перевода чисел в различных системах счисления. Математические действия в различных системах счисления
Системы счисления. Математические действия в различных системах счисления:
Задание. Переведите числа из десятичной системы счисления в двоичную, восьмеричную и шестнадцатеричную системы счисления.
В двоичную: В восьмеричную: В шестнадцатеричную



Задание. Переведите числа из двоичной, восьмеричной, шестнадцатеричной системы счисления в десятичную систему счисления.

Задание. Переведите дробные десятичные числа в двоичную, восьмеричную и шестнадцатеричную системы счисления.

Задание. Переведите двоичное число в восьмеричную и шестнадцатеричную системы счисления. Переведите восьмеричное и шестнадцатеричное число в двоичную систему счисления.


Задание. Выполните сложение чисел в двоичной, восьмеричной и шестнадцатеричной системах счисления.



Задание. Выполните умножение чисел в двоичной, восьмеричной и шестнадцатеричной системах счисления.



Задание. Выполнить вычитание чисел в двоичной, восьмеричной и шестнадцатеричной системах счисление.



Задание. Выполните деление чисел в двоичной, восьмеричной и шестнадцатеричной системе счисления.



Задание. Переведите положительное десятичное число в римскую систему счисления.
39 = XXXIX, 437 = CDXXXVII, 1348 = MCCCXLVII.
Задание. Переведите римские числа в десятичную систему счисления.
CCCXLV = 345, MMCMLXXXI = 2981, CDLXIX = 469.
Универсальность дискретного (цифрового) представления информации. Дискретное (цифровое) представление текстовой информации, графической информации, звуковой информации
Кодирование текстовой информации:
Задача.Считая, что каждый символ кодируется одним байтом, оцените информационный объем следующего слова «Компьютер».
Решение:
Слово состоит из 9 букв. Каждая буква – символ компьютерного алфавита, занимает 1 байт памяти. Слово занимает 9 байт = 9 * 8 бит = 72 бита.
Ответ: 72 бита.
Задача. Текст занимает 0,25 Кбайт памяти компьютера. Сколько символов содержит этот текст?
Решение:
Переведем Кбайт в байты: 0,25 Кбайт * 1024 = 256 байт.
Так как текст занимает объем 256 байт, а каждый символ – 1 байт, то в тесте 256 символов.
Ответ: 256 символов.
Задача.Сколько секунд потребуется модему, передающему сообщение со скоростью 14400 бит/c, чтобы передать сообщение длинной 225 Кбайт?
Решение:
Переведем 225 Кбайт в биты: 225 Кбайт * 1024 * 8 бит = 1843200бит.
Найдем время передачи сообщения модемом.
1843200 бит : 14400 бит /с = 128 секунд.
Ответ 128 секунд.
Кодирование графической информации:
Задача. Определите требуемый объем видео памяти для графического режима экрана монитора – 640 на 480, если глубина цвета на одну точку равна 4 бита.
Решение:
Всего точек на экране (разрешающая способность):
640 * 480 = 307200 точек;
Необходимый объём видеопамяти:
V = 4 бит * 307200 точек = 1228800 бит;
Перевести биты в байты:
1228800 бит / 8 бит = 153600 байт / 1024 = 150 Кбайт.
Ответ: 150 Кбайт.
Задача.Для хранения растрового изображения размером 128 на 128 пикселей отвели 4 Кбайт памяти. Каково максимально возможное число цветов в палитре изображения?
Решение:
Определим количество точек изображения.
128 * 128 = 16384 точки
Объём памяти на изображение 4 Кбайт выразим в битах, так как
V = I * X * Y вычисляется в битах.
4 Кбайт = 4 * 1024 = 4096 байт = 4096 * 8 бит = 32768 бит
Найдем глубину цвета I = V/(X * Y) = 32768 / 16484 = 2
N = 2i, где N – число цветов в палитре, N = 22 = 4 цвета.
Ответ: 4 цвета.
Задача.Сколько секунд потребуется модему, передающему сообщение со скоростью 14400 бит/с, чтобы передать цветное растровое изображение размером 1024 на 768 пикселей, при условии, что в палитре 16 миллионов цветов?
Решение:
Для кодирования 16 миллионов цветов требуется 24 бита. Общее количество пикселей в изображении 1024 * 768 = 786432 пикселя (точек).
Так как на 1 пиксель приходится 24 бита, то на 786432 пикселей приходится 768432 * 24 = 18874386 бит.
18874386 / 14400 = 1311 секунд = 22 минуты.
Ответ 22 минуты.
Кодирование звуковой информации.
Задача. Определите размер (в байтах) цифрового аудио-файла, время звучания которого 10 секунд при частоте дискретизации 22,05 кГц и разрешении 8 бит. Файл сжатию не подвержен.
Решение:
Нужно перевести кГц в Герцы: 22,05 кГц = 22,05 *1000 Гц = 22050 Гц.
Формула для расчета размера (в байтах) цифрового аудио-файла:
A = D * T * I / 8 = 22050 Гц * 10 секунд * 8 бит / 8 = 220500 байт.
Ответ: размер файла 220500 байт.
Задача. Оцените информационный объём стерео – аудио – файла, длительностью 1 минута, глубина кодирования 16 бит, частота дискретизации 48 кГц.
Решение:
Переведем кГц в Гц. 48 кГц * 1000 Гц = 48000 кГц, минуты в секунды. 1 минута = 60 секунд.
Зная частоту дискретизации, длительность звука и количество каналов установим количество измерений уровня сигнала за 1 минуту.
16 бит * 48000 Гц * 60 секунд * 2 канала = 92160000 бит.
92160000 / 8 = 11520000 байт / 1024 = 11250 Кбайт / 1024 = 11 Мбайт.
Ответ: 11 Мбайт.
Задача.Две минуты записи цифрового моно – аудио- файла занимают на диске 21 Мбайт. Частота дискретизации – 22050 Гц. Какова разрядность аудио - адаптера.
Решение:
Формула для расчета разрядности : (объем памяти в байтах) / (время звучания в секундах) / (частота дискретизации).
2 минуты = 120 секунд.
21 Мбайт = 21 * 1024 = 21504 Кбайт * 1024 = 22020096 байт.
(22020096 байт) / (120 секунд) / (22050 Гц) = 8 байт.
Разрядность аудио – адаптера измеряется в битах:
8 байт * 8 = 64 бита.
Ответ: разрядность аудио – адаптера 64 бита.
Задача. Цифровой аудио – файл содержит запись звука низкого качества (звук мрачный и приглушенный). Какова длительность звучания файла если его объем 650 Кбайт, глубина кодирования 8 бит, частота дискретизации 11025 Гц?
Решение:
Формула для расчета времени звучания: T = A / D / I, где A- объём файла, D – частота дискретизации, I – глубина кодирования.
Переведем Кбайты в байты. 650 Кбайт * 1024 = 665600 байт.
8 бит = 8 / 8 = 1 байт.
T = 665600 байт / 11025 Гц / 1 байт = 60,4 секунды = 1 минута.
Ответ: длительность звучания 1 минута.

Чтобы оставлять комментарии, вам необходимо авторизоваться на сайте. Если у вас еще нет учетной записи на нашем сайте, предлагаем зарегистрироваться. Это займет не более 5 минут.