методическая разаработка урока "Решение квадратных уравнений"
Муниципальное автономное общеобразовательное учреждение многопрофильный лицей города Липецка
Разработка урока на тему
«Решение квадратных уравнений»
Учитель математики:
Больных Оксана Валерьевна
2026г
Класс: 8,предмет: алгебра
Тема урока: Решение квадратных уравнений
Тип урока:урок систематизации и обобщения знаний и умений
Авторы УМК:Алгебра. 8 класс: учеб. для образовательных учреждений Ю.Н.Макарычев, Н.Г.Миндюк, К.И.Нешков, С.Б.Суворова; под редакцией С.А Телековского. – изд. – М.: Просвещение, 2013,287стр.
Цель урока:
совершенствовать умения и навыки в решении полных и неполных квадратных уравнений и научиться применять их при решении нестандартных уравнений.
Планируемые результаты:
Предметные: уметь в процессе реальной ситуации использовать определения и формулы полных и неполных квадратных уравнений и умения их решать;
Личностные: умение работать в парах, слушать собеседника и вести диалог;
Метапредметные: уметь воспроизводить формулы квадратных уравнений, формулы дискриминанта, формул корней квадратного уравнения; уметь обрабатывать информацию; формировать коммуникативную компетенцию учащихся; выбирать способы решения уравнений в зависимости от конкретных условий; контролировать и оценивать процесс и результаты своей деятельности.
Задачи:
Образовательные (формирование познавательных УУД):
- обеспечить осознанное усвоение формул полных и неполных квадратных уравнений;
- закрепить навыки и умения применять алгоритмы решений полных и неполных квадратных уравнений;
- создать условия для систематизации, обобщения и углубления знаний учащихся при решении квадратных уравнений.
Воспитательные (формирование коммуникативных и личностных УУД):
- умение слушать и вступать в диалог;
- формировать внимательность и аккуратность в вычислениях;
- воспитывать чувство взаимопомощи, уважительное отношение к чужому мнению, культуру учебного труда, требовательное отношение к себе и своей работе.
Развивающие(формирование регулятивных УУД):
- способствовать творческой активности учащихся;
- повысить познавательный интерес к предмету;
- развитие навыков и способностей критического мышления (навыков сопоставления, формулирования и проверки - алгоритмов решения уравнений, умений анализировать способы решения уравнений);
- развитие логического, образного мышления и способности рассуждать.
Оборудование: 1. Справочный материал учащихся.
2. Специальная презентация в редактореPowerPoint.
3.Оценочные листы учащихся.
Электронные цифровые образовательные ресурсы
http://volna.org/algebra/rieshieniie_kvadratnykh_uravnienii.html
http://nsportal.ru/shkola/algebra/library/2012/09/22/reshenie-kvadratnykh- uravneniy
Ход урока:
1. Организационный этап (2 мин).
2. Проверка домашнего задания (3 мин.).
3. Актуализация опорных знаний (7 мин).
4. Усвоение новых знаний (15 мин).
5. Закрепление новых знаний (15 мин).
6. Подведение итогов урока. (3 мин).
Этапы урока | Деятельность учителя | Деятельность учащихся |
1.Организационный. Цель: Создать условия для внутренней потребности, включения в учебную деятельность | Проверка подготовленности классного помещения к уроку (до звонка). Приветствие. Проверка готовности учащихся к уроку. Организация внимания учащихся. | Подготовка к уроку (до звонка). Приветствие учителя. |
Цель: Мотивация учащихся к учебному действию | На экране: тема урока. Запишите, пожалуйста, число и тему «Решение квадратных уравнений». Квадратные уравнения повторяем, Способы решения обобщаем! Слушаем, запоминаем, Ни минутки не теряем. Девизом нашего урока станут слова Рене Декарта, прочтем все вместе: «Для разыскания истины вещей- необходим метод». На протяжении нескольких уроков мы рассматривали квадратные уравнения и методы их решения. Эта тема очень важная в курсе математики, она является первой ступенькой в изучении более сложного материала. Вам дан ключ к решению квадратных уравнений, сегодня вы покажите, насколько готовы пользоваться этим ключом. Сегодня мы с вами будем работать по следующему плану: 1.проверка результатов выполнения домашнего задания. 2. устная работа 3.знакомство с новым типом уравнений и методом их решения. 4. закрепление изученного метода 5. подведение итогов урока и запись домашнего задания. | (Слайд 1 ) Записывают тему и число. Слушают учителя, настраиваются на урок. (Слайд 2) |
Проверка домашнего задания Цель: Подготовка к работе на основном этапе. Фиксация затруднений | Какое домашнее задание было задано? На экране ответы ко всем четырём уравнениям. Проверьте себя. У вас одна минута. Давайте подведем итог. Кто справился со всеми уравнениями? - 5б Решил три уравнения? - 4б Только два уравнения? – 3б Решил одно уравнение? – 2б Кто полностью не справился? -0б Кто не приступал?- 0б Причины не выполнения домашнего задания. По каким причинам были затруднения В течение урока я постараюсь проконсультировать тех, у кого есть вопросы по домашнему заданию | Решить четыре уравнения. (Слайд 3 ) Сообщают о выполнении домашнего задания. Учащиеся работают с оценочными листами Высказываются о своих причинах |
Актуализация опорных знаний Цель: Организовать актуализацию изученных способов действий, повторить основные определения, формулы, необходимые для решения квадратных уравнений. Организовать обобщение способов действий. Мотивация 3.Усвоение новых знаний и способов действия Цель: Организовать построение проекта изучения нового знаия. | Как можно сформулировать цель нашего урока? Переходим к следующему этапу – устной работе. 1.Какое уравнение называется квадратным? 2.Какое уравнение называют неполным квадратным уравнением? 3.Какое уравнение называют приведенным? 4.Что значит решить квадратное уравнение? 5.Что определяют по дискриминанту квадратного уравнения? Вспомним формулу для нахождения дискриминанта и нахождения корней. 6. Ребята, здесь вы видите уравнения определенные по какому-то признаку. Как вы думаете, какое из уравнений каждой группы лишнее?
7. Не решая данные уравнения, запишите в тетради ответы к ним и объясните метод их решения.
Не решая, уравнения а) сумму корней б) произведение корней в) корни данного уравнения Сообщения учащихся «Франсуа Виет», «Квадратные уравнения» Ребята, как вы думаете, когда мы знаем больше способов решения задачи или уравнения это хорошо или плохо? Почему? Ребята, посмотрите на эти уравнения, мы их решали? С помощью чего мы их решали? Посмотрите на корни. Попробуйте найти закономерность: а) в корнях уравнений б) в сумме коэффициентов
| Повторить и обобщить знания по теме «Решение квадратных уравнений» (Слайд 4 ) 1.Квадратным уравнением называется уравнение вида 2.Уравнения называются неполными квадратными уравнениями если b = 0 или с = 0. 3. Квадратное уравнение называют приведенным, если его старший коэффициент равен 1 4.Решить квадратное уравнение - значит найти все его корни или установить, что корней нет. 5.По дискриминанту квадратного уравнения определяют, сколько оно имеет корней.
(Слайд 5) 6. А: 3- лишнее, т.к. это полное квадратное уравнение, а 1;2;3-неполные квадратные уравнения. Б: 2-лишнее, т.к. это уравнение общего вида, а 1;2;3- приведенные квадратные уравнения. Учащиеся самостоятельно выполняют работу. (Слайд 6) (Слайд 7) 7.Ответы:
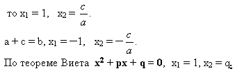
Теоремой Виета Выступления учащихся, остальные слушают, оценивают. (Слайд 8 ) Решали. С помощью теоремы Виета и нахождения дискриминанта. а) что один из корней равен 1. б) второй корень равен в) сумма коэффициентов равна 0. |
Физкульт минутка. 4. Реализация построенного проекта и закрепление изученных способов действий. | Давайте попробуем теперь сформулировать еще одно правило нахождения корней квадратного уравнения . Используя правило, которое мы сформулировали, найдите корни уравнения. 13х2 + 18х - 31 = 0 5х2 -27х + 22 = 0 х2 + 4х-5 =0 | (Слайд 9) Если в уравнении aх2 + bх + с = 0 сумма коэффициентов a + b + c = 0,
(Слайд10) Выполняют упражнения Самостоятельная работа Проверяют ответы, самоконтроль (Слайд11) (Слайд12) х1=1; х2=-31/13 х1=1; х2 =22/5 х1 =1; х2= -5 |
Закрепление новых знаний Цель: применение алгоритма решения полных и неполных квадратных уравнений. Цель: Органи зовать усвоения нового способа действия 5. Контроль и самооценка знаний и способов действия. Цель: Организовать самостоятельное выполнение заданий на новый способ действия 6. Коррекция знаний и способов действий. Цель: Органи зовать выявление типов заданий, где используется новый способ действия | Теперь переходим к следующему этапу урока. Мы познакомились с новым типом уравнения, планом и методом его решения. Каким будет следующий этап и какова его цель? 385х2+95х-480=0 2013х2+185х-2198=0 х2+9=0 -3х2+2х+1=0 -20х2-14х+34=0 Решить уравнение: 15у2-30=22у+7 На экране появляется тематический тест. Решите тест. 1. Дискриминант какого из уравнений равен 121? а) 3х2 -5х + 4 = 0; б) 3х2 +5х - 8 = 0; в) х2 -11х + 1 = 0; г) -3х2 - 11х - 8 = 0. 2. Решите уравнение: х2 - 8х + 7 = 0. а) -1; 7; б) 1; -7; в) 1; 7; г) -1; 7. 3. Найдите сумму корней уравнения: 4х2 + 22х - 7 = 0. а) -22; б) корней нет; в) 22; г) -5,5. 4. Найдите произведение корней уравнения: 5х2 - 2х + 9 = 0. а) 9; б) ?9; в) корней нет; г) 1,8. 5. Выделите квадрат двучлена из многочлена: х2 -8х - 11. а)(х - 8)2 - 5;б) (х - 3)2 + х;в) (х - 4)2 - 5;г) (х - 4)2 - 27. 2 вариант 1. Дискриминант какого из уравнений равен 25? а) 2х2 +7х + 3 = 0; б) -2х2 +7х + 3 = 0; в) х2 -5х + 1 = 0; г) -2х2 - 7х + 3 = 0. 2. Решите уравнение: х2 - 5х - 36 = 0. а) 4; -9; б) -4; 9; в) 4; 9; г) -4; -9. 3. Найдите сумму корней уравнения: 5х2 - 13х + 9 = 0. а) 13; б) -13; в) корней нет; г) 2,6. 4. Найдите произведение корней уравнения: 3х2 - 7х - 8 = 0. а) -8; б) 2 в) корней нет; г) 8. 5. Выделите квадрат двучлена из многочлена: х2 +10х - 14. а)(х - 10)2 - 6;б) (х + 6)2 - 22х;в) (х + 4)2 - 39;г) (х + 5)2 - 24. Давайте поменяемся тетрадями и сделаем проверку теста На экране 6 уравнений. дифференцированных по степени сложности. 1. 3(х2-х)+1=0 2.х2-20х+64=0 3.-6 х2+4х+2=0 4.5 х2=9х+2 5.8х2-32=0 6.-5 х2+11х-6=0 Вам предстоит поработать в парах Два уравнения решаете в парах. Объясните друг другу, какие преобразования вы сделаете, чтобы выполнить замену. Посмотрите на эти уравнения. Можно воспользоваться правилом нахождения корней, которое мы выучили сегодня? А теперь поработайте полностью самостоятельно. Выберите себе одно уравнение по степени сложности. Я буду как всегда осуществлять индивидуальные консультации, однако старайтесь работать сами. Замечу сразу, что дома вам предстоит решить три уравнения, поэтому после того, как решите одно уравнение можете приступать к выполнению домашней работы, при этом вы выполните большую часть работы. Обращаться можно не только ко мне, но и к консультантам. | Закрепить новый метод решения квадратных уравнений. (Слайд 13) Комментированное письмо. Решение квадратных уравнений разными способами. (Слайд14) Самостоятельная работа, контроль, взаимоконтроль. (Слайд 15) Работа по вариантам. ( Слайд 16 ) Работают в парах. Решают уравнения Решают уравнения. Консультируются при необходимости с учителем или консультантами. Работают самостоятельно. Сравните свои результаты (Слайд 17) 1.Корней нет 2.х1=16; х2=4 3.х1=1; х2=-1/3 4.х1=2; х2=-0,2 5.х1=-2; х2=2 6.х1=1; х2=1,2 |
7. Подведение итогов урока Цель: 1.Организо вать фиксацию нового содержания изученного на уроке. 2.Органи зовать фиксацию неразре щённых затруднений на уроке как направлений будущей учебной деятельности Информация о домашнем задании. Цель: Организо вать обсуждение и запись домашнего задания | Итак, закончили работу. Давайте подведем итоги. На экране ответы. Посчитайте, пожалуйста, баллы за выполненную работу и проставьте их в оценочных листах. Я напомню, что нужно было сделать 3 задания. Итак, кто справился с 1 заданием ставит 3б, І- уровень 2заданиями ставит 4б, І І- уровень 3 задания ставит 5б, ІІІ- уровень Выставляет оценки за работу на уроке Давайте еще раз выделим главное. 1. Какие задачи сегодня стояли на уроке перед вами? 2.Как называются уравнения, которые мы повторяли сегодня на уроке? 3.Какой новый способ решения уравнений вы узнали? 4.Что мы усвоили хорошо? 5.Над, чем нужно ещё работать на следующих уроках? На экране: домашнее задание. 1.Запишите, пожалуйста, уравнения, которые надо решить дома. 2.По желанию: - составить задачу, решение, которой сводилось бы к составлению квадратного уравнения, - составить кроссворд по теме «Квадратные уравнения» - составить презентацию по теме «Квадратные уравнения». . | Проверяют решения, подсчитывают баллы за выполненную работу, проставляют в оценочные листы. (Слайд 18) Подводят итоги, считают все баллы за урок, оценивают себя и друг друга Отвечают на вопросы. Называют уравнение, метод его решения, алгоритм решения. Записывают домашнее задание (Слайды 16 и 19) |
Рефлексия Цель: Организовать рефлексию учащихся по поводу их эмоционального состояния. Мотивация их деятельности |
Спасибо за урок. До свидания. | Выявление осознанности знаний, умение выражать свои мысли, оценивание качества своей работы и всего класса. |


найдите
x - переменная, а, b, с- некоторые числа.



Чтобы оставлять комментарии, вам необходимо авторизоваться на сайте. Если у вас еще нет учетной записи на нашем сайте, предлагаем зарегистрироваться. Это займет не более 5 минут.