Практическая работа "Производная функции"
Практическая работа №2
Нахождение производных элементарных функций
Цель работы: отработать навыки дифференцирования суммы, произведения, частного элементарных функций.
Оборудование: методические рекомендации к выполнению работы; задание для проведения практического занятия.
Содержание работы
Методические указания: повторить теоретический материал по данной теме и схему решения задач; выполнить задания практической работы; сформулировать вывод.
Теоретический материал
При дифференцировании функций в основу решений используйте основные правила дифференцирования функций и таблицу производных.

Задание: найдите производные функций.
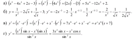
Примеры выполнения:

Решение.

Задания к практической работе
Обозначим:x,y,z… переменные; a,b,c,… - постоянные.
Вариант 1 | Вариант 2 |
|
|
Вариант 3 | Вариант 4 |
|
|









































Чтобы оставлять комментарии, вам необходимо авторизоваться на сайте. Если у вас еще нет учетной записи на нашем сайте, предлагаем зарегистрироваться. Это займет не более 5 минут.